深度学习:Adam 优化器实战(Adam Optimizer)
关键词解释: Adam(Adaptive Moment Estimation)优化算法
💡 Adam = Momentum + RMSprop + 偏差修正
它结合了动量的加速能力和自适应学习率的稳定性,是当前深度学习的“默认优化器”。
✅ 一、Adam 的核心思想
Adam 同时维护两个关于梯度的统计量:
- 一阶矩(均值):类似动量,记录梯度的历史平均方向;
- 二阶矩(未中心化的方差):类似 RMSprop,记录梯度的平方历史,用于自适应缩放学习率。
并通过 偏差修正 解决初期估计偏差问题。
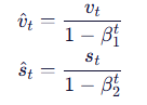
✅ 二、数学公式
对于第 ( t ) 步迭代:
1. 更新移动平均(指数加权)

2. 偏差修正(因初始为 0,早期估计偏低)

3. 参数更新
其中:
:学习率(如 0.001);
:一阶矩衰减率;
:二阶矩衰减率;
:防止除零的小常数。
✅ 三、代码实现详解
3.1 初始化 Adam 状态
def initialize_adam(parameters):L = len(parameters) // 2v = {} # 一阶矩(动量)s = {} # 二阶矩(平方梯度)for l in range(L):v["dW" + str(l + 1)] = np.zeros_like(parameters["W" + str(l + 1)])v["db" + str(l + 1)] = np.zeros_like(parameters["b" + str(l + 1)])s["dW" + str(l + 1)] = np.zeros_like(parameters["W" + str(l + 1)])s["db" + str(l + 1)] = np.zeros_like(parameters["b" + str(l + 1)])return v, s
✅ 作用:为每层权重和偏置初始化
v和s为零矩阵。
3.2 Adam 参数更新函数
def update_parameters_with_adam(parameters, grads, v, s, t, learning_rate=0.01,beta1=0.9, beta2=0.999, epsilon=1e-8):L = len(parameters) // 2v_corrected = {}s_corrected = {}for l in range(L):# 1. 更新一阶矩(动量)v["dW" + str(l + 1)] = beta1 * v["dW" + str(l + 1)] + (1 - beta1) * grads['dW' + str(l + 1)]v["db" + str(l + 1)] = beta1 * v["db" + str(l + 1)] + (1 - beta1) * grads['db' + str(l + 1)]# 2. 偏差修正(一阶矩)v_corrected["dW" + str(l + 1)] = v["dW" + str(l + 1)] / (1 - np.power(beta1, t))v_corrected["db" + str(l + 1)] = v["db" + str(l + 1)] / (1 - np.power(beta1, t))# 3. 更新二阶矩(平方梯度)s["dW" + str(l + 1)] = beta2 * s["dW" + str(l + 1)] + (1 - beta2) * np.square(grads['dW' + str(l + 1)])s["db" + str(l + 1)] = beta2 * s["db" + str(l + 1)] + (1 - beta2) * np.square(grads['db' + str(l + 1)])# 4. 偏差修正(二阶矩)s_corrected["dW" + str(l + 1)] = s["dW" + str(l + 1)] / (1 - np.power(beta2, t))s_corrected["db" + str(l + 1)] = s["db" + str(l + 1)] / (1 - np.power(beta2, t))# 5. 更新参数parameters["W" + str(l + 1)] -= learning_rate * v_corrected["dW" + str(l + 1)] / (np.sqrt(s_corrected["dW" + str(l + 1)]) + epsilon)parameters["b" + str(l + 1)] -= learning_rate * v_corrected["db" + str(l + 1)] / (np.sqrt(s_corrected["db" + str(l + 1)]) + epsilon)return parameters, v, s
✅ 关键点:
- 使用
np.square()或**2计算梯度平方;- 必须传入当前迭代步数
t(从 1 开始计数);- 所有操作按层进行,
W对应dW,b对应db。
✅ 四、测试与输出
parameters, grads, v, s = update_parameters_with_adam_test_case()
parameters, v, s = update_parameters_with_adam(parameters, grads, v, s, t=2)print("W1 =", parameters["W1"])
print("b1 =", parameters["b1"])
print("W2 =", parameters["W2"])
print("b2 =", parameters["b2"])
print("v['dW1'] =", v["dW1"])
print("v['db1'] =", v["db1"])
print("s['dW1'] =", s["dW1"])
print("s['db1'] =", s["db1"])
✅ 预期行为:
- 所有值均为合理浮点数;
v接近梯度的加权平均;s接近梯度平方的加权平均;- 参数更新幅度受
sqrt(s) + ε自适应调节。
✅ 五、超参数推荐值(Kingma & Ba, 2015)
| 超参数 | 默认值 | 说明 |
|---|---|---|
| learning_rate (α) | 0.001 | 最关键!常需调参 |
| β₁ | 0.9 | 动量衰减率 |
| β₂ | 0.999 | 方差衰减率 |
| ε | 1e-8 | 数值稳定常数 |
💡 注意:
- 学习率是 Adam 中唯一需要重点调参的超参数;
- β₁、β₂ 通常无需修改;
- 若训练不稳定,可尝试减小学习率或增大 ε。
✅ 六、Adam 的优势与局限
✅ 优势
- 自适应学习率,对不同参数自动调整;
- 收敛速度快,适合稀疏梯度(如 NLP);
- 对超参数不敏感(除学习率外);
- 广泛适用于 CNN、RNN、Transformer 等架构。
⚠️ 局限
- 内存占用略高(需存储
v和s); - 在某些凸优化问题上可能不如 SGD + 动量泛化好;
- 初期可能收敛过快导致跳过最优解(可通过 warmup 缓解)。
✅ 七、总结
Adam 是现代深度学习的“瑞士军刀” —— 简单、高效、鲁棒。
“既知道往哪走(动量),又知道走多快(自适应学习率),还懂得起步时要补一补(偏差校正)。”
