LeetCode每日一题——反转链表
题目要求:
给你单链表的头节点 head ,请你反转链表,并返回反转后的链表。
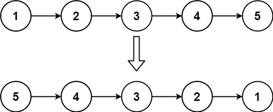
示例 1:

输入:head = [1,2,3,4,5] 输出:[5,4,3,2,1]
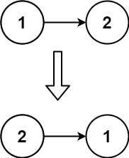
示例 2:

输入:head = [1,2] 输出:[2,1]
示例 3:
输入:head = [] 输出:[]
代码实现:
struct ListNode* reverseList(struct ListNode* head) {
struct ListNode* prev = NULL;//prev初始为NULL
struct ListNode* curr = head;//从头节点开始
while (curr) {//只要curr不为NULL,就执行循环代码
struct ListNode* next = curr->next;//让next保存curr的下一个节点指针
curr->next = prev;//curr指向prev
prev = curr;//prev向后移动一位
curr = next;//curr向后移动一位
}
return prev;//返回头节点即可输出反转后的链表
}
作者:力扣官方题解
来源:力扣(LeetCode)
坚持编程,我一直在路上!
