【Leetcode】拿捏链表(一)——206.反转链表、203.移除链表元素
作者:一个喜欢猫咪的的程序员
专栏:《Leetcode》
喜欢的话:世间因为少年的挺身而出,而更加瑰丽。 ——《人民日报》
目录
206.反转链表
203.移除链表元素
206.反转链表
力扣
https://leetcode.cn/problems/reverse-linked-list/题目描述:
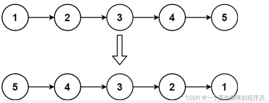
给你单链表的头节点 head ,请你反转链表,并返回反转后的链表。
示例:
示例 1:
输入:head = [1,2,3,4,5]
输出:[5,4,3,2,1]
示例 2:
![]()
输入:head = [1,2]
输出:[2,1]
示例 3:
输入:head = []
输出:[]
思路:
思路一:头插法
设一个变量cur遍历整个链表,并且创建一个新的链表rhead我们将cur一个一个头插进去,但这样会找不到cur的下一个位置,因此我们提前设一个变量next来找cur的下一个位置。
时间复杂度:O(N) 空间复杂度:O(1)
思路二:递归法
利用递归找到最后一个位置,让他倒置
需要注意的是 n1 的下一个节点必须指向空。如果忽略了这一点,链表中可能会产生环。
时间复杂度:O(N) 空间复杂度:O(N)
代码实现:
思路一:头插法
struct ListNode* reverseList(struct ListNode* head) {
struct ListNode* cur = head;
struct ListNode* rhead = NULL;
while (cur)
{
struct ListNode* next = cur->next;
cur->next = rhead;
rhead = cur;
cur = next;
}
return rhead;
}
思路二:
struct ListNode* reverseList(struct ListNode* head){
if (head == NULL || head->next == NULL) {
return head;
}
struct ListNode*newhead=reverseList(head->next);
head->next->next=head;
head->next=NULL;
return newhead;
}
203.移除链表元素
力扣
https://leetcode.cn/problems/remove-linked-list-elements/题目描述:
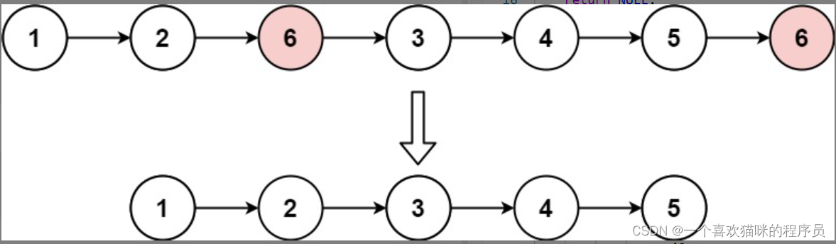
给你一个链表的头节点 head 和一个整数 val ,请你删除链表中所有满足 Node.val == val 的节点,并返回 新的头节点 。
示例:
示例 1:
输入:head = [1,2,6,3,4,5,6], val = 6
输出:[1,2,3,4,5]
示例 2:
输入:head = [], val = 1
输出:[]
示例 3:
输入:head = [7,7,7,7], val = 7
输出:[]
思路:
思路一:尾插迭代法
利用创建一个新的链表newhead,利用cur如果cur->val=val时,让这个cur下来到newhead,否则删掉。
时间复杂度:O(N) 空间复杂度:O(1)
思路二:递归法
对于给定的链表,首先对除了头节点 head以外的节点进行删除操作,然后判断 head 的节点值是否等于给定的 va。如果 head 的节点值等于va,则head 需要被删除,因此删除操作后的头节点为 head,next如果head的节点值不等于 val,则 head 保留,因此删除操作后的头节点还是 head。上述过程是一个递归的过程。
递归的终止条件是 head 为空,此时直接返回 head。当 head 不为空时,递归地进行删除操作,然后判断 head 的节点值是否等于 val 并决定是否要删除head。
作者:LeetCode-Solution
来源:力扣(LeetCode)时间复杂度:O(N) 空间复杂度:O(N)
代码实现:
思路一:尾插迭代法
struct ListNode* removeElements(struct ListNode* head, int val) {
struct ListNode* cur = head;
struct ListNode* newhead, * tail;
newhead = tail = NULL;
if(head==NULL)
{
return NULL;
}
while (cur)
{
if (cur->val != val)
{
if (tail==NULL)
{
tail = newhead = cur;
}
else
{
tail->next = cur;
tail = cur;
}
cur = cur->next;
}
else
{
struct ListNode* next = cur->next;
free(cur);
cur = next;
}
}
if(tail!=NULL)
tail->next = NULL;
return newhead;
}
思路二:递归法:
struct ListNode* removeElements(struct ListNode* head, int val) {
if (head == NULL) {
return head;
}
head->next = removeElements(head->next, val);
return head->val == val ? head->next : head;
}





