当前位置: 首页 > news >正文

【Leetcode hot 100】70.爬楼梯

问题链接

70.爬楼梯

问题描述

假设你正在爬楼梯。需要 n 阶你才能到达楼顶。

每次你可以爬 1 或 2 个台阶。你有多少种不同的方法可以爬到楼顶呢?

示例 1:

输入:n = 2
输出:2
解释:有两种方法可以爬到楼顶。

  1. 1 阶 + 1 阶
  2. 2 阶

示例 2:

输入:n = 3
输出:3
解释:有三种方法可以爬到楼顶。

  1. 1 阶 + 1 阶 + 1 阶
  2. 1 阶 + 2 阶
  3. 2 阶 + 1 阶

提示:

  • 1 <= n <= 45

问题解答

一、基础动态规划解法

思路分析

  1. 定义 dp 数组含义:设 dp[i] 表示“爬到第 i 层楼梯的不同方法数”。
  2. 推导递推公式
    要爬到第 i 层,最后一步只有两种可能:
    • 从第 i-1 层再爬 1 个台阶(方法数 = dp[i-1]);
    • 从第 i-2 层再爬 2 个台阶(方法数 = dp[i-2])。
      因此,总方法数为两者之和:dp[i] = dp[i-1] + dp[i-2]
  3. 初始化 dp 数组
    • i=1 时,只有 1 种方法(直接爬 1 阶),故 dp[1] = 1
    • i=2 时,有 2 种方法(1+1 或 2),故 dp[2] = 2
  4. 遍历顺序:从 i=3 开始向前遍历(需先知道前两层的结果才能计算当前层)。

代码实现

class Solution {public int climbStairs(int n) {// 边界处理:n=1 或 n=2 时直接返回结果if (n <= 2) {return n;}// 定义 dp 数组,长度为 n+1(对应 0~n 层,0 层未使用)int[] dp = new int[n + 1];// 初始化前两层dp[1] = 1;dp[2] = 2;// 从第 3 层遍历到第 n 层for (int i = 3; i <= n; i++) {dp[i] = dp[i - 1] + dp[i - 2];}// 返回爬到第 n 层的方法数return dp[n];}
}

复杂度分析

  • 时间复杂度:O(n),仅需遍历 1 次(从 3 到 n)。
  • 空间复杂度:O(n),使用了长度为 n+1 的 dp 数组。

二、空间优化解法(最优效率)

思路分析
观察基础解法可知,计算 dp[i] 仅依赖前两个值(dp[i-1]dp[i-2]),无需存储整个 dp 数组。因此,可使用 两个变量 替代数组,将空间复杂度优化至 O(1)。

  • prevPrev 表示 dp[i-2](前两层的方法数);
  • prev 表示 dp[i-1](前一层的方法数);
  • 每次遍历计算当前层 curr = prev + prevPrev,再更新 prevPrevprev(滚动更新)。

代码实现

class Solution {public int climbStairs(int n) {// 边界处理:n=1 或 n=2 时直接返回结果if (n <= 2) {return n;}// 初始化:prevPrev = dp[1],prev = dp[2]int prevPrev = 1; // 爬到第 1 层的方法数int prev = 2;     // 爬到第 2 层的方法数int curr = 0;     // 存储当前层(i >=3)的方法数// 从第 3 层遍历到第 n 层for (int i = 3; i <= n; i++) {curr = prev + prevPrev;  // 当前层 = 前一层 + 前两层prevPrev = prev;         // 更新前两层(为下一次循环准备)prev = curr;             // 更新前一层(为下一次循环准备)}// 返回爬到第 n 层的方法数return curr;}
}

复杂度分析

  • 时间复杂度:O(n),遍历次数与基础解法一致。
  • 空间复杂度:O(1),仅使用 3 个变量(无额外数组)。

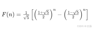
三、特殊补充:数学公式法

本题本质是斐波那契数列的变形(斐波那契数列通常定义为 F(0)=0, F(1)=1, F(2)=1,本题从 F(1)=1, F(2)=2 开始),可直接使用斐波那契数列的通项公式计算:
在这里插入图片描述

代码实现

class Solution {public int climbStairs(int n) {double sqrt5 = Math.sqrt(5);double fibN = Math.pow((1 + sqrt5) / 2, n + 1) - Math.pow((1 - sqrt5) / 2, n + 1);return (int) (fibN / sqrt5);}
}
  • 说明:该方法时间复杂度 O(1),但实际开发中较少使用(浮点数计算存在微小精度误差,且可读性差),面试中优先推荐动态规划解法。

总结

解法时间复杂度空间复杂度适用场景
基础动态规划O(n)O(n)初学者理解思路
空间优化版O(n)O(1)面试推荐(效率最优)
数学公式法O(1)O(1)理论研究(实际用得少)
http://www.dtcms.com/a/508116.html

相关文章:

  • 手机娱乐网站制作国内漂亮网站欣赏
  • 怎么做短链接网站诺诚软件开发
  • 【JUnit实战3_04】第二章:探索 JUnit 的核心功能(四)
  • 如何用ps做网站ui网站制作公司北京华网
  • 深入理解Lua闭包机制:从原理到mpv实战(深度!)
  • Flask【python】
  • day13_mvc 前后端分离
  • 网站定位方案威海信息网
  • 一个WEB端的API测试工具、API文档编写工具、定时任务调度工具
  • 电商秒杀系统设计 Java+MySQL实现高并发库存管理与订单处理
  • 中国建设银行笔试确认网站万网域名在中国电信网站备案系统
  • 个人网站 组建长沙旅游
  • 矩阵的奇异值分解(SVD)及其在计算机图形学中的应用
  • 青海旅游的网站建设公司网站可以免费建吗
  • 镇江网站建设zjmfkj厅网站建设中标公告
  • 高光谱成像用于草地可燃物含水率估测的研究进展
  • Product Hunt 每日热榜 | 2025-10-20
  • C++STL之unordered_map,unordered_set与哈希表
  • 电商税新规下的第三方支付云账户分账解决方案
  • 【Linux指南】冯诺依曼体系结构:现代计算机的基石
  • 建站之星怎么收费WordPress首页不收录
  • 酒店网站设计方案淘宝运营培训机构
  • sm2025 模拟赛24 (2025.10.20)
  • 【完整源码+数据集+部署教程】【后勤&运输集装箱】集装箱表面腐蚀检测系统源码&数据集全套:改进yolo11-swintransformer
  • 20.哈希
  • 公司网站表达的内容wordpress怎么上传高清图片大小
  • 慧聪网网站建设策略用腾讯云做淘宝客网站视频
  • XSS_and_Mysql_file靶场攻略
  • 引领交易革命:一站式去中心化交易所Swap开发一体化方案
  • 多样化的网站建设公司张雪峰谈工业设计专业