算法学习 13
1.将有序数组转换为二叉搜索树
给你一个整数数组 nums ,其中元素已经按 升序 排列,请你将其转换为一棵 平衡 二叉搜索树。
示例 1:

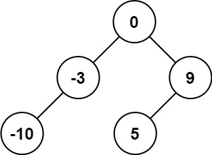
输入:nums = [-10,-3,0,5,9] 输出:[0,-3,9,-10,null,5] 解释:[0,-10,5,null,-3,null,9] 也将被视为正确答案:

示例 2:

输入:nums = [1,3] 输出:[3,1] 解释:[1,null,3] 和 [3,1] 都是高度平衡二叉搜索树。
class Solution {public TreeNode sortedArrayToBST(int[] nums) {return helper(nums, 0, nums.length - 1);}public TreeNode helper(int[] nums, int left, int right) {if (left > right) {return null;}// 总是选择中间位置左边的数字作为根节点int mid = (left + right) / 2;TreeNode root = new TreeNode(nums[mid]);root.left = helper(nums, left, mid - 1);root.right = helper(nums, mid + 1, right);return root;}
}
2.搜索插入位置
给定一个排序数组和一个目标值,在数组中找到目标值,并返回其索引。如果目标值不存在于数组中,返回它将会被按顺序插入的位置。
请必须使用时间复杂度为 O(log n) 的算法。
示例 1:
输入: nums = [1,3,5,6], target = 5 输出: 2
示例 2:
输入: nums = [1,3,5,6], target = 2 输出: 1
示例 3:
输入: nums = [1,3,5,6], target = 7 输出: 4
class Solution {// 方法返回值应为int,而非int数组public int searchInsert(int[] nums, int target) {int n = nums.length;// 遍历数组查找目标值for (int j = 0; j < n; j++) {// 如果找到目标值,返回当前索引if (nums[j] == target) {return j;}// 如果当前元素大于目标值,说明目标值应插入到当前位置if (nums[j] > target) {return j;}}// 如果所有元素都小于目标值,插入到数组末尾return n;}
}