算法学习 28
1.重排链表
给定一个单链表 L 的头节点 head ,单链表 L 表示为:
L0 → L1 → … → Ln - 1 → Ln
请将其重新排列后变为:
L0 → Ln → L1 → Ln - 1 → L2 → Ln - 2 → …
不能只是单纯的改变节点内部的值,而是需要实际的进行节点交换。
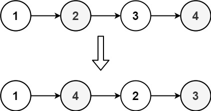
示例 1:

输入:head = [1,2,3,4] 输出:[1,4,2,3]
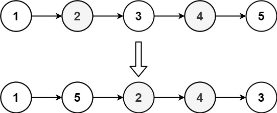
示例 2:

输入:head = [1,2,3,4,5] 输出:[1,5,2,4,3]
/*** Definition for singly-linked list.* public class ListNode {* int val;* ListNode next;* ListNode() {}* ListNode(int val) { this.val = val; }* ListNode(int val, ListNode next) { this.val = val; this.next = next; }* }*/
class Solution {public void reorderList(ListNode head) {if(head==null){return;}List<ListNode> list = new ArrayList<ListNode>();ListNode node = head;while(node!=null){list.add(node);node=node.next;}int i = 0, j = list.size() - 1;while (i < j) {list.get(i).next = list.get(j);i++;if (i == j) {break;}list.get(j).next = list.get(i);j--;}list.get(i).next = null;}
}
2.判断子序列
给定字符串 s 和 t ,判断 s 是否为 t 的子序列。
字符串的一个子序列是原始字符串删除一些(也可以不删除)字符而不改变剩余字符相对位置形成的新字符串。(例如,"ace"是"abcde"的一个子序列,而"aec"不是)。
进阶:
如果有大量输入的 S,称作 S1, S2, ... , Sk 其中 k >= 10亿,你需要依次检查它们是否为 T 的子序列。在这种情况下,你会怎样改变代码?
致谢:
特别感谢 @pbrother 添加此问题并且创建所有测试用例。
示例 1:
输入:s = "abc", t = "ahbgdc" 输出:true
示例 2:
输入:s = "axc", t = "ahbgdc" 输出:false
class Solution {public boolean isSubsequence(String s, String t) {int n=s.length(),m=t.length();//获取字符串长度int i=0,j=0; while(i<n&&j<m){if(s.charAt(i)==t.charAt(j)){//判断当前位置的字符是否相等i++;//如果相等测试s字符串的下一个}j++;//不相等测试t字符与当前s字符}return i==n;}
}
