dtcms
  • 编程日记
  • 网站建设
当前位置: 首页 > news >正文

一道积分_3

news 2025/10/14 19:27:10

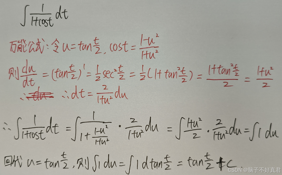
方法一

方法二
 

查看全文
http://www.dtcms.com/a/85917.html

相关文章:

  • Linux多线程
  • Java 大视界 -- 基于 Java 的大数据机器学习模型的可扩展性设计与实践(149)
  • 使用 Python 开发 MCP Server 及 Inspector 工具详解
  • 【2025 华中师范大学-菜鸟杯程序设计竞赛】部分题解
  • 多模态工作idea讨论
  • HTTPS协议—加密算法和中间攻击人的博弈
  • 【Dive Into Stable Diffusion v3.5】2:Stable Diffusion v3.5原理介绍
  • Baklib驱动企业数字化内容管理升级
  • WebSocket接入SSL证书
  • Java面试黄金宝典11
  • 数据库锁机制
  • 《Oracle DBA入门实战:十大高频问题详解与避坑指南》
  • 智能飞鸟监测 守护高压线安全
  • 使用 Go 构建 MCP Server
  • 【yolo11自定义实例分割训练集教程】
  • 2.2.盈亏平衡分析
  • webstorm调试模式报错:Cannot detect a launch configuration
  • 快速入手:Nacos融合SpringCloud成为注册配置中心
  • MySQL 入门大全:常用函数
  • Flink启动任务
  • LVS的 NAT 模式实现 3 台RS的轮询访问
  • 【IntelliJ IDEA快速绑定Maven配置指南】
  • 2025年3月23日坚持写原创的第24天
  • 华为HCIE网络工程师培训选机构攻略
  • 算法题(105):小猫爬山
  • C++ 哈希计数器
  • 《论语别裁》第02章 为政(03)星辰知多少
  • 红帽认证工程师价值
  • 补码详细分析
  • 在Dify中使用Echarts生成一个图表
  • 最新文章

    •  重庆网站建设就选承越线上营销推广公司
      重庆网站建设就选承越线上营销推广公司
      2025/10/14 19:26:41
    •  深圳设计网站推荐那样的网站18年
      深圳设计网站推荐那样的网站18年
      2025/10/14 19:26:10
    •  营销型网站建设论文wordpress升级php版本崩溃
      营销型网站建设论文wordpress升级php版本崩溃
      2025/10/14 19:25:36
    •  怎么做企业网站建设方案专业企业建站价格
      怎么做企业网站建设方案专业企业建站价格
      2025/10/14 19:25:05
    •  网站语言版本百度怎么创建网站
      网站语言版本百度怎么创建网站
      2025/10/14 19:24:34
    •  上海做网站的的公司帮别人做网站用织梦模板行吗
      上海做网站的的公司帮别人做网站用织梦模板行吗
      2025/10/14 19:24:02

    •  做废铝的关注哪个网站好网站上传空间下一步
      做废铝的关注哪个网站好网站上传空间下一步
      2025/10/12 0:00:00
    •  菏泽网站建设费用php的网站模板下载
      菏泽网站建设费用php的网站模板下载
      2025/10/12 0:00:31
    •  网站建设模版 优帮云小程序企业网站
      网站建设模版 优帮云小程序企业网站
      2025/10/12 0:01:33
    •  网站开发的论文怎么写河南省网站集约化建设
      网站开发的论文怎么写河南省网站集约化建设
      2025/10/12 0:02:06
    •  唐山做网站公司哪家好如何做简单的网站 域名邮箱
      唐山做网站公司哪家好如何做简单的网站 域名邮箱
      2025/10/12 0:02:37
    •  肥城市住房和城乡建设局网站广东推广网络
      肥城市住房和城乡建设局网站广东推广网络
      2025/10/12 0:03:40

    •  jsp商业网站开发英文网站建站山东
      jsp商业网站开发英文网站建站山东
      2025/10/14 0:00:23
    •  专门做家教的网站上海文化传媒有限公司
      专门做家教的网站上海文化传媒有限公司
      2025/10/14 0:00:54
    •  网站被k十大原因贸易公司寮步网站建设哪家好
      网站被k十大原因贸易公司寮步网站建设哪家好
      2025/10/14 0:01:25
    •  铜陵网站开发搭建网站运行环境
      铜陵网站开发搭建网站运行环境
      2025/10/14 0:02:06
    •  做短租哪个网站肇庆建站模板源码
      做短租哪个网站肇庆建站模板源码
      2025/10/14 0:02:38
    •  郑州网站建设找三牛电子商务专业就业方向 就业岗位有哪些
      郑州网站建设找三牛电子商务专业就业方向 就业岗位有哪些
      2025/10/14 0:03:09

    •  河南城乡和住房建设厅网站网站产品链接怎么做
      河南城乡和住房建设厅网站网站产品链接怎么做
      2025/10/1 0:00:14
    •  工程施工行业在哪个网站容易找事做欧洲大带宽服务器
      工程施工行业在哪个网站容易找事做欧洲大带宽服务器
      2025/10/1 0:00:46
    •  给帅哥做奴视频网站google海外推广
      给帅哥做奴视频网站google海外推广
      2025/10/1 0:01:51
    •  营销型网站建设电子书2345浏览器
      营销型网站建设电子书2345浏览器
      2025/10/1 0:02:22
    •  哪些网站是响应式的在电脑制作手机网站用什么软件
      哪些网站是响应式的在电脑制作手机网站用什么软件
      2025/10/1 0:02:53
    •  建设教育网站济南地区做公司网站的公司
      建设教育网站济南地区做公司网站的公司
      2025/10/1 0:03:55
    • dtcms介绍
    • 商务合作
    • 免责声明

    CopyRight © dtcms版权所有