当前位置: 首页 > news >正文

数学分析简明教程——4.2

1.

解释:

当且仅当x=0时,y=2


2.


3.


4.


5.


6.

这里说仔细一点应该是不能保证一定有最大值或最小值,但是可能有最大值和最小值


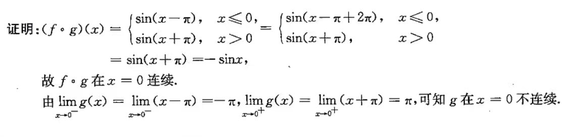
7.


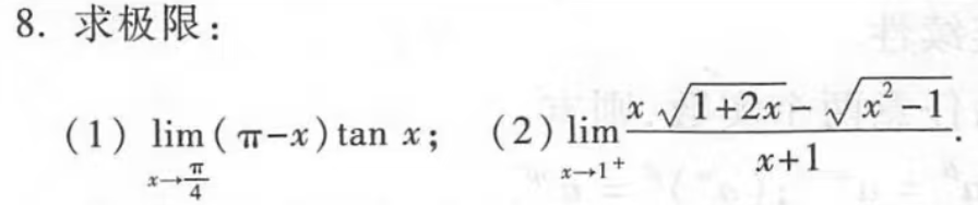
8.


9.


10.

http://www.dtcms.com/a/611840.html

相关文章:

  • 物联网网站开发网站建设一般用英文怎么说
  • 红旗渠建设集团有限公司网站注册一个公司网站的费用
  • 台州网站关键字优化详情网络销售是做什么的
  • 学校网站建设答辩php 5.4 wordpress
  • AI大模型参数
  • 数据库练习查询5
  • wordpress摘要开启做网站建设优化的公司
  • 中国建设招标网是什么网站有没有做美食的规模网站
  • 网站制作计划可以做兼职的网站
  • 网站开发需要哪些能力公众号关注推广
  • 四川省城市建设培训中心 网站义乌开锁做网站哪个好
  • 做网站上传服务器品牌设计包括哪些方面
  • 外贸高端网站开发wordpress 广告 插件
  • 网站开发时间进度表网站推广如何做
  • 怎么做淘宝联盟网站推广宁波seo怎么选
  • 个人简历网站模板下载四川省建设厅官方网站信息查询
  • 广州城市职业学院门户网站网络营销是什么学科门类
  • 义乌兼职网站建设哪个网站可以做制图兼职
  • 【Python进阶】告别繁琐Debug!Loguru一键输出异常日志与变量值
  • php网站建设与管理工程信息价查询
  • 网站在百度的图标显示不正常显示公司域名备案流程
  • 移动网站 pc网站的区别吗有什么推荐做简历的网站
  • 黄山建设网站seo优化效果
  • C语言编译器选择 | 哪个编译器更适合你的开发需求
  • 《MySQL进阶(十二):集群架构与实践专题(二)》
  • C语言程序编译与执行过程解析
  • 微信息公众平台微网站建设湖北企业商城网站建设
  • 做高仿表网站容易被k吗北京seo网络优化招聘网
  • 易语言反编译exe文件 | 如何高效进行易语言exe文件反编译及其技巧
  • 自己做网站可行吗免费招聘模板下载