当前位置: 首页 > news >正文

数据结构入门 (九):线索的“寻路”指引 —— 详解线索二叉树

目录

  • 一、引言:一次遍历引发的“血案”
  • 一、一个问题:孩子还是线索?
  • 二、线索二叉树的C语言实现
    • 1.头文件
    • 2.创建线索二叉树和树节点
    • 3.插入节点
    • 4.访问节点
    • 5.线索化二叉树
    • 6.遍历线索二叉树
    • 7.释放二叉树
    • 8.测试函数
  • 三、总结:空间换效率的经典之作

一、引言:一次遍历引发的“血案”

在上一篇文章中,我们掌握了二叉树的“行走”方式——遍历。通过中序遍历,我们可以得到一个 DBEAC 这样的有序序列。在这个序列中,我们能清晰地知道 D 的后继是 BA 的前驱是 E

但这一切,都是“马后炮”。

当遍历结束,我们回到树的原始结构中,站在节点 E 上,如果我们想再次找到它的前驱 B,唯一的办法就是——重新从根节点 A 开始,再完整地遍历一次!

这在需要频繁查找前驱和后继的场景下,简直是一场性能灾难。我们不禁要问:为什么我们不能在“行走”时,就沿途铺设一些“路标”或“导向绳”,让我们能方便地找到前路和后路呢?

就在我们为此苦恼时,我们又发现了另一个问题:在一棵有 n 个节点的二叉链表中,有 n - 1 条边,但总共有 2n 个指针域。这意味着,有 2n - ( n - 1) = n + 1 个指针域是 NULL,它们被白白地浪费掉了!
在这里插入图片描述
一个“性能的痛点”(找不到前驱后继),一个“空间的痛点”(n + 1个空指针)。此时,聪明的你想到了:我们何不利用这些被浪费的空指针,去解决那个性能痛点呢?

这就是线索二叉树的核心思想: 我们利用那些本应指向 NULL 的空指针域,让它们“变废为宝”,转而指向该节点在特定遍历序列(如中序)中的前驱和后继。

  • 指向前驱和后继的指针,称为线索
  • 利用线索重构的二叉链表,称为线索链表
  • 二叉链表相应的二叉树,称为线索二叉树

一、一个问题:孩子还是线索?

想法虽好,但仍然面临考验:我们如何知道某一个节点的 left 指针指向的是左孩子,还是指向前驱的线索?right指针指向右孩子还是指向后继?

为了解决这个“身份识别”的问题:我们必须为每个节点增加两个标志位:

  • lTag
    • 0:left 指针指向左孩子
    • 1:left 指针指向前驱线索
  • rTag
    • 0:right 指针指向右孩子
    • 1:right 指针指向后继线索

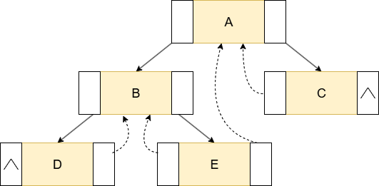
图2:线索化后的二叉树节点结构与示意图

图 节点结构与线索化示意图(中序:DBEAC)

二、线索二叉树的C语言实现

1.头文件

typedef int Element;
// 线索二叉树的节点结构
typedef struct treeNode
{Element data;struct treeNode *left;struct treeNode *right;int lTag;   // 0表示left指针指向NULL,1表示left指针指向前驱int rTag;   // 0表示right指针指向NULL,1表示right指针指向前驱
} BTNode;typedef struct
{BTNode *root;int count;
} ThreadedBTree;ThreadedBTree* createThreadedBTree(BTNode *root);
BTNode *createBTNode(Element e);
void releaseThreadedBTree(ThreadedBTree *tree);void insertThreadedBTree(ThreadedBTree *tree, BTNode *parent, BTNode* left, BTNode* right);void visitTbtNode(const BTNode *node);void inOrderThreadingBTree(ThreadedBTree *tree); // 中序线索化的过程void inOrderTbTree(ThreadedBTree *tree); // 线索化后,遍历tree这棵树

2.创建线索二叉树和树节点

ThreadedBTree* createThreadedBTree(BTNode* root)
{ThreadedBTree *tree = malloc(sizeof(ThreadedBTree));if (tree == NULL){fprintf(stderr, "Error allocating threaded btee\n");return NULL;}if (root){tree->root = root;tree->count = 1;} else{tree->root = NULL;tree->count = 0;}return tree;
}BTNode* createBTNode(Element e)
{BTNode *node = malloc(sizeof(BTNode));if (node == NULL){fprintf(stderr, "Error allocating memory\n");return NULL;}node->data = e;node->left = node->right = NULL;node->lTag = node->rTag = 0;return node;
}

3.插入节点

void insertThreadedBTree(ThreadedBTree* tree, BTNode *parent, BTNode* left, BTNode* right)
{if (tree && parent){parent->left = left;parent->right = right;if (left){tree->count++;}if (right){tree->count++;}}
}

4.访问节点

&0xff 是一种C语言技巧,用于确保在处理 char 类型时,如果它被默认当作有符号数,能被正确地当作无符号 int 传递给 printf%c(或 %d),避免因符号扩展导致打印出负数或乱码。

void visitTbtNode(const BTNode* node)
{if (node){printf("\t%c", node->data & 0xff);}
}

5.线索化二叉树

// 全局变量,用于在递归中始终保存“前一个”被访问的节点
static BTNode *pre = NULL;static void inOrderThreading(BTNode *node) {if (node) {// 1. 递归,深入左子树inOrderThreading(node->left);// 2. 检查当前节点的左指针是否为空if (node->left == NULL) {// 如果为空,建立前驱线索node->lTag = 1;node->left = pre;}// 3. 检查“前一个”节点的右指针是否为空if (pre && pre->right == NULL) {pre->right = node;pre->rTag = 1;}// 4. 更新 pre,让 pre 永远指向刚被访问过的节点pre = node;// 5. 递归,深入右子树inOrderThreading(node->right);}
}void inOrderThreadingBTree(ThreadedBTree* tree) {if (tree) {inOrderThreading(tree->root);}
}

6.遍历线索二叉树

线索化最大的好处是什么?是我们可以实现非递归、不使用栈的超高效中序遍历!

void inOrderTbTree(ThreadedBTree* tree) {BTNode *node = tree->root;while (node) {// 一直往左走while (node->lTag == 0) {node = node->left;}// 找到并访问线索化的首节点visitTbtNode(node);// 向右进行中序线索化后的结果// 只要 rTag 是 1,就说明 right 指向的是后继,直接访问while (node->rTag && node->right) {node = node->right;visitTbtNode(node);}// 将这个不是右线索化的节点,当作新节点,再进行循环node = node->right;}
}

7.释放二叉树

在释放节点前要检查 TagrTag,避免重复释放或误释放线索指向的节点,这比普通树的释放更复杂,通常需要结合后序遍历。

static void freeBTNode(ThreadedBTree *tree, BTNode *node)
{if (node){if (node->lTag == 0){freeBTNode(tree, node->left);}if (node->rTag == 0){freeBTNode(tree, node->right);}free(node);tree->count--;}
}void releaseThreadedBTree(ThreadedBTree* tree)
{if (tree->root){freeBTNode(tree, tree->root);}
}

8.测试函数

#include <stdio.h>
#include <stdlib.h>
#include "threadedBTree.h"ThreadedBTree *setupTree()
{BTNode *nodeA = createBTNode('A');BTNode *nodeB = createBTNode('B');BTNode *nodeC = createBTNode('C');BTNode *nodeD = createBTNode('D');BTNode *nodeE = createBTNode('E');BTNode *nodeF = createBTNode('F');BTNode *nodeH = createBTNode('H');BTNode *nodeG = createBTNode('G');BTNode *nodeK = createBTNode('K');ThreadedBTree *tree = createThreadedBTree(nodeA);insertThreadedBTree(tree, nodeA, nodeB, nodeE);insertThreadedBTree(tree, nodeB, NULL, nodeC);insertThreadedBTree(tree, nodeE, NULL, nodeF);insertThreadedBTree(tree, nodeC, nodeD, NULL);insertThreadedBTree(tree, nodeF, nodeG, NULL);insertThreadedBTree(tree, nodeG, nodeH, nodeK);return tree;
}void test01()
{ThreadedBTree *tree = setupTree();printf("tree node: %d\n", tree->count);inOrderThreadingBTree(tree);printf("show:");inOrderTbTree(tree);releaseThreadedBTree(tree);
}int main() {test01();
}

结果为:
在这里插入图片描述

三、总结:空间换效率的经典之作

线索二叉树是数据结构设计中一个“变废为宝”的绝佳典范。它通过利用 n+1 个空指针域,换来了两个巨大的优势:

  • 快速查找:能以 O(1) 的时间复杂度(如果持有节点指针)或高效地(通过线索)找到节点的中序前驱与后继,彻底解决了普通遍历的低效问题。
  • 非递归遍历:实现了一种不依赖系统栈、不会溢出的中序遍历方式,这在某些对内存和稳定性要求极高的嵌入式或底层系统中至关重要。

当然,这种优化也付出了代价:

  • 空间开销:增加了 lTagrTag 两个标志位的空间。
  • 维护成本:在对树进行插入和删除时,维护这些线索变得异常复杂(远超本文演示的静态线索化),这也是为什么它在动态变化的树中不那么常用的原因。

我们已经学会了如何为二叉树增添线索以优化遍历。接下来,我们将探索另一类对二叉树的“改造”——如何让它在查找数据时,表现得像“二分查找”一样高效?这就是我们的下一个主题:二叉搜索树

http://www.dtcms.com/a/494951.html

相关文章:

  • wordpress 织梦十堰网站优化
  • Vue+ts 如何实现父组件和子组件通信
  • 广告制作网站源码高端网站设计公司
  • cpp-stub工作原理详细举例解析
  • 香港服务器CPU中E5和Gold的区别
  • linux shell编程实战 02 变量与交互式输入
  • 网站下载怎么做如何建一个免费试用网站
  • 【LeetCode热题100(45/100)】二叉树展开为链表
  • VUE封装axios调用
  • python的scikit-image库的功能介绍(亲测)
  • 做go分析的网站第一成品网站超市
  • ArrayList和LinkedList的区别
  • PinWin,一个窗口置顶工具
  • 一键式搜索引擎Hacking工具
  • CasADi:高性能数值优化与自动微分工具库详解
  • 中英文网站建设企业网站列表设计
  • 在 iOS 18 中,控制中心怎样添加应用快捷方式?
  • C++类型转换
  • 【Memory协议栈】Autosar架构下如何加速Fee的切页时间
  • 【C# MVC 前置】异步编程 async/await:从 “卡界面” 到 “秒响应” 的 Action 优化指南(附微软官方避坑清单)
  • WRF-Chem模式编译,排放源制作
  • 网站管理和维护云服务器多少钱一台
  • 做外贸网站效果好吗万网首页
  • JavaWeb前端-Ajax
  • ip rule 策略路由
  • 【Zephyr电源与功耗专题】15_功耗优化测试工具与手段
  • 如何让多模态大模型学会“自动思考”-R-4B训练框架核心设计与训练方法
  • 上海企业网站备案找个网站这么难2021
  • 利用层序遍历建树和打印
  • 分布式专题——47 ElasticSearch搜索相关性详解