数学分析简明教程——2.2(未完)
【Middle】5.
方法:反证法或者举反例

【Easy】6.证明以下数列发散
这一类数列大多是奇偶项不同或者具有周期性

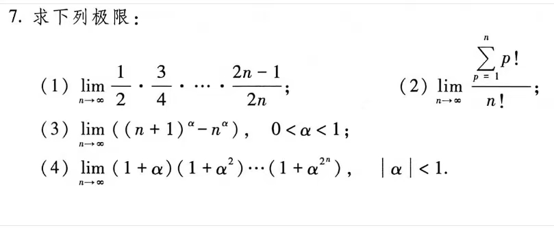
【Middle】7.

【Hard】8.
放缩和迫敛性,技巧性很强

【Middle】9.

【Easy】10.设,证明:
.
对于任意实数,
故
由迫敛性可知
【Middle】5.
方法:反证法或者举反例

【Easy】6.证明以下数列发散
这一类数列大多是奇偶项不同或者具有周期性

【Middle】7.

【Hard】8.
放缩和迫敛性,技巧性很强

【Middle】9.

【Easy】10.设,证明:
.
对于任意实数,
故
由迫敛性可知