当前位置: 首页 > news >正文

【数据结构】一文解析跳表

文章目录

  • 1. 概要
  • 2. 跳表的时间复杂度
  • 3. 代码
    • 3.1 跳表节点
    • 3.2 SkipList 参数
    • 3.3 SkipList 构造函数
    • 3.4 跳表查询
    • 3.4 跳表新增节点
    • 3.5 跳表删除节点
    • 3.6 调整跳表
    • 3.7 打印跳表
    • 3.8 测试方法
  • 4. 跳表使用

1. 概要

跳表是一种 随机性 的数据结构,随机性体现在跳表的层数是不固定的。跳表基于有序链表,可以在原始链表基础上创建多层索引架构,采用这种随机技术,跳表中的搜索、插入、删除操作的时间均为 O(logn)
在这里插入图片描述
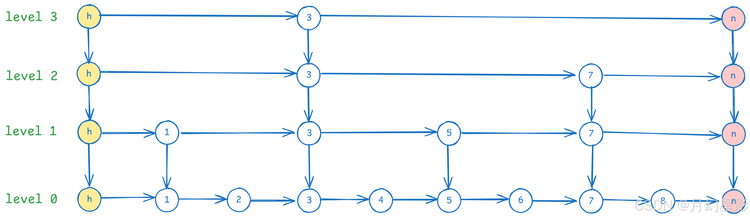
上面就是跳表的图示,注意 h 节点是头结点,n 节点是尾结点,从图片来看本质就是一个链表加了 n 层来进行索引,跳表的查询流程等后面会逐步介绍的。

大家在看到上面图片的时候也能想象,如果去掉 level1level2level3,其实跳表也就是一个链表,或者说是一个数组,但是加上之后,在做增删改查的时候就可以从上往下逐层查询查询,性能大大提高,所以查询性能才比较高效。

当然了,前面我们也说了跳表的层数是随机的,不是固定的,所以最终跳表也可能只有一层,这种情况下增删改查的平均时间复杂度会退化成 O(n)


2. 跳表的时间复杂度

我们上面也说了,跳表中的搜索、插入、删除操作的时间均为 O(logn),这个值是怎么算出来的呢?

在理想情况下, 假设 level0 的节点数为 n,接下来每一层的节点数是下一层的一半,那么结果就是:

  • level1 节点数: n / 2 n / 2 n/2
  • level2 节点数: n / 4 = n / 2 2 n / 4 = n / 2^{2} n/4=n/22
  • level3 节点数: n / 8 = n / 2 3 n / 8 = n / 2^{3} n/8=n/23
  • levelm 节点数: n / 2 m n / 2^{m} n/2m

假设第 m 层(最顶层)节点数就 1 个,那么就是说 n / 2 m = 1 n / 2^{m} = 1 n/2m=1,求得 m = log ⁡ 2 n m = \log_{2}{n} m=log2n,而时间复杂度等于 高度 * 每一层遍历的节点数,假设每一层遍历的节点数是 k,所以最终时间复杂度就是 k log ⁡ 2 n k\log_{2}{n} klog2n,由于 k 是常数级别,所以最终结果就是: log ⁡ 2 n \log_{2}{n} log2n

那么为什么每一层遍历的节点数 k 是常数呢?
在这里插入图片描述
理想情况下我们会构建出例如上面图中的跳表,每一层相隔 2 个节点就会在上一层构建一个索引节点,假设我们要找 6,路径就是:
在这里插入图片描述
也就是说每一层只需要判断 2 个节点,就可以继续往下一层走,继续判断,最终到最底层,所以 k 在这里就是一个常数。

由于我们是随机生成层节点的,所以这里说的平均时间复杂度是 log ⁡ 2 n \log_{2}{n} log2n,只是在极端情况下会退化成 O ( n ) O(n) O(n)


3. 代码

3.1 跳表节点

跳表的概念上面就已经说过了,我们更需要关注的还是跳表的属性定义,首先就是跳表节点,跳表节点包括 key 和 value,我们添加的时候是使用 key 进行索引的。

class SkipListNode {
    public int key;
    public int value;

    SkipListNode[] forward;

    public SkipListNode(int key, int value, int level) {
        this.key = key;
        this.value = value;
        this.forward = new SkipListNode[level + 1];
    }
}

然后就是 forward,这个 forward 是一个数组,forward[i] 表示当前节点的前向指针,啥意思呢,举个例子:
在这里插入图片描述
圈红色的地方就是 key = h 的 forward 数组,大家先忽略 value,大家可以把 h 看成是头结点,n 看成是 null 指针,头结点的 forward 数组非空的部分大小是 4,也就是说 forward[0] ... forward[3] 都指向了 key = 1 的节点。接着 key = 1 的 forward 数组也是 4,而这时候 forward[0] = 2,forward[1] = 3,forward[2] = 5,forward[3] = null


3.2 SkipList 参数

public static final double PROBABILITY = 0.5;

public static final int MAX_LEVEL = 15;

public int level;

public SkipListNode head;

public Random random;

首先就是 PROBABILITY,这个参数用于判断是否应该生成一层,比如添加节点 1 的时候,使用 random.nextDouble() < 0.5,那么这个节点的层数就 + 1,比如上面图中节点 1 在添加的时候生成的层数就是 4。

然后就是 MAX_LEVEL,上面说了节点需要通过随机数判断能否增加一层,但是层数也不是无限添加的,所以这里设置了一个上限,默认给的是 15。

接着就是 level,level 指的是跳表当前的最高层数,比如上面图默认就是 3。最后 head 就是上面图中的首节点了,刚刚已经介绍过了,这里就不多说。


3.3 SkipList 构造函数

构造函数很简单,就是初始化 head 和 random 两个参数,level 也顺便初始化,不过 int 类型默认就是 0,初始化不初始化都一样。

public SkipList() {
    this.head = new SkipListNode(Integer.MIN_VALUE, Integer.MIN_VALUE, MAX_LEVEL);
    this.random = new Random();
    this.level = 0;
}

3.4 跳表查询

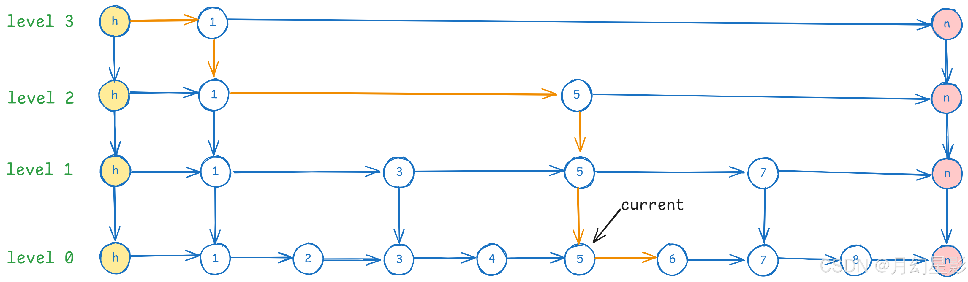
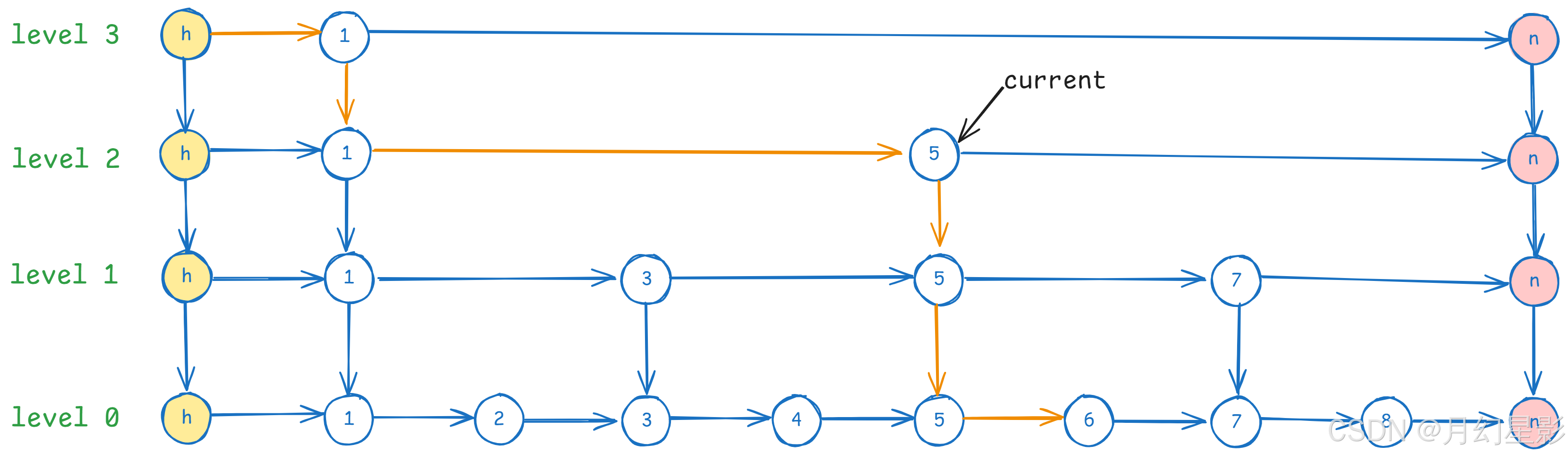
下面我们就来看下跳表的查询逻辑,还是以下面图为例子,节点里面的值就当成 key 即可,value 我没有标上去,因为增删查都是以 key 为主,看图也方便点,我们以查询 key = 6 为例子。
在这里插入图片描述

  • 首先从最顶层 level3 开始遍历,首先是 head 节点的下一个节点 key = 1,发现 key = 1 < 6,时候 current 指针指向 key = 1 的位置。
    在这里插入图片描述
  • 接着我们发现当前 current 指针指向的下一个已经是 null 了(节点 n),就去到下一层 level2。
    在这里插入图片描述
  • 在 level2 发现 current 的下一个节点是 5,5 < 6,于是 current 指针移动到 5 的位置。
    在这里插入图片描述
  • 继续判断,发现 current 的下一个节点是空,移动到 level1,此时发现 current 的下一个节点是 7,而 6 < 7,说明这时候要查询的节点就在 current 和 current 的下一个节点之间,此时移动到 level0 去找。
    在这里插入图片描述
  • 最后发现 current 的下一个节点就是 6,就是我们要找的节点,到这里查询的逻辑就结束了。

上面就是查询的基本逻辑了,从图片来看就很简单,但是我们实际是用数组存储当前节点每一层指向的下一个节点,所以从代码角度看起来就没有那么容易懂,这里我先给出所有代码。

public int searchBK(int key) {
    SkipListNode node = search(key);
    return node == null ? Integer.MIN_VALUE : node.value;
}

public SkipListNode search(int key) {
    SkipListNode current = head;
    for (int i = level; i >= 0; i--) {
        while (current.forward[i] != null && current.forward[i].key < key) {
            current = current.forward[i];
        }
    }
    current = current.forward[0];
    if (current != null && current.key == key) {
        return current;
    }
    return null;
}

上面的 for 循环就是在遍历层级,while 循环是在不断更改 current 节点,综合起来的意思就是 while 循环会在每一层找到最后一个小于传入的 key 的节点,比如上面图中,在 level3 的时候由于节点 1 就是最后一个,所以这时候退出 while 循环来到 level2。

在 level2 继续遍历,current 也指向了 1,此时 current.forward[2] = 5 (节点 1 在 level2 的下一个节点是 5),然后接着 while 循环判断 current.forward[2] = 5 < 6,让 current 指向 5,由于 level2 中 5 是最后一个小于 6 的节点,所以 i–,来到 level1。

在 level1 由于 current.forward[1] = 7 > 6,所以继续往下来到 level0。在 level0 判断的时候 current.forward[0] = 6 不满足 < 6,所以就退出循环了。

最后 current = current.forward[0] 获取 5 在 level0 的下一个节点来判断是否满足 current.key == key


3.4 跳表新增节点

下面先给出所有的代码逻辑。

public void insert(int key, int value) {
    SkipListNode[] update = new SkipListNode[MAX_LEVEL + 1];
    SkipListNode current = head;
    for (int i = level; i >= 0; i--) {
        while (current.forward[i] != null && current.forward[i].key < key) {
            current = current.forward[i];
        }
        update[i] = current;
    }
    current = current.forward[0];
    if (current != null && current.key == key) {
        current.value = value;
    } else {
        int newLevel = randomLevel();
        if (newLevel > level) {
            for (int i = level + 1; i <= newLevel; i++) {
                update[i] = head;
            }
            level = newLevel;
        }
        SkipListNode newNode = new SkipListNode(key, value, newLevel);
        for (int i = 0; i <= newLevel; i++) {
            newNode.forward[i] = update[i].forward[i];
            update[i].forward[i] = newNode;
        }
    }
}

要解释上面的逻辑,我们以下面图为例子。
在这里插入图片描述
上图中的 1-8 节点缺了节点 6,所以我们要新增的就是节点(6,6),还是直接看 key。

首先来看下 update[] 数组,这个数组的目的是在每一层找到最后一个比新增的 key 小的节点,比如上面图中当处理完 update 数组之后就是这样的。
在这里插入图片描述
至于如何处理 update 的,其实跟 search 逻辑一模一样,因为 search 会从上往下遍历每一层找到最后一个小于 key 的节点,而处理 update 只不过是在 search 的代码基础上加了一行 update[i] = current 来记录下来这些节点。而 update 数组创建传入的长度是 MAX_LEVEL + 1,这是因为 SkipList 构造函数对 head 节点创建的 forward 长度是 MAX_LEVEL + 1,而其他添加的节点创建的 forward 长度是 random 出来的层级。

head 节点默认创建 MAX_LEVEL + 1 的 forward 数组是因为如果后续的 level 超过原先最大的 level,就需要重新调整 head 的 forward 数组,就比如上面图中假设我们就只为 head 创建长度为 4 的 forward,那么如果后续要添加的节点层数超过 4,那么 head.forward 又要重新 new 一个,并且还要把原来的转移到新的上面,比较麻烦,所以干脆一早就创建好这么长的数组。

当然这样也有一个坏处就是占用内存空间比较多,如果是边新增边调整,这样就可以省下不少内存,所以不同的处理方式有不同的好处吧。

回到代码,这时候 current 指向了 level0 里面节点 5 的下一个节点 7,这时候会判断是不是更新。

if (current != null && current.key == key) {
    current.value = value;
}

如果不是更新,那就是新增节点了,这时候就需要获取下这个新的节点的层数,简单来说就是通过随机数判断如果小于 0.5 就增加一层。

int newLevel = randomLevel();
if (newLevel > level) {
    for (int i = level + 1; i <= newLevel; i++) {
        update[i] = head;
    }
    level = newLevel;
}

当新的层数比原来的层数要大,这时候就要更新下 update 数组,将 update 数组新多出的这部分层数都设置为 head,同时更新 level,比如这时候算出来的 newLevel = 4,那么就更新 update[4] = head。
在这里插入图片描述
在这里再次提醒大家一次,update 数组中记录的是要插入的这个节点的前置节点。

最后,我们更新新的节点的后继节点和 update[i] 的后继节点。

SkipListNode newNode = new SkipListNode(key, value, newLevel);

for (int i = 0; i <= newLevel; i++) {
     newNode.forward[i] = update[i].forward[i];
     update[i].forward[i] = newNode;
}

上面 update[i].forward[i] 意思是 第 i 层记录的节点在第 i 层的后继节点newNode.forward[i] 意思自然就是 newNode 在第 i 层的后继节点,这样就比较好理解,总之处理完之后长这样。
在这里插入图片描述


3.5 跳表删除节点

看了上面增加的逻辑,delete 方法的逻辑和 update 差不多,首先也是一样要获取 update 数组。

SkipListNode[] update = new SkipListNode[MAX_LEVEL + 1];
SkipListNode current = head;
for (int i = level; i >= 0; i--) {
    while (current.forward[i] != null && current.forward[i].key < key) {
        current = current.forward[i];
    }
    update[i] = current;
}
assert current.forward != null;

接着判断跳表中是否存在这个节点,如果不存在就不删除了。

current = current.forward[0];
if (current != null && current.key != key) {
    return;
}

如果存在,那么从最底层往上开始删除。

for (int i = 0; i <= level; i++) {
    if (update[i].forward[i] != current) {
        break;
    }
    update[i].forward[i] = current.forward[i];
}

在这里插入图片描述

比如这个图要删除 6,就是从 update 下标 0 开始删除,将 6 的前置节点指向 6 的后继节点,注意如果遇到 update[i].forward[i] != current 就直接退出,比如上面图中要删除 5 的时候,update 数组是这样的。
在这里插入图片描述
当遍历到 level3 的时候,发现 1 的下一个节点是 6,不等于 5,这时候直接退出,因为 level3 找不到节点 5,那么 level4 也不会有。

while (level > 0 && head.forward[level] == null) {
    level--;
}

最后就是调整 level 了,因为删除了节点 6 之后,level4 就没有任何节点了,所以这时候 level 可以减少。


3.6 调整跳表

上面图中的跳表是理想情况下的结构,因为层数是随机的,所以大概率是不会出现这样的结构,这个方法就是用来调整跳表结构。

public void adjustDistinct() {
    // 先将最底层的节点存储到一个列表中
    List<SkipListNode> nodes = new ArrayList<>();
    SkipListNode current = head.forward[0];
    while (current != null) {
        nodes.add(current);
        current = current.forward[0];
    }

    // 清空原来的跳表结构
    for (int i = 0; i <= MAX_LEVEL; i++) {
        head.forward[i] = null;
    }
    level = 0;

    // 重新构建跳表, currentLevel 表示当前构建的是哪一层
    int currentLevel = 0;
    while (!nodes.isEmpty()) {
        List<SkipListNode> nextLevelNodes = new ArrayList<>();
        SkipListNode pre = head;
        int count = 0;
        for (int i = 0; i < nodes.size(); i++) {
            count++;
            SkipListNode node = nodes.get(i);
            // 设置 pre 在 currentLevel 层的后继节点为 node
            pre.forward[currentLevel] = node;
            // 再把 node 的后继节点设置为空
            if(node.forward != null && node.forward.length > currentLevel){
                node.forward[currentLevel] = null;
            } else {
            	// 下面这里是重新生成 node 的 forward 数组
                SkipListNode[] preNode = node.forward;
                node.forward = new SkipListNode[currentLevel + 1];
                for (int j = 0; j < preNode.length; j++) {
                    node.forward[j] = preNode[j];
                }
                node.forward[currentLevel] = null;
            }
            pre = node;
            // 每一层隔 2 隔节点就把这个节点放到 nextLevelNodes 中用于构建下一层
            if (count % 2 == 0) {
                nextLevelNodes.add(node);
            }
        }
        // 层数 + 1
        if (!nextLevelNodes.isEmpty()) {
            currentLevel++;
            level = currentLevel;
        }
        nodes = nextLevelNodes;
    }
}

上面的逻辑就不多说了,总体来说就是先把 level0 的节点存起来,然后遍历一层一层构建。

不过要注意中间有一段逻辑是重新构建 forward 数组的。

// 下面这里是重新生成 node 的 forward 数组
if(node.forward != null && node.forward.length > currentLevel){
    node.forward[currentLevel] = null;
} else {
    SkipListNode[] preNode = node.forward;
    node.forward = new SkipListNode[currentLevel + 1];
    for (int j = 0; j < preNode.length; j++) {
        node.forward[j] = preNode[j];
    }
    node.forward[currentLevel] = null;
}

这个逻辑会重新生成 forward 数组,避免数组下标越界,举个例子,看下面图片。
在这里插入图片描述
由于上面代码重新构建跳表会使用偶数节点构建,也就是说 level0 是 1 - 8,level1 就是 2, 4, 6, 8,所以上面图中 2 节点原来 forward 的长度就是 1,因为节点 2 只在 level0 有后继节点。但是重新构建之后 2 在 level1 也有了后继节点,所以这种情况下就需要重新创建节点 2 的 forward 数组,将长度设置为 2,这样一来在构建 level1 的时候设置节点 2 的 forward[1] 就不会异常了。


3.7 打印跳表

这个方法用于打印跳表的结构。

public void printSkipList() {
    for (int i = level; i >= 0; i--) {
        SkipListNode node = head.forward[i];
        System.out.print("Level " + i + ": ");
        while (node != null) {
            System.out.print("(" + node.key + ", " + node.value + ") ");
            node = node.forward[i];
        }
        System.out.println();
    }
}

3.8 测试方法

下面就是测试的 main 方法。

public class SkipLsit{
    public static void main(String[] args) {
        SkipList skipList = new SkipList();
        skipList.insert(1, 1);
        skipList.insert(2, 2);
        skipList.insert(3, 3);
        skipList.insert(4, 4);
        skipList.insert(5, 5);
        skipList.insert(6, 6);
        skipList.printSkipList();
        System.out.println();

        System.out.println(skipList.searchBK(5)); // 输出: 5
        skipList.delete(5);
        System.out.println(skipList.searchBK(5)); // 输出: Integer.MIN_VALUE
        skipList.printSkipList();
        System.out.println();

        // 调整跳表层级
        skipList.adjustDistinct();
        skipList.printSkipList();
        System.out.println();

        skipList.insert(5, 5);
        skipList.insert(7, 7);
        skipList.insert(8, 8);
        skipList.printSkipList();
        System.out.println(skipList.searchBK(8)); // 输出: 8
        System.out.println();

        skipList.adjustDistinct();
        skipList.printSkipList();
        System.out.println();
    }
}

输出结果:

Level 1: (4, 4) 
Level 0: (1, 1) (2, 2) (3, 3) (4, 4) (5, 5) (6, 6) 

5
-2147483648
Level 1: (4, 4) 
Level 0: (1, 1) (2, 2) (3, 3) (4, 4) (6, 6) 

Level 2: (4, 4) 
Level 1: (2, 2) (4, 4) 
Level 0: (1, 1) (2, 2) (3, 3) (4, 4) (6, 6) 

Level 2: (4, 4) (7, 7) 
Level 1: (2, 2) (4, 4) (7, 7) 
Level 0: (1, 1) (2, 2) (3, 3) (4, 4) (5, 5) (6, 6) (7, 7) (8, 8) 
8

Level 3: (8, 8) 
Level 2: (4, 4) (8, 8) 
Level 1: (2, 2) (4, 4) (6, 6) (8, 8) 
Level 0: (1, 1) (2, 2) (3, 3) (4, 4) (5, 5) (6, 6) (7, 7) (8, 8) 

4. 跳表使用

跳表特点就是时间复杂度较低,同时跳表的节点是有序的,非常适合用于快速查询的场景。Java 的 ConcurrentSkipListMap 就是用的跳表来作为底层结构,提供了线程安全的有序映射和有序集合的实现。

  • Redis 的 Sorted Set 就使用了跳表来实现,可以根据 score 进行快速排序和查询。
  • 一致性 hash 中,可以通过跳表来查询出当前传入的 key 对应的节点。

总的来说,对于需要用到有序集合的场景,都可以考虑选择跳表。





如有错误,欢迎指出!!!

http://www.dtcms.com/a/58482.html

相关文章:

  • 【leetcode100】组合总和
  • 大规模分布式训练技术
  • LINUX SERVER在那種情況下需要做Raid
  • RabbitMQ应用问题大全(精心整理版)
  • 【MATLAB例程】二维环境定位,GDOP和CRLB的计算
  • JVM面试题
  • 【Agent的革命之路——LangGraph】如何使用config
  • Eclipse Kura:开源的物联网网关框架
  • Python入门———条件、循环
  • 认识Event Loop【1】
  • HCIP复习拓扑练习
  • 【JavaScript】08-作用域+箭头函数+解构赋值
  • 驱动开发系列46 - Linux 显卡KMD驱动代码分析(七)- 显存管理
  • AppStorage:应用全局的UI状态存储
  • 回归预测 | MATLAB实现SSA-LSTM和LSTM多输入单输出
  • 【Linux学习笔记】Linux基本指令分析和权限的概念
  • Java数据结构第二十一期:解构排序算法的艺术与科学(三)
  • 【分布式】聊聊分布式id实现方案和生产经验
  • 数据库1-2章
  • 如何解决前端的竞态问题
  • 目录《Vue 3 + TypeScript + DeepSeek 全栈开发实战》
  • 宝塔的ssl文件验证域名后,会在域名解析列表中留下记录吗?
  • Vue 过滤器 filter(s) 的使用
  • Java8新特性
  • 大语言模型中的归一化技术:LayerNorm与RMSNorm的深入研究
  • linux根目录
  • 数据类设计_图片类设计之1_矩阵类设计(前端架构基础)
  • 如何在el-input搜索框组件的最后面,添加图标按钮?
  • ESP32/ESP8266实现多点测温系统,手机端(网页)查看实时温度
  • 第十八篇 SQL优化之逻辑结构:用仓库管理员思维优化数据库