opencv--图像变换
图像变换
图像滤波用于处理像素(去噪),从而改变图像质量。
图像的几何变换是指改变图像的几何位置、几何形状、几何尺寸等几何特征。
<详细了解,看opencv书>
概念
矩阵的运算
链接
齐次坐标
链接
齐次坐标就是用N+1维来代表N维坐标,而N维坐标值可以通过以下公式计算得出:
X = x / w
Y = y / w
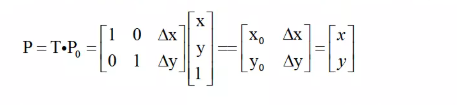
图像平移
含义
图像的平移可以理解维两个矩阵相加:
 
也可以理解维矩阵相乘:

图像旋转
含义
图像的旋转一般是以一个点作为旋转中心旋转。
那么图像翻转呢,比如绕着轴翻转?
图像缩放
含义
射影变换
欧式变换
相似变换
仿射变换
射影变换/透视变换
作用
一般用于校正图像:
-  当相机拍摄角度倾斜时,图像会出现梯形失真(如拍摄建筑物时近大远小)。 
-  射影变换可以将其矫正为正视图(如文档扫描、车牌识别)。 
射影变换 vs. 仿射变换
链接
| 特性 | 射影变换(Projective) | 仿射变换(Affine) | 
|---|---|---|
| 自由度 | 8 (9个参数,但可归一化) | 6 | 
| 保持性质 | 直线仍为直线,但平行线可能不再平行 | 保持平行性 | 
| 适用场景 | 透视矫正(如倾斜拍摄→正视图) | 旋转、缩放、平移(无透视变化) | 
| 示例 | 文档矫正、AR投影 | 图像旋转、缩放 | 
霍夫变换
作用
霍夫变换(Hough Transform)是一种用于检测图像中特定几何形状(如直线、圆、椭圆等)的经典算法。
(1) 直线检测(Hough Line Transform)
-  用于检测图像中的直线,如边缘检测后的线段提取。 
-  应用场景: -  车道线检测(自动驾驶) 
-  文档扫描(检测纸张边缘) 
-  建筑结构分析(检测墙面、门窗边缘) 
 
-  
(2) 圆检测(Hough Circle Transform)
-  用于检测图像中的圆形或弧形结构。 
-  应用场景: -  工业检测(检测零件上的孔洞) 
-  医学图像分析(检测细胞、瞳孔) 
-  交通标志识别(检测圆形标志) 
 
-  
(3) 广义霍夫变换(检测任意形状)
-  可以扩展用于检测椭圆、矩形等更复杂的形状。 
原理
链接
(x,y)的图像空间中的一个点映射到(r,θ)极坐标空间中就是一条正弦曲线,而正弦曲线上的一个点就代表一条直线,如果极坐标空间有两条正弦曲线,就代表在图像空间中的两个确定的点,而如果这两条正弦曲线有一个交点,那么就说明这两条正弦曲线在这个点都有一条图像空间中的直线,而且这两条直线斜率和截距相同,也就是就是同一条直线。
如果一幅图像中的像素构成一条直线,那么这些像素坐标值(x, y)在参数空间对应的曲线一定相交于一个点,所以我们只需要将图像中的所有像素点(坐标值)变换成参数空间的曲线,并在参数空间检测曲线交点就可以确定直线了,也就是确定(r,θ),通过转换可以确定斜率和截距。
边缘检测
作用
直方图和直方图均衡
链接
直方图
直方图均衡
就是调整图像各个亮度值的像素的数量。
