【科研绘图系列】R语言绘制曲线图(curve plot)
禁止商业或二改转载,仅供自学使用,侵权必究,如需截取部分内容请后台联系作者!

文章目录
-
- 介绍
-
- 数据准备
- 曲线绘制
- 辅助线添加
- 坐标轴设置
- 加载R包
- 数据下载
- 导入数据
- 数据预处理
- 画图
- 总结
- 系统信息
介绍
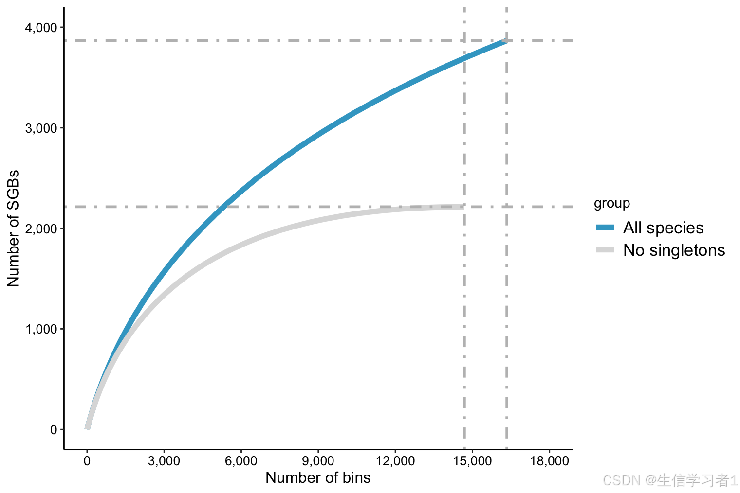
这段代码是一个基于R语言的绘图脚本,使用了tidyverse包来处理数据和生成图表。它主要用于绘制两条曲线,分别表示“所有物种”(All species)和“无单例”(No singletons)的某种关系,并通过添加辅助线来突出特定的阈值。以下是详细的介绍:
数据准备
- 数据读取:从文件
npgmg.curve_data和npgmg.nonsingleton.curve_data中分别读取“所有物种”和“无单例”的数据,存储在all_curve和nons_curve变量中。这些数据可能包含两列:xaxis(横坐标)和X1(纵坐标)。 - 数据合并:为了在同一张图上绘制两条曲线,将
all_curve和nons_curve合并为一个数据框curve_data。同时,为每条曲线添加了一个group列,用于区分不同的数据集,并将其转换为因子类型,以便在绘图时正确地分组和着色。
曲线绘制
- 基础绘图:使用
ggplot()初始化绘图对象,并通过geom_line()绘制两条曲线。曲线的
