音视频之H.265/HEVC量化
H.265/HEVC系列文章:
1、音视频之H.265/HEVC编码框架及编码视频格式
2、音视频之H.265码流分析及解析
3、音视频之H.265/HEVC预测编码
4、音视频之H.265/HEVC变换编码
5、音视频之H.265/HEVC量化
量化 (Quantization) 是指将信号的连续取值(或大量可能的离散取值)映射为有限多个离散幅值的过程,实现信号取值多对一的映射。在视频编码中,残差信号经过离散余弦变换 (DCT) 后,变换系数往往具有较大的动态范围。因此对变换系数进行量化可以有效地减小信号取值空间,进而获得更好的压缩效果。同时,由于多对一的映射机制,量化过程不可避免地会引入失真,它也是视频编码中产生失真的根本原因。由于量化同时影响着视频的质量与比特率,因此量化是视频编码中非常重要的一个环节。
一个量化器可由其输入端的范围划分方式以及对应的输出值唯一确定。根据输入输出数据的类型,量化器可分为标量量化器 (Scalar Quantizer) 和矢量量化器 (Vector Quantizer) 两种类型。其中标量量化器因其复杂度低、容易实现的特点受到了广泛的应用。目前主流的图像视频编码标准都使用了标量量化器。
一.标量量化:
1.基本原理:
在有损编码中,标量量化 (Scalar Quantization,SQ)是一种最基本的量化方法,它是指将一个幅度连续的信号映射成若干个离散的符号。图 6.1 给出了一个标量量化器的例子,如图所示,将横轴(输入信号)划分为 M个互不相交的区间(图中M =9 ):

以上描述标量量化的形式可由图6.2(a)表示,该量化器直接将输入入信号映射为重建值。此外,标量量化还有另一种表现形式,如图 6.2(b)所示。输入信号经量化后被映射为某些用于表示重建值的索引号 l,l经反量化过程后可得到重建值。由于重建值与其索引号有着一一对应的关系,因此这两种量化形式在本质上是统一的。二者主要区别在于,利用索引号表示重建值往往具有更加统一和简单的形式。因此在图像和视频编码中,更多地采用后者的形式。

2.均匀量化:
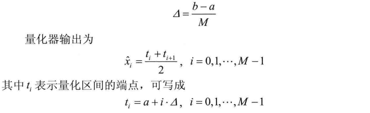
均匀标量量化(Uniform Scalar Quantization)是一种最简单的标量量化方法,它将输入值域划分成等距的区间,每个区间对应的输出值 (即重建值)为该区间的中点。区间的长度称为量化步长(Quantization Step),用表示。量化步长取决于输入信号的变化范围以及重建值的个数。设输入信号的最小值和最大值分别用 a 和 b表示,重建值个数为 M,则量化步长
可计算为:

图 6.3 (a) 给出了一个均匀量化器的示例,图 6.3 (b) 给出了其对应的量化误差曲线。由于重建值为每个区间的中点,因此量化误差必位于区间
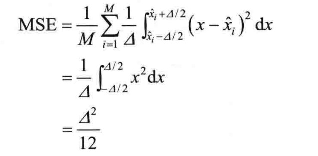
内。通常量化误差(即失真) 主要有 3 种衡量准则: 均方误差(Mean Square Error,MSE)、信噪比(Signal-to-Noise Ratio,SNR)和峰值信噪比 (Peak-Signal-to-Noise Ratio,PSNR)。下面分别介绍。

- MSE:MSE 是较为常用的一种失真衡量准则,直接反映失真的大小。其计算公式由式(6-1) 给出:

- SNR: 信号噪声功率比,反映了失真与信号的相对大小:

- PSNR: 峰值信号噪声功率比,反映了失真与信号峰值的相对大小:

对于服从均匀分布的输入信号,若采用 MSE 作为失真衡量准则,则其经均匀量化后的失真为

其中,为各区间的重建值,M 为重建值的个数。容易证明,对于均匀分布,使用上述均匀标量量化方法可以获得最小的失真,其失真大小与量化步长
的平方成正比。然而对于非均匀分布,使用均匀量化器可能无法获得较好的性能,下面介绍其最优量化方法Lloyd-Max 量化器。
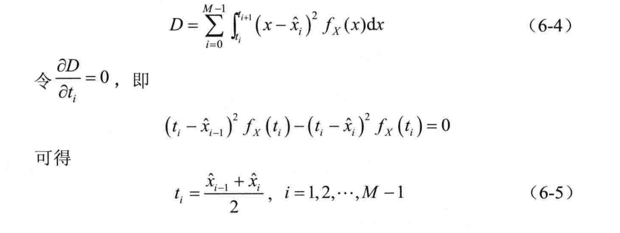
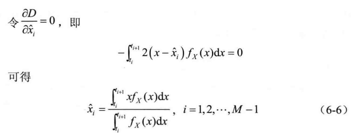
3.Lloyd-Max 量化器:
最优标量量化器Lloyd-Max 量化器是由 S.PLloyd 和 J.Max 提出的。考虑服从任意分布的输入信号,设其概率密度函数为下面确定其最优量化器(重建值数量为 M)的判定边界
与
重建值采用 MSE 作为失真衡量准则,其失真为:



4. 熵编码量化器:
Lloyd-Max 量化器是在给定重建值数目 M 的约束条件下,使量化失真最小。若采用定长编码,则每传送一个量化输出值需要的比特位数为:

其中表示向上取整。考虑变长编码,如 Huffman 编码或算术编码。
此时每个量化输出值所需比特数可能不同,而其平均所需比特数接近于所有量化输出值的熵(Entropy),即

当且仅当所有输出值等概率分布时,等号成立。
对于 H() < log2m 的情形,Lloyd-Max 量化器并不是最优的。此时最优量化器应是在对熵的约束下使失真最小。设目标比特率为 R,失真用 MSE 准则,熵编码量化器在数学上可表达为:

由式 (6-8) 和式(6-9) 可以看出,熵编码量化器各区间重建值与Lloyd-Max 量化器相同,都为区间的“质心”;但二者区间划分边界有区别,熵编码量化器在 Lloyd-Max 量化器最邻近量化的基础上引入一个偏差。观察式(6-9)可发现该偏差的方向与相邻两个重建值的取值概率有关,相邻两个区间的划分点会向着取值概率较小的重建值方向偏移。也就是说,取值概率较大的量化重建值对应的量化区间也较大。由于概率越大的重建值编码时所需的比特数越小,因此这样做能有效地减少编码比特数。
在图像和视频编码中,常认为 DCT 系数服从零均值的拉普拉斯(Laplace) 分布,其主要特点是 0 值附近的系数概率较大。因此通常图像和视频编码中的量化器都会加宽以 0 为中心的区间,称为“量化死区”(Dead-zone),这样做能够带来一定率失真性能的提高。此外,视频编码中还有一种性能更优的量化方法一率失真优化量化 (RDOQ),它也是一种熵编码量化器。许多视频编码器都应用了这种量化方法,如H.264/AVC 标准对应的JM[8X264 以及 H265/HEVC 标准的官方测试编码器 HM等。
二.H.265/HEVC中的量化:
1.量化:
和 H.264/AVC 标准一样,H.265/HEVC 标准仅规定了反量化过程的实现方法,而将量化器的选择留给编码器自行决定。这使得编码端可以选择性能更优的量化方法,例如自适应量化 (Adaptive Quantization)以及的率失真优化量化 (RDOQ) 等。下面给出了H.265/HEVC 编码器可采用的传统标量量化方法,表示如下:





2.反量化:


3.RDOQ:
传统的标量量化器是以失真最小为目的进行设计的。而在视频编码中,编码比特率同样是一种影响编码性能的因素,因此视频编码中的量化器设计需要权衡失真与比特率。率失真优化量化(Rate-DistortionOptimized Quantization,RDOQ)就是这样一种量化器。其主要思想是将量化过程同率失真优化(RDO)准则相结合,对于一个变换系数G,给定多个可选的量化值
并利用RDO 准则从中选出一个最优的量化值,计算如下:

H.265/HEVC的官方测试编码器HM使用了RDOQ。现将其主要实现方法和步骤介绍如下。
- 确定当前TU每个系数的可选量化值。用下式对当前TU所有系数进行预量化;

其中round(·)表示四舍五入。利用,的大小确定可选量化值,见表6.3:

- 利用 RDO 准则确定当前 TU所有系数的最优量化值。按扫描顺序遍历当前 TU所有系数,对于每一个系数,遍历其可选量化值,利用RDO准则确定每个系数的最优量化值。例如,对于系数
,其可选量化值为
和
,二者率失真代价分别计算如下:

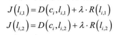
其中,D()表示G量化
时,当前TU的总失真;R(
)表示
量化为
时,当前的TU总编码比特数(此时尚未确定量化值的系数,用其步骤1中预量化的结果计算)。若J(
)<J(
),则选取”为当前系数的最优量化值;反之,选取
作为最优量化值。
- 利用RDO准则确定当前TU每一个系数块组(CG)是否量化为全零组。H.265/HEVC在对一个TU进行熵编码(CABAC)时,会将其分成若干4x4的系数块组(Coefficient Group,CG),每个CG都含有一个比特位用于标识其是否为全零CG。若当前G为全零CG,只需要编码全零标识;反之,则须编码非零标识以及当前CG内的所有系数。因此,若当前CG仅含有极少个数且幅值较小的非零系数时,将其量化为全零CG可能会获得更好的率失真性能。
该步骤按CG扫描顺序遍历当前TU的所有CG,分别计算其量化为全零CG时的率失真代价,并与原率失真代价比较。若全零G对应的率失真代价较小,则令当前CG为全零CG。
- 利用RDO准则确定当前TU“最后一个非零系数”的位置。CABAC规定每个含有非零系数的TU都需要用一定的比特位表示“最后一个非零系数”(Last Significant Coefficient)的位置信息。这样可以省去编码拖尾零系数的比特。因此其位置在很大程度上影响着失真与编码比特数。
该步骤须首先确定“最后一个非零系数”可能的位置。利用步骤1预量化的结果,“最后一个非零系数”可能的选择为扫描顺序对应的“最后一个预量化值大于2的系数”与“最后一个预量化值大于1的系数”之间的所有非零系数。遍历这些非零系数,分别计算其作为“最后一个非零系数”时当前TU总的率失真代价。选择对应于最小率失真代价的系数作为当前TU的“最后一个非零系数”。
与标量量化相比,RDOQ提高了编码器的性能,但由于需要遍历多个可选量化值并计算率失真代价,其编码复杂度也有一定增加。实验结果表明,RDOQ能使编码性能提高3%~6%,总编码时间大约增加10%~15%。
4、量化参数:
在视频编码中,QP是非常重要的参数,它直接影响着视频的编码比特率。对于某些应用场合,尤其是当传输速率受限时,灵活地控制量化参数使得编码速率尽量接近给定速率尤为重要。为此,H.265/HEVC制定了一种非常灵活的 QP控制机制,它引入了量化组(Quantization Group,QG)的概念,规定一个CTB可以包含一个或多个固定大小的QG,同一个QG内的所有含有非零系数的CU共享一个QP,不同的QG可以使用不同的 QP。这样一来,编码器能够更灵活地进行速率控制,但同时也增加了 QP 解析算法的复杂度。
QC概念:
QG 是指将一幅图像分成的固定大小(NxN)的正方形像素块。其大小N由图像参数集(PPS)指定,且必须处于最大CU与最小CU之间(包含最大与最小CU)。图6.4给出了一个 32x32 QG的示意图,其中粗实线为CTB边界,粗虚线表示CU划分方式,细线为QG分界线。从图中可以看出,CU与QG 没有固定的大小关系。由于在一幅图像中,QG为固定大小,而CU 是根据视频内容自适应划分出来的,因此可能出现一个QG包含一个或多个CU的情形,也可能存在一个CU包含多个QG的情形.

QP的预测编码:
在 H.264/AVC 中,量化参数QP采用了预测编码的形式,只需要对实际 QP与预测 QP的差值进行编码,以避免直接编码QP所耗费的比特数。具体而言,Slice层QP使用PPS中给定的初始 QP进行预测,而一个Slice 内所有宏块的QP都使用当前Slice的QP 进行预测。H.265/HEVC 标准进一步发展了这一思想,它使用相邻已编码 QG 的信息来预测当前QG 的QP,这样能够使QP的预测更加准确。图6.5给出了H.265/HEVC中QP的预测模板,其中A和 B分别为当前 QG 左侧和上方的已编码 QG,则当前 QG 的预测 QP 可计算为:
![]()

需要注意的是,在OP预测过程中,在某些情况(例如Slice、Tile边界等)下A和B有可能不存在。下面分情况来说明。
- 对于一个Slice或Tile的第一个QG,A和B都不存在。此时使用当前 Slice 的 QP 作为该 QG 的预测 QP。
- 当QG位于一个 Slice 或Tile的上边界(非第一个QG)时,A存在而B不存在。此时将B替换为前一个已编码的QG。
- 当QG 位于一个 Slice 或 Tile 的左边界(非第一个QG)时,B存在而A不存在。此时将A替换为前一个已编码的QG。
CU 层 QP 的解析:
由于H.265/HEVC是以CU为单元进行解码的,因此 QP 的解析也是以CU为单元的。考虑到色度分量QP的计算需要使用亮度分量的QP,因此下面主要分析 CU 层亮度分量 QP的解析过程。
前文提到 H.265/HEVC对QP进行了预测编码,因此QP的解析需要QP的预测值(predQP)和预测误差(deltaQP)。下面分别介绍这两部分的解析过程。
预测QP(predQP)的获取:
前面介绍了 QG 层 QP的预测方法,由于CU和QG没有固定的大小关系,因此 CU层预测 QP的获取须分两种情况进行。
- 当一个 QG 包含一个或多个 CU 时,该 QG 内所有 CU 都使用一个预测 QP,即当前 QG 的预测 QP。
- 当一个 CU 包含多个 QG 时,将该 CU 内第一个 QG 的预测 QP作为当前 CU 的预测 QP。
QP预测误差(deltaQP)的解析:
deltaQP表示QG层QP与其预测QP 的差值,但它是以CU 为单元进行传递的。考虑到二者之间没有固定的大小关系,而且并非所有CU都含有 deltaQP信息(含有非零系数的CU才会携带deltaQP信息),因此 deltaQP 的解析也须分两种情况进行。
- 当一个 QG 包含一个或多个CU时,deltaQP会在解码顺序上的第一个含有非零系数的CU中传递。当前QG内在此之前所有CU的deltaQP都为0(即对于这些CU,直接使用predQP作为实际QP),在此之后的所有CU 都使用同一个deltaOP。如图6.6所示,粗线表示的是一个QG,细线表示CU划分方式。其中,H为第一个含有非零系数的CU,因而H中会传递当前QG的deltaQP 信息。此时,A~G 的 deltaQP 都为 0,而 H~M都使用H所携带的 deltaQP。

- 当一个CU包含多个QG时,该CU 只对应一个 deltaQP,即该CU中第一个含有非零系数的QG所携带的deltaQP。若所有QG 都不含非零系数,则令该CU的deltaQP为0。
QP的计算方法:
Slice 层QP的计算需要用到PPS 中给定的初始 QP(QPpps)以及 Slice层 QP 的偏移值(dQPslice),计算如下:
![]()
CU 层 QP的计算需要CU 层的预测 QP(predQP)以及预测误差(deltaQP)。具体来说,亮度分量的QP计算如下:
![]()
两个色度分量Cb和Cr的OP分别计算如下:

其中,pps_qp_offset和 slice_qp_offset 分别表示两个色度分量在 PPS 层和Slice 层QP 的偏移值。
相关语法元素:
下面介绍H.265/HEVC中与QP相关的语法元素。
PPS:
- init_qp_minus26:该语法元素给定当前图像中所有 Slice 的初始 QP。
- cu_qp_delta_enabled_flag:该语法元素指定是否允许在CU层调整QP,如果允许则会进一步指定 QG的大小。
- diff_cu_qp_delta_depth:该语法元素给定 QG 的大小。
- pps_cb_qp_offset和pps_cr_qp_offset:这两个语法元素在图像层指定色度分量 QP相对于亮度分量QP的偏移值。
- pps_slice_chroma_qp_offset_present_flag:该语法元素指定是否需要在Slice层进一步给出色度分量QP相对于亮度分量QP的偏移。若该语法元素为真,则会在Slice层给出slice_cb_qp_offset和slice_cr_qp_offset两个语法元素。
Slice 层:
- slice_qp_delta:该语法元素给出了 Slice 层 QP 相对于图像层初始 QP的偏移值。
- slice_cb_qp_offset和 slice_cr_qp_offset:这两个语法元素给出了 Slice层色度分量 QP相对亮度分量QP的偏移值。
CU层:
- cu_qp_delta_abs和cu_qp_delta_sign_flag:这两个语法元素给出了CU层 QP 的预测误差。
5、量化矩阵:
许多以往的图像、视频编码标准都使用了量化矩阵(QuantizationMatrix,QM)技术,如JEG、MPEG1、MPEG-2、MPEG-4、H.264/AVC等,其原理是对不同位置的系数使用不同的量化步长。例如,可以利用人眼对图像视频中的高频细节不敏感的特征,对高频系数使用较大的量化步长,而对低频系数使用较小的量化步长,这样做能够在保证一定压缩率的同时提高图像或视频的主观质量。
H.265/HEVC中的量化矩阵:
H.265/HEVC的变换量化过程如图6.7所示。其中,量化矩阵作用于比例缩放过程,其大小与TU相同,可为4x4、8x8、16x16 和 32x32。在比例缩放过程中,变换后的DCT(或DST)系数将与量化矩阵中对应位置的系数相除,所得的结果作为量化模块的输入。

H.265/HEVC 标准允许使用两种形式的量化矩阵:一种是标准推荐使用的量化矩阵(下文称之为“默认量化矩阵”),另一种是用户自行定义的量化矩阵(下文称之为“自定义量化矩阵”)。对于默认量化矩阵,其矩阵元素值与TU大小、预测方式(帧内、间)都有关系。
H.265/HEVC 标准定义了4x4和8x8 两种大小的默认量化矩阵,并规定16x16、32x32量化矩阵可由8x8量化矩阵通过上采样得到。4x4量化矩阵形式较为简单,其所有元素值都为16;而8x8量化矩阵依据内、帧间不同的预测方式分为如下两种形式。

从两个8x8的默认量化矩阵中可以看出,量化矩阵靠近右下角的元素值较大,说明高频系数会使用较大的量化步长,这样做符合人眼对高频分量不敏感的特性,能够提高编码视频的主观质量。
对于自定义量化矩阵,H.265/HEVC 允许编码器根据不同的应用场合自行决定量化矩阵各元素的值。此时,量化矩阵需要被写入码流传送至解码端。为节省传输比特,H.265/HEVC规定对量化矩阵中的元素使用差分编码。
相关语法元素:
与量化矩阵相关的语法元素在SPS和PPS中都有可能存在,当PPS中存在时,解码器使用PPS中的信息,否则使用SPS中的信息。
- scaling_list_enable_flag:该语法元素表明是否使用量化矩阵。
- sps_scaling_list_data_present_flag:该语法元素指出当前 SPS中是否存在量化矩阵信息。
- pps_scaling_list_data_present_flag:该语法元素指出当前PPS 中是否存在量化矩阵信息。
- scaling_list_pred_mode_flag:该语法元素表明当前量化矩阵的获取方式。若该值为0,表明当前量化矩阵与之前存在的量化矩阵相同,可直接通过预测得到;若该值为1,表明当前量化矩阵中的每个元素都需要重新计算得出。
- scaling_list_pred_matrix_id_delta:当量化矩阵需要通过预测得到时,该语法元素指明所用的预测矩阵。若该值为0,则当前量化矩阵采用H.265/HEVC 指定的默认矩阵。
以下语法元素都针对“自定义量化矩阵”的情形:
- scaling_list_dc_coef_minus8:该语法元素给出自定义量化矩阵中左上角元素(对应于DC系数)的值。
- scaling_list_delta_coef:通过该语法元素可计算出自定义量化矩阵中其余元素的值。量化矩阵中的第一个元素值可由语法元素scaling_list_dc_coef_minus8得到,对于其余元素,只需要传输其与前一个元素值的差异。
参考资料:
《新一代高效视频编码 H.265/HEVC 原理、标准与实现》——万帅 杨付正 编著
