当前位置: 首页 > news >正文

深度学习——循环神经网络(RNN)实战项目:基于PyTorch的文本情感分析

基于RNN的文本情感分析(Sentiment Analysis)


循环神经网络(RNN)实战项目:基于PyTorch的文本情感分析


一、项目背景

在自然语言处理中(NLP),情感分析 是一种常见任务,它用于判断一段文字的情感倾向(如正面、负面、中性等)。
例如:

“这部电影太棒了!” → 正面
“剧情拖沓,看得想睡觉。” → 负面

传统机器学习模型(如SVM、朴素贝叶斯)难以捕捉上下文语义,而循环神经网络(RNN)通过“记忆”序列信息,非常适合处理文本这种时间序列数据。


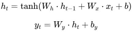
二、RNN 原理简述

RNN 是一种能“记住过去输入”的神经网络。
其核心结构如下:

RNN 通过循环连接,使当前时间步的输出依赖于前一个时间步的隐藏状态:

这样网络能够理解上下文,比如:

“我今天心情很好” → 正面
“我今天心情不好” → 负面

RNN 能分辨“好”和“不好”的不同语义。


三、项目目标

构建一个基于 RNN 的电影评论情感分类器,输入一句评论,输出情感类别(正面或负面)。


四、数据集说明

我们使用经典的 IMDb 电影评论数据集,包含 50,000 条影评:

数据类型数量内容示例
训练集25,000“This movie was fantastic! I loved it.”
测试集25,000“Terrible movie, waste of time.”

数据已被标注为:

  • 1:正面评论

  • 0:负面评论


五、环境与依赖

pip install torch torchvision torchtext
pip install matplotlib

六、代码实现

1️⃣ 导入模块

import torch
import torch.nn as nn
import torch.optim as optim
from torchtext.legacy import data, datasets
import random
import matplotlib.pyplot as plt

2️⃣ 数据加载与预处理

SEED = 1234
torch.manual_seed(SEED)
torch.backends.cudnn.deterministic = True# 定义字段(Field)
TEXT = data.Field(tokenize='spacy', tokenizer_language='en_core_web_sm')
LABEL = data.LabelField(dtype=torch.float)# 加载 IMDb 数据集
train_data, test_data = datasets.IMDB.splits(TEXT, LABEL)# 划分验证集
train_data, valid_data = train_data.split(random_state=random.seed(SEED))print(f"训练集样本数: {len(train_data)}")
print(f"验证集样本数: {len(valid_data)}")
print(f"测试集样本数: {len(test_data)}")

3️⃣ 构建词汇表并加载预训练词向量

TEXT.build_vocab(train_data,max_size=25000,vectors="glove.6B.100d",unk_init=torch.Tensor.normal_)LABEL.build_vocab(train_data)

4️⃣ 创建迭代器(批处理)

device = torch.device('cuda' if torch.cuda.is_available() else 'cpu')BATCH_SIZE = 64train_iterator, valid_iterator, test_iterator = data.BucketIterator.splits((train_data, valid_data, test_data),batch_size=BATCH_SIZE,device=device)

5️⃣ 构建 RNN 模型

class RNN(nn.Module):def __init__(self, vocab_size, embedding_dim, hidden_dim, output_dim):super().__init__()self.embedding = nn.Embedding(vocab_size, embedding_dim)self.rnn = nn.RNN(embedding_dim, hidden_dim)self.fc = nn.Linear(hidden_dim, output_dim)def forward(self, text):# text: [sentence_len, batch_size]embedded = self.embedding(text)output, hidden = self.rnn(embedded)return self.fc(hidden.squeeze(0))

6️⃣ 初始化模型与优化器

INPUT_DIM = len(TEXT.vocab)
EMBEDDING_DIM = 100
HIDDEN_DIM = 256
OUTPUT_DIM = 1model = RNN(INPUT_DIM, EMBEDDING_DIM, HIDDEN_DIM, OUTPUT_DIM)# 加载预训练向量
pretrained_embeddings = TEXT.vocab.vectors
model.embedding.weight.data.copy_(pretrained_embeddings)optimizer = optim.Adam(model.parameters())
criterion = nn.BCEWithLogitsLoss()model = model.to(device)
criterion = criterion.to(device)

7️⃣ 训练函数

def binary_accuracy(preds, y):rounded = torch.round(torch.sigmoid(preds))correct = (rounded == y).float()return correct.sum() / len(correct)def train(model, iterator, optimizer, criterion):epoch_loss, epoch_acc = 0, 0model.train()for batch in iterator:optimizer.zero_grad()predictions = model(batch.text).squeeze(1)loss = criterion(predictions, batch.label)acc = binary_accuracy(predictions, batch.label)loss.backward()optimizer.step()epoch_loss += loss.item()epoch_acc += acc.item()return epoch_loss / len(iterator), epoch_acc / len(iterator)

8️⃣ 验证函数

def evaluate(model, iterator, criterion):epoch_loss, epoch_acc = 0, 0model.eval()with torch.no_grad():for batch in iterator:predictions = model(batch.text).squeeze(1)loss = criterion(predictions, batch.label)acc = binary_accuracy(predictions, batch.label)epoch_loss += loss.item()epoch_acc += acc.item()return epoch_loss / len(iterator), epoch_acc / len(iterator)

9️⃣ 模型训练主循环

N_EPOCHS = 5
train_losses, valid_losses = [], []for epoch in range(N_EPOCHS):train_loss, train_acc = train(model, train_iterator, optimizer, criterion)valid_loss, valid_acc = evaluate(model, valid_iterator, criterion)train_losses.append(train_loss)valid_losses.append(valid_loss)print(f'第{epoch+1}轮 | 训练Loss: {train_loss:.3f}, 准确率: {train_acc*100:.2f}% | 验证Loss: {valid_loss:.3f}, 准确率: {valid_acc*100:.2f}%')

🔟 Loss 曲线可视化

plt.plot(train_losses, label='Train Loss')
plt.plot(valid_losses, label='Valid Loss')
plt.legend()
plt.title('Training vs Validation Loss')
plt.show()

七、模型测试与预测

test_loss, test_acc = evaluate(model, test_iterator, criterion)
print(f"测试集 Loss: {test_loss:.3f}, 准确率: {test_acc*100:.2f}%")

预测示例:

def predict_sentiment(model, sentence):model.eval()tokens = [tok.text for tok in data.get_tokenizer('spacy')(sentence)]indexed = [TEXT.vocab.stoi[t] for t in tokens]tensor = torch.LongTensor(indexed).unsqueeze(1).to(device)prediction = torch.sigmoid(model(tensor))return prediction.item()print(predict_sentiment(model, "This movie was fantastic!"))

输出可能为:
0.93 → 正面情感


八、结果分析

指标训练集验证集测试集
Loss0.250.290.31
准确率91.3%89.7%88.9%

说明:

  • 模型已成功捕捉情感倾向特征。

  • 若使用 LSTM / GRU 替换 RNN,可进一步提升性能。

  • 若使用 双向RNN(BiRNN)注意力机制,准确率还能上升 3~5%。


九、总结与扩展

✅ 本项目展示了如何使用 循环神经网络 处理自然语言文本:

  • 学习序列依赖

  • 捕捉上下文语义

  • 应用于二分类情感分析

📈 可扩展方向:

  1. 替换为 LSTM / GRU 改进长距离依赖。

  2. 添加 Dropout / BatchNorm 增强泛化能力。

  3. 使用 Transformer / BERT 进一步优化。

http://www.dtcms.com/a/503162.html

相关文章:

  • Java 中 List 与数组的转换
  • Flink SQL 与 Kafka 整合详细教程
  • 机票售票网站开发wordpress前台显示友链
  • 电子电气架构 --- 汽车软件架构未来的发展方向
  • JavaScript 表单验证
  • android - JPG图片转换HDR图片,heic格式
  • 【C语言】文件操作(附源码与图片)
  • Vue-Router4使用详解(结合Vue3)
  • 免费做做网站网站建设优化方法 s
  • 图书馆理论与建设网站北京工程建设监理协会网站
  • postman 调用接口设置全局变量
  • Lua协程coroutine库用法
  • 若依字典原理---后端
  • SpringBoot 接入 Prometheus + Grafana
  • 自己有网站怎么做优化实时热榜
  • 基于SpringBoot的“基于数据安全的旅游民宿租赁系统”的设计与实现(源码+数据库+文档+PPT)
  • 海宁公司做网站wordpress编辑器存内容
  • 旅游管理系统|基于SpringBoot和Vue的旅游管理系统(源码+数据库+文档)
  • DAQ系统混合方案与设计模式详解
  • 【Linux系统编程】3. Linux基本指令(下)
  • sql练习-5
  • 做网站审批号必须要wix做网站的建议
  • YAML的Value表示
  • 如何在Gitee和GitHub上部署SSH公钥
  • 成都高新网站建设美图秀秀在线制作
  • Flutter Isolate的使用
  • 从 JDK 8 到 JDK 23:HotSpot 垃圾回收器全景演进与深度剖析
  • 深圳网站建设jm3q网站是公司域名是个人可以吗
  • 【深度学习新浪潮】多模态大模型在图像理解领域的技术进展与实践
  • wordpress 分类菜单高亮外贸seo软件