当前位置: 首页 > news >正文

Tanh 函数详解

Tanh 函数详解

1. 基本概念

Tanh 函数(双曲正切函数)是深度学习和神经网络中常用的激活函数之一。它是双曲函数家族中的一员,与传统的三角函数类似但定义在双曲几何中。

2. 数学定义

2.1 基本公式

Tanh 函数的定义基于指数函数:

tanh⁡(x)=sinh⁡(x)cosh⁡(x)=ex−e−xex+e−x \tanh(x) = \frac{\sinh(x)}{\cosh(x)} = \frac{e^x - e^{-x}}{e^x + e^{-x}} tanh(x)=cosh(x)sinh(x)=ex+exexex

也可以表示为:

tanh⁡(x)=e2x−1e2x+1=1−2e2x+1 \tanh(x) = \frac{e^{2x} - 1}{e^{2x} + 1} = 1 - \frac{2}{e^{2x} + 1} tanh(x)=e2x+1e2x1=1e2x+12

2.2 导数公式

Tanh 函数的导数为:

ddxtanh⁡(x)=1−tanh⁡2(x) \frac{d}{dx}\tanh(x) = 1 - \tanh^2(x) dxdtanh(x)=1tanh2(x)

证明过程:
ddxtanh⁡(x)=ddx(ex−e−xex+e−x)=(ex+e−x)2−(ex−e−x)2(ex+e−x)2=1−(ex−e−xex+e−x)2=1−tanh⁡2(x) \frac{d}{dx}\tanh(x) = \frac{d}{dx}\left(\frac{e^x - e^{-x}}{e^x + e^{-x}}\right) = \frac{(e^x + e^{-x})^2 - (e^x - e^{-x})^2}{(e^x + e^{-x})^2} = 1 - \left(\frac{e^x - e^{-x}}{e^x + e^{-x}}\right)^2 = 1 - \tanh^2(x) dxdtanh(x)=dxd(ex+exexex)=(ex+ex)2(ex+ex)2(exex)2=1(ex+exexex)2=1tanh2(x)

3. 特性分析

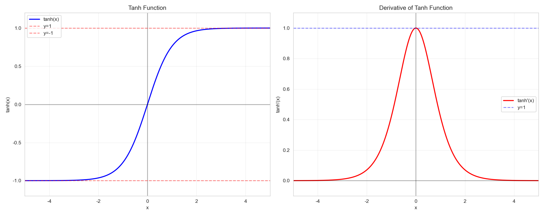
3.1 函数特性

  • 值域:(-1, 1)
  • 定义域:(-∞, +∞)
  • 奇函数:tanh(-x) = -tanh(x)
  • 在原点:tanh(0) = 0
  • 渐近线:当 x → +∞ 时,tanh(x) → 1;当 x → -∞ 时,tanh(x) → -1

3.2 与 Sigmoid 函数的关系

tanh⁡(x)=2σ(2x)−1 \tanh(x) = 2\sigma(2x) - 1 tanh(x)=2σ(2x)1
其中 σ(x) 是 Sigmoid 函数:σ(x) = 1/(1+e^{-x})

4. Python 实现与可视化

在这里插入图片描述
在这里插入图片描述

import numpy as np
import matplotlib.pyplot as plt
import seaborn as sns# 设置中文字体和样式
plt.rcParams['font.sans-serif'] = ['SimHei']
plt.rcParams['axes.unicode_minus'] = False
sns.set_style("whitegrid")def tanh(x):"""Tanh 函数实现"""return np.tanh(x)def tanh_derivative(x):"""Tanh 函数导数实现"""return 1 - np.tanh(x)**2# 创建数据点
x = np.linspace(-5, 5, 1000)
y_tanh = tanh(x)
y_derivative = tanh_derivative(x)# 创建图形
fig, (ax1, ax2) = plt.subplots(1, 2, figsize=(15, 6))# 绘制 Tanh 函数
ax1.plot(x, y_tanh, 'b-', linewidth=2, label='tanh(x)')
ax1.axhline(y=0, color='k', linestyle='-', alpha=0.3)
ax1.axvline(x=0, color='k', linestyle='-', alpha=0.3)
ax1.axhline(y=1, color='r', linestyle='--', alpha=0.5, label='y=1')
ax1.axhline(y=-1, color='r', linestyle='--', alpha=0.5, label='y=-1')
ax1.set_xlabel('x')
ax1.set_ylabel('tanh(x)')
ax1.set_title('Tanh 函数')
ax1.legend()
ax1.grid(True, alpha=0.3)
ax1.set_xlim(-5, 5)
ax1.set_ylim(-1.2, 1.2)# 绘制 Tanh 导数
ax2.plot(x, y_derivative, 'r-', linewidth=2, label="tanh'(x)")
ax2.axhline(y=0, color='k', linestyle='-', alpha=0.3)
ax2.axvline(x=0, color='k', linestyle='-', alpha=0.3)
ax2.axhline(y=1, color='b', linestyle='--', alpha=0.5, label='y=1')
ax2.set_xlabel('x')
ax2.set_ylabel("tanh'(x)")
ax2.set_title('Tanh 函数导数')
ax2.legend()
ax2.grid(True, alpha=0.3)
ax2.set_xlim(-5, 5)
ax2.set_ylim(-0.1, 1.1)plt.tight_layout()
plt.show()# 绘制对比图
plt.figure(figsize=(12, 8))plt.subplot(2, 2, 1)
plt.plot(x, y_tanh, 'b-', linewidth=2, label='tanh(x)')
plt.plot(x, y_derivative, 'r-', linewidth=2, label="tanh'(x)")
plt.axhline(y=0, color='k', linestyle='-', alpha=0.3)
plt.axvline(x=0, color='k', linestyle='-', alpha=0.3)
plt.title('Tanh 函数及其导数')
plt.legend()
plt.grid(True, alpha=0.3)plt.subplot(2, 2, 2)
# 与 Sigmoid 对比
sigmoid = 1 / (1 + np.exp(-x))
sigmoid_scaled = 2 * sigmoid - 1
plt.plot(x, y_tanh, 'b-', linewidth=2, label='tanh(x)')
plt.plot(x, sigmoid, 'g-', linewidth=2, label='sigmoid(x)')
plt.plot(x, sigmoid_scaled, 'r--', linewidth=2, label='2*sigmoid(2x)-1')
plt.axhline(y=0, color='k', linestyle='-', alpha=0.3)
plt.axvline(x=0, color='k', linestyle='-', alpha=0.3)
plt.title('Tanh 与 Sigmoid 对比')
plt.legend()
plt.grid(True, alpha=0.3)plt.subplot(2, 2, 3)
# 梯度消失问题演示
x_detailed = np.linspace(-10, 10, 1000)
y_tanh_detailed = tanh(x_detailed)
y_derivative_detailed = tanh_derivative(x_detailed)
plt.plot(x_detailed, y_derivative_detailed, 'r-', linewidth=2)
plt.axhline(y=0, color='k', linestyle='-', alpha=0.3)
plt.axvline(x=0, color='k', linestyle='-', alpha=0.3)
plt.title('Tanh 导数(梯度消失问题)')
plt.xlabel('x')
plt.ylabel("tanh'(x)")
plt.grid(True, alpha=0.3)plt.subplot(2, 2, 4)
# 3D 可视化准备
X, Y = np.meshgrid(np.linspace(-2, 2, 30), np.linspace(-2, 2, 30))
Z = tanh(X + Y)
from mpl_toolkits.mplot3d import Axes3D
ax = plt.subplot(2, 2, 4, projection='3d')
ax.plot_surface(X, Y, Z, cmap='viridis', alpha=0.8)
ax.set_title('tanh(x+y) 3D 可视化')
ax.set_xlabel('x')
ax.set_ylabel('y')
ax.set_zlabel('tanh(x+y)')plt.tight_layout()
plt.show()

5. 在深度学习中的应用

5.1 优点

  1. 零中心化:输出以 0 为中心,有助于优化过程
  2. 平滑梯度:导数连续且平滑
  3. 有界输出:输出在 (-1, 1) 范围内,防止梯度爆炸

5.2 缺点

  1. 梯度消失:当 |x| 较大时,梯度接近 0
  2. 计算复杂度:涉及指数运算,计算成本较高

5.3 使用示例

import torch
import torch.nn as nn# 在 PyTorch 中使用 Tanh
class SimpleNN(nn.Module):def __init__(self):super(SimpleNN, self).__init__()self.fc1 = nn.Linear(10, 50)self.activation = nn.Tanh()self.fc2 = nn.Linear(50, 1)def forward(self, x):x = self.activation(self.fc1(x))x = self.fc2(x)return x# 在 NumPy 中手动实现
def tanh_manual(x):"""手动实现的 Tanh 函数"""return (np.exp(x) - np.exp(-x)) / (np.exp(x) + np.exp(-x))def tanh_derivative_manual(x):"""手动实现的 Tanh 导数"""tanh_x = tanh_manual(x)return 1 - tanh_x**2

6. 总结

Tanh 函数作为经典的激活函数,在深度学习发展初期被广泛使用。虽然现在 ReLU 及其变体更为流行,但 Tanh 在某些特定场景下仍有其价值,特别是在需要输出在 (-1, 1) 范围内的网络中。理解 Tanh 函数的数学特性和行为对于深入理解神经网络的工作原理非常重要。

http://www.dtcms.com/a/515599.html

相关文章:

  • 【手机篇】AI深度学习在手机中框/RT四周外观检测应用方案
  • 遂宁网站优化东莞市住房和城乡建设局门户网站
  • 基于专家经验的网络异常流量检测技术研究
  • 生成模型实战 | MUNIT详解与实现
  • 网站建设的费用包括微信app下载找回微信
  • JAVA攻防-常规漏洞SQL注入四类型XXE引用点RCE原生框架URL跳转URL处理类
  • Disk Drill Enterprise Windows数据恢复工具
  • 合合信息亮相PRCV:多模态文本智能与内容安全双擎驱动新突破
  • PCIe协议之 Equalization篇 之 理论篇 之 DFE CTLE
  • 接单做一个网站多少钱网站后台修改图片
  • 操作系统4.3.1 文件系统的层次结构
  • 做2手物品通过网站去卖掉好做吗基于.net的个人网站开发实录
  • 三轴云台之线性控制特性
  • c++注意点(15)----状态模式
  • Delmia 软件 Teach 模块 interpolationMode 插补模式应用说明
  • Android Studio新手开发第二十八天
  • 系统与网络安全------弹性交换网络(4)
  • 功能网站首页模板微信小说分销平台
  • 网站建设管理规定php网站怎么建设
  • 【软考备考】物联网架构:感知层、网络层、平台层、应用层详解
  • LeetCode每日一题——二进制求和
  • 【LeetCode】长度最小的子数组
  • 从什么网站建网站好百度seo优化哪家好
  • 深度学习——基于 PyTorch 的蔬菜图像分类
  • 【设计模式】适配器模式(Adapter)
  • docker安装中间件
  • 系统架构设计师备考第48天——机器人边缘计算
  • 门头沟高端网站建设阿里云服务器win系统建站教程
  • ui设计培训机构哪个比较好cpu优化软件
  • 计算机运算中的上溢、下溢是什么?