leetcode对称二叉树
给你一个二叉树的根节点 root , 检查它是否轴对称。
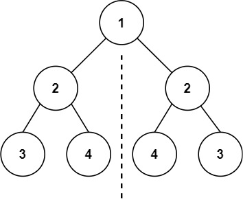
示例 1:

输入:root = [1,2,2,3,4,4,3] 输出:true
// 迭代public boolean isSymmetric(TreeNode root) {if (root == null) {return false;}Deque<TreeNode> deque = new LinkedList<>();deque.offer(root);deque.offer(root);while (!deque.isEmpty()) {TreeNode poll = deque.poll();TreeNode poll1 = deque.poll();if (poll == null && poll1== null) {continue;}if (poll == null || poll1 == null || poll.val != poll1.val) {return false;}deque.offer(poll.left);deque.offer(poll1.right);deque.offer(poll.right);deque.offer(poll1.left);}return true;}// 递归public boolean isSymmetric1(TreeNode root) {if (root == null) {return false;}return check(root.left, root.right);}private boolean check(TreeNode left, TreeNode right) {if (left == null && right == null) {return true;}if (left == null || right == null) {return false;}return left.val == right.val && check(left.left, right.right) && check(left.right, right.left);}