算法练习:前缀和专题
前缀和是一种预处理技术,它能让我们在 O ( 1 ) O(1) O(1) 的时间内(即常数时间)快速查询一个数组或矩阵某个区域内所有元素的和。
一维与二维前缀和(模板)
一、一维前缀和
第一个代码解决的是“一维数组区间和”问题。
1. 核心思想
我们定义一个“前缀和数组” dp (或称为 S)。
d p [ i ] dp[i] dp[i] 存储的是原数组 arr 中从第 1 个元素到第 i i i 个元素的总和。
即: d p [ i ] = a r r [ 1 ] + a r r [ 2 ] + . . . + a r r [ i ] dp[i] = arr[1] + arr[2] + ... + arr[i] dp[i]=arr[1]+arr[2]+...+arr[i]
2. 如何构建前缀和数组 (预处理)
根据定义,我们可以推导出递推公式:
d p [ i ] = ( a r r [ 1 ] + . . . + a r r [ i − 1 ] ) + a r r [ i ] = d p [ i − 1 ] + a r r [ i ] dp[i] = (arr[1] + ... + arr[i-1]) + arr[i] = dp[i-1] + arr[i] dp[i]=(arr[1]+...+arr[i−1])+arr[i]=dp[i−1]+arr[i]
为了方便处理边界(例如查询从索引 1 开始的区间),我们通常让 d p [ 0 ] = 0 dp[0] = 0 dp[0]=0。

对应代码:
//2.预处理一个前缀和数组
vector<long long> dp(n+1,0);
for(int i = 1; i <= n; i++)
{// dp[i] 等于 前 i-1 项的和 (dp[i-1]) 加上当前第 i 项 (arr[i])dp[i] = dp[i - 1] + arr[i];
}
3. 如何使用前缀和数组 (查询)
如果我们想求原数组 v 中从索引 l l l 到 r r r 的区间和,即 a r r [ l ] + a r r [ l + 1 ] + . . . + a r r [ r ] arr[l] + arr[l+1] + ... + arr[r] arr[l]+arr[l+1]+...+arr[r]。
我们可以用 “前 r r r 项的和” 减去 “前 l − 1 l-1 l−1 项的和” 来得到:
( a r r [ 1 ] + . . . + a r r [ r ] ) − ( a r r [ 1 ] + . . . + a r r [ l − 1 ] ) = d p [ r ] − d p [ l − 1 ] (arr[1] + ... + arr[r]) - (arr[1] + ... + arr[l-1]) = dp[r] - dp[l-1] (arr[1]+...+arr[r])−(arr[1]+...+arr[l−1])=dp[r]−dp[l−1]
对应代码:
//3.使用前缀和数组
int l = 0,r = 0;
while(m--)
{cin>>l>>r;// 查询 l 到 r 的区间和cout<<dp[r] - dp[l - 1]<<endl;
}
复杂度:
- 预处理: O ( n ) O(n) O(n)
- 每次查询: O ( 1 ) O(1) O(1)
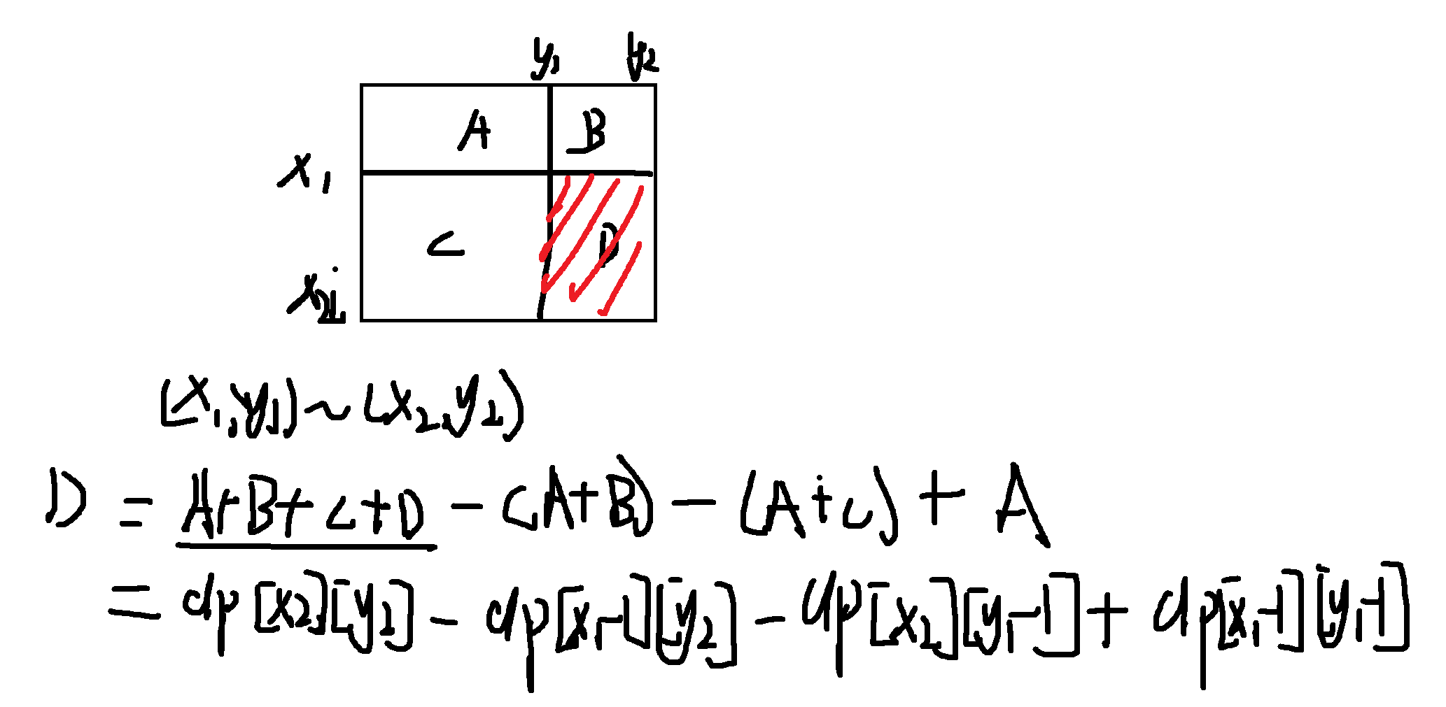
二、二维前缀和
第二个代码解决的是“二维矩阵子矩阵和”问题。
1. 核心思想
我们将一维前缀和扩展到二维。我们定义一个“二维前缀和数组” dp。
d p [ i ] [ j ] dp[i][j] dp[i][j] 存储的是原矩阵 arr 中,以 ( 1 , 1 ) (1, 1) (1,1) 为左上角、 ( i , j ) (i, j) (i,j) 为右下角的子矩阵中所有元素的总和。
2. 如何构建前缀和数组 (预处理)
我们使用“容斥原理”来计算 d p [ i ] [ j ] dp[i][j] dp[i][j]。
d p [ i ] [ j ] dp[i][j] dp[i][j] 的值 = 区域A (dp[i-1][j]) + 区域B (dp[i][j-1]) - 重复区域C (dp[i-1][j-1]) + 当前元素值 (arr[i][j])

递推公式为:
d p [ i ] [ j ] = d p [ i − 1 ] [ j ] + d p [ i ] [ j − 1 ] − d p [ i − 1 ] [ j − 1 ] + a r r [ i ] [ j ] dp[i][j] = dp[i-1][j] + dp[i][j-1] - dp[i-1][j-1] + arr[i][j] dp[i][j]=dp[i−1][j]+dp[i][j−1]−dp[i−1][j−1]+arr[i][j]
对应代码:
//预处理一个前缀和数组
vector<vector<long long>> dp(n+1,vector<long long>(m+1));
for(int i = 1; i <= n; i++)
{for(int j = 1; j <= m; j++){// 容斥原理计算dp[i][j] = dp[i][j-1] + dp[i-1][j] + arr[i][j] - dp[i-1][j-1];}
}
3. 如何使用前缀和数组 (查询)
如果我们想求以 ( x 1 , y 1 ) (x1, y1) (x1,y1) 为左上角、 ( x 2 , y 2 ) (x2, y2) (x2,y2) 为右下角的子矩阵的和。
我们同样使用容斥原理:
目标和 = 区域A (dp[x2][y2]) - 区域B (dp[x1-1][y2]) - 区域C (dp[x2][y1-1]) + 区域D (dp[x1-1][y1-1])
查询公式为:
S u m ( x 1 , y 1 , x 2 , y 2 ) = d p [ x 2 ] [ y 2 ] − d p [ x 1 − 1 ] [ y 2 ] − d p [ x 2 ] [ y 1 − 1 ] + d p [ x 1 − 1 ] [ y 1 − 1 ] Sum(x1, y1, x2, y2) = dp[x2][y2] - dp[x1-1][y2] - dp[x2][y1-1] + dp[x1-1][y1-1] Sum(x1,y1,x2,y2)=dp[x2][y2]−dp[x1−1][y2]−dp[x2][y1−1]+dp[x1−1][y1−1]

对应代码:
//3.使用前缀和数组
while(q--)
{int x1,x2,y1,y2;cin>>x1>>y1>>x2>>y2;// 容斥原理查询子矩阵和cout<<dp[x2][y2] - dp[x1-1][y2] - dp[x2][y1-1] + dp[x1-1][y1-1]<<endl;
}
复杂度:
- 预处理: O ( n × m ) O(n \times m) O(n×m)
- 每次查询: O ( 1 ) O(1) O(1)
这是另一个巧妙运用“前缀和”思想的例子,用于解决“寻找数组的中心下标” (Pivot Index) 问题。
寻找数组的中心下标(前缀和 + 后缀和)
1. 问题定义
“中心下标” (Pivot Index) 是指这样一个索引:该索引左侧所有元素(不包括该索引自身)的总和,等于该索引右侧所有元素(不包括该索引自身)的总和。
如果数组存在多个中心下标,则返回最左边的那一个。如果不存在,则返回 -1。
2. 核心思想
最直观的暴力解法是:遍历数组中的每一个索引 i,然后对 i 的左侧和右侧分别求和,比较它们是否相等。这种方法的时间复杂度是 O ( n 2 ) O(n^2) O(n2),效率较低。
你的代码采用了更高效的 “前缀和 + 后缀和” 策略,将时间复杂度优化到了 O ( n ) O(n) O(n)。
- 前缀和 (Prefix Sum):
f[i]存储索引i左侧所有元素的总和。 - 后缀和 (Suffix Sum):
g[i]存储索引i右侧所有元素的总和。
如果我们在某处发现 f[i] == g[i],那么 i 就是我们寻找的中心下标。
3. 算法分解
步骤一:定义前缀和数组 f
f[i]被定义为nums[0] + ... + nums[i-1]的和。- 边界情况:
f[0] = 0。因为索引 0 的左侧没有任何元素,所以和为 0。 - 递推公式:
f[i] = f[i-1] + nums[i-1]。第i个索引的左侧和 = (第i-1个索引的左侧和) + (元素nums[i-1])。
对应代码 (预处理前缀和):
vector<int> f(n);//前缀和数组
f[0] = 0;
for(int i = 1; i < n; i++)
{f[i] = f[i - 1] + nums[i - 1];
}
步骤二:定义后缀和数组 g
g[j]被定义为nums[j+1] + ... + nums[n-1]的和。- 边界情况:
g[n-1] = 0。因为最后一个元素 (索引n-1) 的右侧没有任何元素,所以和为 0。 - 递推公式:
g[j] = g[j+1] + nums[j+1]。第j个索引的右侧和 = (第j+1个索引的右侧和) + (元素nums[j+1])。- 注意:这个循环是反向遍历的。
对应代码 (预处理后缀和):
vector<int> g(n);//后缀和数组
g[n-1] = 0;
for(int j = n - 2; j >= 0; j--)
{g[j] = g[j + 1] + nums[j + 1];
}

步骤三:查找中心下标
经过前两步的预处理,我们现在有了所有索引的左侧和 (存储在 f) 与右侧和 (存储在 g)。
我们只需要遍历一次数组,比较 f[i] 和 g[i] 是否相等即可。
对应代码 (使用前缀和与后缀和):
for(int i = 0; i < n; i++)if(f[i] == g[i])return i; // 找到,立即返回return -1; // 循环结束都没找到
4. 复杂度分析
- 时间复杂度: O ( n ) O(n) O(n)。
- 计算前缀和 f f f 需要 O ( n ) O(n) O(n)。
- 计算后缀和 g g g 需要 O ( n ) O(n) O(n)。
- 遍历比较 f f f 和 g g g 需要 O ( n ) O(n) O(n)。
- 总共是 O ( n ) + O ( n ) + O ( n ) = O ( n ) O(n) + O(n) + O(n) = O(n) O(n)+O(n)+O(n)=O(n)。
- 空间复杂度: O ( n ) O(n) O(n)。
- 需要 O ( n ) O(n) O(n) 的空间存储前缀和数组
f。 - 需要 O ( n ) O(n) O(n) 的空间存储后缀和数组
g。
- 需要 O ( n ) O(n) O(n) 的空间存储前缀和数组
优化: O ( 1 ) O(1) O(1) 空间复杂度解法
这个解法还可以进一步优化,只使用 O ( 1 ) O(1) O(1) 的额外空间。
- 计算整个数组的总和
totalSum。 - 遍历数组,维护一个
leftSum变量,初始为 0。 - 在索引
i处:- 此时
leftSum存储的是i左侧元素的和。 i右侧元素的和rightSum可以通过totalSum - leftSum - nums[i]动态计算出来。- 比较
leftSum == rightSum:- 如果相等,
i就是中心下标,返回i。
- 如果相等,
- 更新
leftSum:leftSum = leftSum + nums[i](为下一次循环做准备)。
- 此时
- 如果遍历结束仍未找到,返回 -1。
这种方法只用到了 totalSum 和 leftSum 两个额外变量,空间复杂度为 O ( 1 ) O(1) O(1)。
int pivotIndex(vector<int>& nums) {int n = nums.size();int totalSum = 0;for(auto e : nums){totalSum += e;}int leftSum = 0;for(int i = 0; i < n; i++){int rightSum = totalSum - leftSum - nums[i];if(leftSum == rightSum)return i;leftSum = leftSum + nums[i];}return -1;}
这道题是 “除自身以外数组的乘积” (Product of Array Except Self),你的解法非常巧妙,是这道题的标准解法之一,利用了 “前缀积” 和 “后缀积” 的思想。
除自身以外数组的乘积 (前缀积 + 后缀积)
1. 核心思想
题目的要求是 answer[i] 等于 nums 数组中除了 nums[i] 之外所有元素的乘积。
我们可以把这个乘积拆分为两部分:
answer[i] = (i 左侧所有元素的乘积) * (i 右侧所有元素的乘积)
你的代码正是通过预处理,分别计算出这两部分的乘积。
2. 预处理 “前缀积数组” (f)
你的 f 数组 vector<int> f(n) 被用来存储 “左侧所有元素的乘积”。
f[i]的定义:nums[0] * nums[1] * ... * nums[i-1]。- 边界情况
f[0] = 1:f[0]存储nums[0]左侧所有元素的乘积。nums[0]左侧没有元素,空集的乘积在数学上定义为 1(乘法单位元)。 - 递推公式
f[i] = f[i-1] * nums[i-1]:f[i-1]存储了nums[0...i-2]的乘积。f[i](即nums[0...i-1]的乘积) 就等于f[i-1] * nums[i-1]。
// f[i] 存储 nums[i] 左侧所有元素的乘积
f[0] = 1;
for(int i = 1; i < n; i++)
{f[i] = f[i-1] * nums[i-1];
}
3. 预处理 “后缀积数组” (g)
你的 g 数组 vector<int> g(n) 被用来存储 “右侧所有元素的乘积”。
g[i]的定义:nums[i+1] * nums[i+2] * ... * nums[n-1]。- 边界情况
g[n-1] = 1:g[n-1]存储nums[n-1]右侧所有元素的乘积。右侧没有元素,乘积为 1。 - 递推公式
g[i] = g[i+1] * nums[i+1]:g[i+1]存储了nums[i+2...n-1]的乘积。g[i](即nums[i+1...n-1]的乘积) 就等于g[i+1] * nums[i+1]。- (注意:这个循环是反向遍历的)
// g[i] 存储 nums[i] 右侧所有元素的乘积
g[n-1] = 1;
for(int i = n-2; i >= 0; i--)
{g[i] = g[i+1] * nums[i+1];
}
4. 组合结果
最后一步,你遍历数组,将 “左侧乘积” 和 “右侧乘积” 相乘,就得到了最终答案。
// ret[i] = f[i] * g[i]
for(int i = 0; i < n; i++)
{// (nums[i]左侧的乘积) * (nums[i]右侧的乘积)ret.push_back(f[i]*g[i]);
}
5. 复杂度分析
- 时间复杂度: O ( n ) O(n) O(n)
- 第一次
for循环(计算f)是 O ( n ) O(n) O(n)。 - 第二次
for循环(计算g)是 O ( n ) O(n) O(n)。 - 第三次
for循环(计算ret)是 O ( n ) O(n) O(n)。 - 总共是 O ( n ) + O ( n ) + O ( n ) = O ( n ) O(n) + O(n) + O(n) = O(n) O(n)+O(n)+O(n)=O(n)。
- 第一次
- 空间复杂度: O ( n ) O(n) O(n)
- 你使用了
f,g,ret三个额外的数组,每个数组大小为 n n n。 - ( 注:这道题可以被优化到 O ( 1 ) O(1) O(1) 的空间复杂度(不包括返回的
ret数组),方法是复用ret数组来充当f的角色,并用一个变量来实时计算g)。
- 你使用了
这是 “和为 K 的子数组” (Subarray Sum Equals K) 问题的最优解法之一,它使用了 “前缀和 + 哈希表” 的思想,非常巧妙。
和为 K 的子数组 (前缀和 + 哈希表)
1. 问题定义
给定一个整数数组 nums 和一个整数 k,你需要找到该数组中和为 k 的连续子数组的个数。
2. 核心思想(暴力解法的瓶颈)
-
暴力解法:我们可以用两层
for循环,枚举所有的子数组nums[j...i],并计算它们的和,看是否等于k。时间复杂度为 O ( n 3 ) O(n^3) O(n3)(枚举 i , j i, j i,j 并求和)或 O ( n 2 ) O(n^2) O(n2)(枚举 i , j i, j i,j 并 O ( 1 ) O(1) O(1) 计算和)。当 n n n 很大时,会超时。 -
优化思路:我们想在 O ( n ) O(n) O(n) 时间内解决问题。
- 我们定义 前缀和
pre[i]为nums[0] + ... + nums[i]的和。 - 那么,任意一个子数组
nums[j...i]的和就可以在 O ( 1 ) O(1) O(1) 时间内算出:
Sum(j, i) = pre[i] - pre[j-1](其中 j ≤ i j \le i j≤i) - 我们的目标是寻找有多少个
(i, j)组合,使得pre[i] - pre[j-1] = k。 - 我们将这个等式变形:
pre[j-1] = pre[i] - k
- 我们定义 前缀和
j-1代表的是子数组 开始位置(j)的前一个位置。我们来详细拆解一下:
为什么我们需要
j-1?我们使用“前缀和数组”
pre来快速计算任意子数组nums[j...i]的和。
pre[i]的定义是:从开头(索引 0)一直加到索引 i 的总和。
pre[i] = nums[0] + nums[1] + ... + nums[i]
Sum(j, i)的定义是:我们想要的子数组的和。
Sum(j, i) = nums[j] + nums[j+1] + ... + nums[i]
用一个例子来看:
假设数组
nums = [A, B, C, D, E]索引:0 1 2 3 4前缀和 (pre) 数组会是:
pre[0] = Apre[1] = A + Bpre[2] = A + B + Cpre[3] = A + B + C + Dpre[4] = A + B + C + D + E
现在,假设我们想求子数组
[C, D]的和。
- 这个子数组的起始索引
j = 2(C的位置)。- 这个子数组的结束索引
i = 3(D的位置)。- 我们想要的和是
C + D。我们怎么用
pre数组来得到C + D呢?
步骤 1: 先取到结束位置
i的所有前缀和。
pre[i]=pre[3]=A + B + C + D步骤 2:
pre[3]包含了我们不想要的 “前缀”[A, B]。我们必须减掉它。
(A + B + C + D)-(A + B)=C + D(这就是我们想要的!)步骤 3: 关键来了!我们怎么表示
(A + B)呢?
(A + B)正好是pre[1]。
而1是什么?
我们的起始索引j是 2。1刚刚好就是j-1!
结论:
Sum(j, i) = pre[i] - pre[j-1]
pre[i]: 从开头到子数组结尾的总和。pre[j-1]:从开头到子数组开始前一个位置的总和。(这正是我们要减掉的“多余”部分)
3. 算法分解 (前缀和 + 哈希表)
这个变形后的等式是算法的关键:
pre[j-1] = pre[i] - k
- 含义:当我们在
i位置计算出当前的前缀和pre[i](即代码中的sum) 时,我们只需要回头看:“在i之前,有多少个j-1位置,其前缀和pre[j-1]恰好等于pre[i] - k?” - 哈希表的作用:哈希表
hash就用来存储之前出现过的所有前缀和以及它们各自出现的次数。hash[P] = count表示:前缀和P到目前为止已经出现过了count次。
代码逐行分析:
-
unordered_map<int,int> hash;key(int): 存储一个前缀和的值。value(int): 存储该前缀和出现过的次数。
-
int ret = 0; int sum = 0;ret: 最终的结果(和为 k 的子数组个数)。sum: 动态更新的当前前缀和,即pre[i]。
-
hash[0] = 1;(最关键的初始化)- 为什么? 这是为了处理那些从索引 0 开始的子数组。
- 举例:如果
nums[0...i]的和恰好等于k,即pre[i] = k。 - 那么在
i位置,代码会去查找hash[sum - k],也就是hash[k - k],即hash[0]。 - 如果我们不设置
hash[0] = 1,这个nums[0...i]子数组就会被漏掉。 hash[0] = 1的含义是:“前缀和为 0 (即空数组) 已经出现过 1 次了”。
-
for(auto x : nums)(遍历数组)-
sum += x;- 计算当前的前缀和
pre[i]。
- 计算当前的前缀和
-
if(hash.count(sum - k))- 检查
hash中是否存在pre[i] - k这个键。 - 这等同于检查是否存在我们需要的
pre[j-1]。
- 检查
-
ret += hash[sum - k];- 如果存在,说明找到了一个或多个满足条件的
pre[j-1]。 hash[sum - k]的值就是pre[j-1]出现的次数,也就是我们能以当前i位置为终点、组成和为k的子数组的个数。将这个次数累加到ret。
- 如果存在,说明找到了一个或多个满足条件的
-
hash[sum]++;- 非常重要:在检查完 之后,再将当前的前缀和
sum(即pre[i]) 存入哈希表(或将其计数加 1)。 - 这是为了给后续的
i(例如i+1, i+2...) 来查找pre[j-1]时使用。
- 非常重要:在检查完 之后,再将当前的前缀和
-
4. 复杂度分析
-
时间复杂度: O ( n ) O(n) O(n)
- 我们只遍历数组
nums一次。 unordered_map(哈希表) 的插入和查找操作的平均时间复杂度为 O ( 1 ) O(1) O(1)。
- 我们只遍历数组
-
空间复杂度: O ( n ) O(n) O(n)
- 在最坏的情况下,
n个前缀和都是不相同的,哈希表需要存储 n n n 个键值对。
这道题是 “和可被 K 整除的子数组” (Subarray Sums Divisible by K),你的代码是这道题的 O ( n ) O(n) O(n) 最优解。
- 在最坏的情况下,
int subarraySum(vector<int>& nums, int k) {unordered_map<int,int> hash;int ret = 0;int sum = 0;hash[0] = 1;for(auto x : nums){sum += x;if(hash.count(sum - k)) ret += hash[sum - k];hash[sum]++;}return ret;}
和可被 K 整除的子数组
1. 核心思想 (同余定理)
- 我们定义
pre[i]为nums[0] + ... + nums[i]的前缀和。 - 一个子数组
nums[j...i](其中 j ≤ i j \le i j≤i) 的和为Sum(j, i) = pre[i] - pre[j-1]。 - 我们的目标是找到
Sum(j, i)能被k整除的(i, j)组合。 - 用数学公式表示,就是
(pre[i] - pre[j-1]) % k == 0。
根据同余定理,(A - B) % k == 0 等价于 A % k == B % k。
- 因此,我们的目标从 “寻找和为 k k k 的子数组” (上一题) 转变为了:
“寻找pre[i]和pre[j-1],使得它们对 k k k 取余的结果相同。”
2. 算法分解 (前缀和 + 哈希表)
我们使用一个哈希表 hash 来存储前缀和的余数以及该余数出现的次数。
hash[R] = count意味着:到目前为止,余数为R的前缀和已经出现过了count次。
代码逐行分析:
-
unordered_map<int,int> hash;key(int): 存储pre[i] % k的余数R。value(int): 存储余数R已经出现过的次数。
-
int sum = 0; int ret = 0;sum: 动态更新的当前前缀和pre[i]。ret: 结果计数器。
-
hash[0] = 1;(关键初始化)- 与上一题
hash[0] = 1意义相同。 - 它表示 “余数为 0 的前缀和” 已经出现过 1 次了(即
pre[-1],代表空数组)。 - 这是为了正确统计那些从索引 0 开始并且其和本身就能被
k整除的子数组(例如pre[i] % k == 0)。
- 与上一题
-
for(auto x : nums)(遍历数组)-
sum += x;- 计算当前的前缀和
pre[i]。
- 计算当前的前缀和
-
int R = (sum % k + k) % k;(处理负数余数)- 这是本题的第二个关键点。
- 在 C++ 中,负数的模运算
%可能会得到负余数 (例如-1 % 5 == -1)。 - 我们希望余数始终在
[0, k-1]的范围内。 sum % k:可能为负 (例如 -1)。sum % k + k:保证结果非负 (例如-1 + 5 = 4)。(sum % k + k) % k:将结果拉回到[0, k-1]范围内 (例如(4 % 5 + 5) % 5 = 4;(5 % 5 + 5) % 5 = 0)。R就是pre[i]对k取模的 “数学余数”。
-
if(hash.count(R))和ret += hash[R];- 我们检查哈希表中是否已经存在这个余数
R。 - 如果存在,
hash[R]的值代表在i之前,有hash[R]个pre[j-1]也具有相同的余数R。 - 根据同余定理,每一个这样的
pre[j-1]都能与当前的pre[i]组合,形成一个和能被k整除的子数组nums[j...i]。 - 因此,我们将
hash[R]累加到ret中。
- 我们检查哈希表中是否已经存在这个余数
-
hash[R]++;- 在检查完 之后,我们将当前这个余数
R的出现次数加 1。 - 这是为了给后续的
pre[i](例如i+1, i+2...) 提供pre[j-1]的查找数据。
- 在检查完 之后,我们将当前这个余数
-
问得非常好!你已经抓住了 “前缀和” 思想的精髓。
在 subarraySum (和为 K) 问题中,我们是这样 “去掉” 前缀和的:
pre[i] - pre[j-1] = k
我们用减法来找到 k。
在
subarraysDivByK(被 K 整除) 问题中,我们 “去掉” 前缀和的方式非常不一样。我们不是在找一个固定的k,而是在找一个能被 k 整除的数。我们来看看
pre[i] - pre[j-1]到底是什么。假设
k = 5。
pre[i](当前的总和) =17
17除以 5,等于 3 … 余 2。- 我们可以把
17看作:(3 * 5) + 2
pre[j-1](你想“去掉”的前缀) =7
7除以 5,等于 1 … 余 2。- 我们可以把
7看作:(1 * 5) + 2现在,我们把它们减掉 (即 “去掉” 不想要的
pre[j-1]):pre[i] - pre[j-1] = 17 - 7 = 1010可以被 5 整除!我们找到了一个答案。我们再看看用 “余数” 的方式来减:
pre[i] - pre[j-1] = ( (3 * 5) + 2 ) - ( (1 * 5) + 2 )= (3 * 5) - (1 * 5) + (2 - 2)= (3 - 1) * 5 + 0= 2 * 5你发现了吗?
当我们把两个余数相同的数相减时,它们的余数部分
(2 - 2)相互抵消了,只剩下了 k 的倍数部分 (`(3 - 1)
- 5`)。
结论:
在这道题里,“去掉”
pre[j-1]的方法,就是去寻找一个pre[j-1],它除以k的余数和pre[i]
除以k的余数是完全相同的。
pre[i]= (某个k的倍数) + 余数Rpre[j-1]= (某个k的倍数) + 余数R (相同的余数)当你用
pre[i]减去pre[j-1]时:pre[i] - pre[j-1]= (k的倍数A -k
的倍数B ) + ( 余数R - 余数R )= (k 的倍数C) + 0= k 的倍数C所以,
pre[i] - pre[j-1]一定能被k整除!
我的代码是如何做到“去掉”的:
if(hash.count((sum%k+k)%k))ret += hash[(sum%k+k)%k];
hash[(sum%k+k)%k]++;
R = (sum%k+k)%k:你计算出当前pre[i]的余数R。ret += hash[R]:你是在说:“快去哈希表里帮我查一查,以前有多少个pre[j-1]也留下了这个余数R?”- 哈希表告诉你:“有
count个 (hash[R]的值)!”ret += count:你就知道,当前的pre[i]可以和这count个pre[j-1]分别配对,形成count个和能被 k 整除的子数组。hash[R]++:最后,你把你自己 (当前的pre[i]和它的余数R) 也登记到哈希表里,告诉它:“余数R的大家庭又多了一个成员!”,这样以后的pre[x]就可以来找你了。*一句话总结:在这道题里,“寻找相同余数”就等价于“去掉不想要的前缀和”。
3. 复杂度分析
- 时间复杂度: O ( n ) O(n) O(n)
- 我们只遍历数组
nums一次。 unordered_map(哈希表) 的插入和查找操作的平均时间复杂度为 O ( 1 ) O(1) O(1)。
- 我们只遍历数组
- 空间复杂度: O ( k ) O(k) O(k)
- 哈希表中最多只会存储
k个键(余数 0 到 k-1)。这优于上一题的 O ( n ) O(n) O(n) 空间复杂度。
- 哈希表中最多只会存储
int subarraysDivByK(vector<int>& nums, int k) {unordered_map<int,int> hash;int sum = 0;int ret = 0;hash[0] = 1;for(auto x : nums){sum += x;//当前前缀和数组if(hash.count((sum%k+k)%k))ret += hash[(sum%k+k)%k];hash[(sum%k+k)%k]++;}return ret; }
连续数组
1. 核心思想:问题转换
- 问题:找到一个最长的子数组,其中 0 和 1 的个数相等。
- 转换:如果我们把
0视作-1,1视作+1。[0, 1, 0, 1]就变成了[-1, 1, -1, 1]。- “0 和 1 个数相等” 的子数组,就变成了 “和为 0” 的子数组。
- 新问题:找到一个最长的、和为 0 的子数组。
2. 算法:前缀和 + 哈希表 (求最大长度)
这个问题和 “和为 K 的子数组” ( subarraySum ) 非常相似,但有两个关键区别:
- 目标
k固定为 0。 - 我们求的是最大长度,而不是个数。
我们用 sum 表示 “前缀和” ( pre[i] )。
如果 pre[i] - pre[j-1] = 0,则 pre[i] == pre[j-1]。
-
哈希表
hash的作用:key(int): 出现过的前缀和sum。value(int): 该前缀和第一次出现的索引i。
-
目标:当我们在
i位置计算出sum时,我们回头看:“这个sum以前出现过吗?”- 如果它在
j位置出现过 (hash[sum] = j), - 这意味着
pre[i] == pre[j]。 - 根据前缀和原理,
nums[j+1 ... i]这个子数组的和一定是 0。 - 这个子数组的长度就是
i - j。
- 如果它在
3. 代码逐行分析
sum += nums[i] == 0 ? -1 : 1;
这就是核心的 “问题转换”。在遍历时,遇到 0 就减 1,遇到 1 就加 1。
hash[0] = -1;(最关键的初始化)
- 为什么是 -1?
- 这和
subarraySum里的hash[0] = 1是一个道理,都是为了处理从索引 0 开始的子数组。
- 这和
- 举例:
nums = [0, 1],转换后是[-1, 1]。i = 0:sum = -1。hash[-1] = 0。i = 1:sum = 0。- 此时,代码会查找
hash[0]。 - 我们希望计算长度
i - j。这里的i是 1,而j应该是 “虚拟” 的开始位置-1。 - 长度
i - hash[0]=1 - (-1)=2。
- 含义:
hash[0] = -1意思是:“前缀和为 0 的情况”在索引 -1 (即数组开始前) 就已经出现过了。
if(hash.count(sum))(找到匹配)
- 含义:如果为
true,说明当前的sum在过去已经出现过了。 - 假设
hash[sum]存的是j,j是第一次出现这个sum时的索引。 pre[i](当前) ==pre[j](过去)。- 这说明
nums[j+1 ... i]这个子数组的和为 0。 ret = max(ret, i - hash[sum]);i - hash[sum]就是子数组[j+1 ... i]的长度。- 我们用
max来保留我们找到过的最大长度。
else { hash[sum] = i; } (存储首次出现)
- 为什么要有
else?- 因为我们要求的是最大长度。
i - j要最大,i肯定是越大越好 (即当前索引),而j(hash[sum]) 必须是越小越好。- 所以,我们只在哈希表中存储第一次 (最左边) 遇到这个
sum时的索引i。如果后面又遇到了这个sum,我们不再更新hash[sum]的值,而是用那个旧的、最小的j来计算长度。
4. 复杂度分析
- 时间复杂度: O ( n ) O(n) O(n)
- 我们只遍历数组
nums一次。 unordered_map(哈希表) 的插入和查找操作的平均时间复杂度为 O ( 1 ) O(1) O(1)。
- 我们只遍历数组
- 空间复杂度: O ( n ) O(n) O(n)
- 在最坏的情况下,
n个前缀和都是不相同的,哈希表需要存储 n n n 个键值对。
- 在最坏的情况下,
int findMaxLength(vector<int>& nums) {unordered_map<int,int> hash;int sum = 0;int ret = 0;hash[0] = -1;for(int i = 0; i < nums.size(); i++){sum += nums[i] == 0 ? -1 : 1;//if(hash.count(sum)){ret = max(ret,i - hash[sum]);}else{hash[sum] = i;} }return ret; }
矩阵区域和 (二维前缀和)
1. 核心思想 💡
- 问题:要求
answer[i][j]是mat[i][j]周围k范围内所有元素的总和。 - 暴力解法:对
answer矩阵中的每一个(i, j),都遍历一遍(2k+1) x (2k+1)的方块并求和。这会非常慢,时间复杂度高达 O ( m × n × k 2 ) O(m \times n \times k^2) O(m×n×k2)。 - 优化解法:使用二维前缀和。
- 预处理 (O(m*n)):创建一个
dp矩阵,dp[i][j]存储原矩阵mat中从(0, 0)到(i-1, j-1)的矩形区域内所有元素的总和。 - 查询 (O(1)):利用
dp矩阵,可以在 O ( 1 ) O(1) O(1) 的时间内查询mat中任意一个矩形区域的和。
- 预处理 (O(m*n)):创建一个
2. 算法分解
你的代码完美地执行了这两个步骤。
步骤一:预处理 (构建 dp 数组)
dp 数组的大小是 (m+1) x (n+1),这是一种常见的技巧,通过增加一行一列 “哨兵”(全为0),来简化边界条件的处理。
dp[i][j] 存储的是 mat 数组中,以 mat[0][0] 为左上角,mat[i-1][j-1] 为右下角的矩形和。
// 预处理二维前缀和
for(int i = 1;i <= m; i++)
{for(int j = 1; j <= n; j++){// 核心公式(容斥原理)dp[i][j] = dp[i-1][j] + dp[i][j - 1] + mat[i - 1][j - 1] - dp[i-1][j-1];}
}
- 公式解释:
dp[i-1][j]:上方的矩形区域和。dp[i][j-1]:左方的矩形区域和。mat[i-1][j-1]:当前(i, j)对应的原矩阵mat中的值。dp[i-1][j-1]:左上方的矩形区域和。- 由于 “上方” 和 “左方” 都包含了 “左上方” 区域,所以
dp[i-1][j-1]被加了两次,必须减去一次。
步骤二:查询 (计算 answer 数组)
这一步是遍历 answer 矩阵的每个 (i, j),计算它对应的 “方块和”。
1. 确定方块边界 (Bounding Box) 🎯
对 answer[i][j],我们需要的 mat 矩阵的范围是:
- 行:从
r1 = i-k到r2 = i+k - 列:从
c1 = j-k到c2 = j+k
但是,这些索引不能超出 mat 的边界 [0, m-1] 和 [0, n-1]。所以我们要 “裁剪” (clamp) 它们:
r1_clipped = max(0, i-k)c1_clipped = max(0, j-k)r2_clipped = min(m-1, i+k)c2_clipped = min(n-1, j+k)
2. 转换为 dp 数组的 1-based 索引 🔢
我们的 dp 数组是 1-based 索引(dp[1][1] 对应 mat[0][0])。要查询 mat 中 (r, c) 对应的矩形,我们需要 dp 索引 (r+1, c+1)。
所以,我们需要的 dp 坐标是:
x1 = r1_clipped + 1=>max(0, i-k) + 1y1 = c1_clipped + 1=>max(0, j-k) + 1x2 = r2_clipped + 1=>min(m-1, i+k) + 1y2 = c2_clipped + 1=>min(n-1, j+k) + 1
这完全对应你代码中的x1, y1, x2, y2。
3. 使用前缀和公式查询 📊
现在我们有了方块的左上角 (x1, y1) 和右下角 (x2, y2)(在 dp 的 1-based 索引下),我们用 O ( 1 ) O(1) O(1) 的查询公式来获取这个方块的和:
// 核心查询公式(容斥原理)
answer[i][j] = dp[x2][y2] - dp[x1-1][y2] - dp[x2][y1-1] + dp[x1-1][y1-1];
- 公式解释:
dp[x2][y2]:从(0,0)到(x2, y2)的总和。- dp[x1-1][y2]:减去目标方块上方的矩形。- dp[x2][y1-1]:减去目标方块左侧的矩形。+ dp[x1-1][y1-1]:由于 “上方” 和 “左侧” 都减去了 “左上方” 的矩形,我们必须加回来一次。

3. 复杂度分析
- 时间复杂度: O ( m × n ) O(m \times n) O(m×n)
- 预处理
dp数组花了 O ( m × n ) O(m \times n) O(m×n)。 - 遍历
answer数组花了 O ( m × n ) O(m \times n) O(m×n),但每次查询都是 O ( 1 ) O(1) O(1)。 - 总共是 O ( m × n ) + O ( m × n ) = O ( m × n ) O(m \times n) + O(m \times n) = O(m \times n) O(m×n)+O(m×n)=O(m×n)。
- 预处理
- 空间复杂度: O ( m × n ) O(m \times n) O(m×n)
- 需要 O ( m × n ) O(m \times n) O(m×n) 的空间来存储
dp数组。
- 需要 O ( m × n ) O(m \times n) O(m×n) 的空间来存储
vector<vector<int>> matrixBlockSum(vector<vector<int>>& mat, int k) {int m = mat.size();int n = mat[0].size();vector<vector<int>> dp(m+1,vector<int>(n+1));vector<vector<int>> answer(m,vector<int>(n));for(int i = 1;i <= m; i++){for(int j = 1; j <= n; j++){dp[i][j] = dp[i-1][j] + dp[i][j - 1] + mat[i - 1][j - 1] - dp[i-1][j-1];}}for(int i = 0; i < m; i++){for(int j = 0; j < n; j++){int x1 = max(0,i-k)+1,y1 = max(0,j-k)+1;int x2 = min(m-1,i+k)+1,y2 = min(n-1,j+k)+1;answer[i][j] = dp[x2][y2] - dp[x1-1][y2] - dp[x2][y1-1] + dp[x1-1][y1-1];}}return answer;}
