LC110 平衡二叉树
一.任务描述:
给定一个二叉树,判断它是否是 平衡二叉树
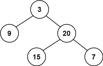
示例 1:

输入:root = [3,9,20,null,null,15,7]
输出:true
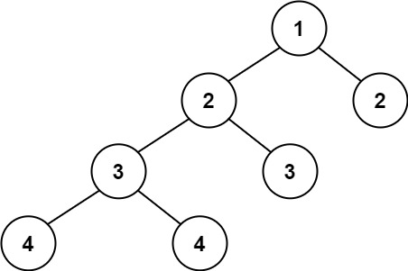
示例 2:

输入:root = [1,2,2,3,3,null,null,4,4]
输出:false
示例 3:
输入:root = []
输出:true
二.解题思路:
自底向上的递归
从叶子节点开始计算高度
如果子树不平衡,立即返回-1标记不平衡
否则返回实际高度供父节点使用
最终检查根节点是否返回-1
三.代码实现:
C
/*** Definition for a binary tree node.* struct TreeNode {* int val;* struct TreeNode *left;* struct TreeNode *right;* };*/
int checkHeight(struct TreeNode* root) {if (root == NULL) {return 0;}// 递归检查左子树高度int leftHeight = checkHeight(root->left);if (leftHeight == -1) {return -1; // 左子树不平衡,直接返回}// 递归检查右子树高度int rightHeight = checkHeight(root->right);if (rightHeight == -1) {return -1; // 右子树不平衡,直接返回}// 检查当前节点是否平衡if (abs(leftHeight - rightHeight) > 1) {return -1; // 当前节点不平衡}// 返回当前子树的高度return (leftHeight > rightHeight ? leftHeight : rightHeight) + 1;
}bool isBalanced(struct TreeNode* root) {// 如果checkHeight返回-1表示不平衡,否则平衡return checkHeight(root) != -1;
}四.总结:
核心技巧:
checkHeight函数:计算子树高度同时检查平衡性
返回-1表示子树不平衡
返回正整数表示子树高度
isBalanced函数:调用辅助函数检查整棵树
如果返回-1则不平衡,否则平衡
算法特点:
时间复杂度:O(n) - 每个节点访问一次
空间复杂度:O(h) - 递归栈深度,h为树高
自底向上检查,避免重复计算
