将有序数组转换为二叉搜索树
一、题目内容
给你一个整数数组 nums ,其中元素已经按 升序 排列,请你将其转换为一棵 平衡 二叉搜索树。
示例 1:

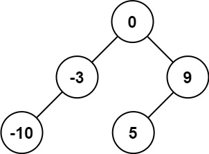
输入:nums = [-10,-3,0,5,9] 输出:[0,-3,9,-10,null,5] 解释:[0,-10,5,null,-3,null,9] 也将被视为正确答案:

示例 2:

输入:nums = [1,3] 输出:[3,1] 解释:[1,null,3] 和 [3,1] 都是高度平衡二叉搜索树。
二、源代码(部分)
/*** Definition for a binary tree node.* struct TreeNode {* int val;* struct TreeNode *left;* struct TreeNode *right;* };*/
struct TreeNode* helper(int* nums, int left, int right) {if (left > right) {return NULL;}// 总是选择中间位置左边的数字作为根节点int mid = (left + right) / 2;struct TreeNode* root = (struct TreeNode*)malloc(sizeof(struct TreeNode));root->val = nums[mid];root->left = helper(nums, left, mid - 1);root->right = helper(nums, mid + 1, right);return root;
}struct TreeNode* sortedArrayToBST(int* nums, int numsSize) {return helper(nums, 0, numsSize - 1);
}三、题目解析
递归边界处理:定义辅助函数
helper,接收数组nums、左边界left和右边界right。当left > right时(子数组为空),返回NULL,表示当前子树为空。选择根节点:对于非空子数组(
left ≤ right),计算中间索引mid = (left + right) / 2,选择nums[mid]作为当前子树的根节点。这一选择保证了左右子树的节点数量尽可能均衡,为构建平衡树奠定基础。递归构建左右子树:
- 左子树由原数组中
[left, mid-1]范围内的元素构成,通过helper(nums, left, mid-1)递归构建。 - 右子树由原数组中
[mid+1, right]范围内的元素构成,通过helper(nums, mid+1, right)递归构建。
- 左子树由原数组中
返回根节点:最终构建的树的根节点由
helper(nums, 0, numsSize-1)返回,即整个数组对应的平衡 BST。
四、实验总结
算法正确性:
- 满足二叉搜索树性质:由于数组升序,左子树元素(
[left, mid-1])均小于根节点nums[mid],右子树元素([mid+1, right])均大于根节点,符合 BST 的左小右大特性。 - 满足平衡树性质:每次选择中间元素作为根节点,确保左右子树的节点数量差不超过 1,因此整棵树的高度差不会超过 1,是高度平衡的。
- 满足二叉搜索树性质:由于数组升序,左子树元素(
时间复杂度:O (n),其中 n 是数组长度。每个元素会被访问一次(作为根节点),递归过程中没有重复计算,因此时间复杂度与数组长度成正比。
空间复杂度:O (logn)(不考虑输出树的空间)。递归调用的栈深度取决于树的高度,由于是平衡树,高度为 logn,因此栈空间复杂度为 O (logn)。若考虑输出树的存储空间,则为 O (n)(需存储 n 个节点)。
特点与扩展:
- 该实现选择中间偏左的元素作为根节点(
mid = (left + right) / 2),若选择中间偏右的元素(如mid = (left + right + 1) / 2),也可构建平衡 BST,结果可能不同但均满足要求。 - 对于升序数组,转换为平衡 BST 的结果不唯一,但该方法是最直接且高效的实现方式。
- 该实现选择中间偏左的元素作为根节点(
