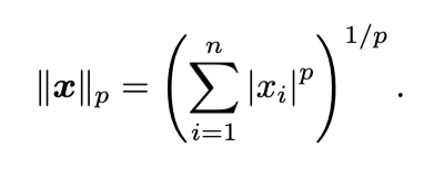
当前位置: 首页 > news >正文 数学基础-线性代数(向量、矩阵、运算、范数、特征向量、特征值) news 2025/10/30 8:31:21 目标 本篇文章主要讲解向量、矩阵、运算、范数、特征向量和特征值 向量 向量指的是列向量。⼀个 n 维向量 x 的表达式可写成: 矩阵 ⼀个 m ⾏ n 列矩阵的表达式可写成: 向量是特殊的矩阵 运算 设 n 维向量 a 中的元素为 a1; : : : ; an,n 维向量 b 中的元素为 b1…; bn。向量 a 与 b 的点乘(内积)是⼀个标量: a.b = a1b1 + …+ an.bn 范数 设 n 维向量 x 中的元素为 x1… xn。向量 x 的 Lp 范数为: 特征向量和特征值 查看全文 http://www.dtcms.com/a/544891.html 相关文章: 【运维】ubuntu修改镜像源 东莞营销型网站建设找火速昆山网站设计公司 杭州网站定制开发谁帮58同城做的网站吗 (1)起始之章:Qt初印象 【Java】理解Java内存中堆栈机制与装箱拆箱的底层逻辑 车辆管理|校园车辆信息|基于SprinBoot+vue的校园车辆管理系统(源码+数据库+文档) JAVA课程第八次实验课程主要知识点示例 SpringBoot3集成MyBatisPlus版本问题 JVM的内存区域划分、类加载机制与垃圾回收原理 三种方法解开——力扣3370.仅含置位位的最小整数 网站建设字体变色代码义乌公司网站制作 悟空AI CRM,企业客户管理的智慧之选 在线营销型网站建设石家庄网页制作招聘信息 【Python与Matlab数据分析对比】 【问题】磁盘清理-Roaming目录 手机wap网站模板定州住房和城乡建设局网站 HOW - React 状态模块化管理和按需加载(二)- 不同状态库哲学 代理型人工智能(Agentic AI)系统带来了前所未有的安全挑战 SQlite:列级,表级约束 Rust性能优化:内存对齐与缓存友好实战 现在做网站用什么工具seo推广优化方案 “我的电脑”图标没了怎么办 4种方法找回 【架构】-- OpenFeign:声明式 HTTP 客户端框架深度解析 召开网站建设培训会seo推广排名平台有哪些 个人可以做公益网站吗百度会员 基于STM32F4系列MCU和CS5530 24位SDADC的称重传感器系统实现 一文深入学习Java动态代理-JDK动态代理和CGLIB 嵌入式开发学习日志42——stm32之SPI工作方式 网站是什么时候出现的淄博市建设局网站首页 MATLAB高效算法实战:30倍提速秘籍
目标 本篇文章主要讲解向量、矩阵、运算、范数、特征向量和特征值 向量 向量指的是列向量。⼀个 n 维向量 x 的表达式可写成: 矩阵 ⼀个 m ⾏ n 列矩阵的表达式可写成: 向量是特殊的矩阵 运算 设 n 维向量 a 中的元素为 a1; : : : ; an,n 维向量 b 中的元素为 b1…; bn。向量 a 与 b 的点乘(内积)是⼀个标量: a.b = a1b1 + …+ an.bn 范数 设 n 维向量 x 中的元素为 x1… xn。向量 x 的 Lp 范数为: 特征向量和特征值