当前位置: 首页 > news >正文

十四、OpenCV中的形态学操作

文章目录

    • 一、概述
    • 二、膨胀(Dilation)的概念
    • 三、腐蚀(Erosion)的概念
    • 四、 开运算(Opening)
    • 五、 闭运算(Closing)
    • 六、形态学梯度(Morphological Gradient)
    • 七、顶帽运算(Top-hat)
    • 八、黑帽运算(Black-hat)

一、概述

  在 OpenCV 中,形态学操作(Morphological Operations)是一类基于图像形状的图像处理方法,常用于去噪、提取轮廓、填补空洞、突出特征等。

二、膨胀(Dilation)的概念

膨胀的作用是:让前景(通常是白色部分)扩大,背景(通常是黑色部分)缩小。

简单理解就是:

  • 图像中的亮区域会“长大”;
  • 暗区域会“被侵蚀”;
  • 小的黑洞会被填平;
  • 分离的小白点可能会被连接起来。

数学定义:
在这里插入图片描述

在 OpenCV 中的实现
函数原型:

void cv::dilate(InputArray src,OutputArray dst,InputArray kernel,Point anchor = Point(-1, -1),int iterations = 1,int borderType = BORDER_CONSTANT,const Scalar& borderValue = morphologyDefaultBorderValue()
);

参数说明:
在这里插入图片描述

结构元素的定义
使用 getStructuringElement() 创建核:

Mat kernel = getStructuringElement(MORPH_RECT, Size(5, 5));
// MORPH_RECT:矩形核
// MORPH_ELLIPSE:椭圆形核
// MORPH_CROSS:十字形核

可选类型如下:
在这里插入图片描述

示例代码:

#include <opencv2/opencv.hpp>
using namespace cv;int main() {Mat src = imread("binary.png", IMREAD_GRAYSCALE);// 定义结构元素Mat kernel = getStructuringElement(MORPH_RECT, Size(5, 5));// 膨胀操作Mat dst;dilate(src, dst, kernel);imshow("Original", src);imshow("Dilated", dst);waitKey(0);return 0;
}

效果对比
假设原图如下(白色是目标):

原图:
00000
00100
00000

经过膨胀后(3×3核):

膨胀:
00100
01110
00100

白色区域变大,边缘被“扩张”。

常见应用场景
在这里插入图片描述

在灰度图中的效果
在灰度图像中,膨胀操作的含义变为:每个像素的新值 = 邻域中最大值。

因此可以:

  • 提亮亮区域;
  • 模糊暗边;
  • 用于图像增强。

代码:

dilate(grayImage, result, kernel);

与腐蚀(Erosion)的对比
在这里插入图片描述

三、腐蚀(Erosion)的概念

  在图像形态学中,腐蚀(Erosion) 是指让图像中的前景(通常是白色部分)区域变小的一种操作。如果把膨胀比作“让白色区域扩张”,那么腐蚀就是“让白色区域收缩”。

直观理解:

  • 膨胀是“白色吃黑色”
  • 腐蚀是“黑色吃白色”。

腐蚀的核心思想是:

  • 用一个 结构元素(Kernel) 在图像上滑动,
  • 只有当 结构元素完全被白色像素覆盖 时,输出位置才设为白色,否则为黑色。

在这里插入图片描述

在 OpenCV 中,可以使用以下函数来实现腐蚀:

cv::erode(src, dst, kernel, anchor, iterations, borderType, borderValue);

参数详解:
在这里插入图片描述
结构元素(kernel)可以使用以下方式生成:

cv::Mat kernel = cv::getStructuringElement(cv::MORPH_RECT, cv::Size(3, 3));

结构元素类型包括:

  • MORPH_RECT(矩形)
  • MORPH_ELLIPSE(椭圆)
  • ORPH_CROSS(十字形)

示例代码:

#include <opencv2/opencv.hpp>
using namespace cv;int main() {Mat src = imread("input.png", IMREAD_GRAYSCALE);Mat dst;// 创建3x3矩形结构元素Mat kernel = getStructuringElement(MORPH_RECT, Size(3, 3));// 腐蚀操作erode(src, dst, kernel);imshow("原图", src);imshow("腐蚀后", dst);waitKey(0);return 0;
}

效果说明:
在这里插入图片描述

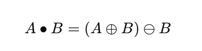
四、 开运算(Opening)

定义:开运算 = 腐蚀(Erosion) → 膨胀(Dilation)

公式表示为:
在这里插入图片描述
原理理解:

  • 第一步:腐蚀
    去掉目标物体边界上的小白点、小毛刺,分离靠得太近的物体。
  • 第二步:膨胀
    让剩下的主体恢复原来的大小。

这样可以:

  • 去除小的噪声点
  • 保留主体形状
  • 分离相邻目标

代码示例:

#include <opencv2/opencv.hpp>
using namespace cv;int main() {Mat src = imread("binary.png", IMREAD_GRAYSCALE);Mat dst;// 创建结构元素Mat kernel = getStructuringElement(MORPH_RECT, Size(5, 5));// 开运算:先腐蚀后膨胀morphologyEx(src, dst, MORPH_OPEN, kernel);imshow("Original", src);imshow("Open Operation", dst);waitKey(0);return 0;
}

开运算效果举例:
原图(含噪点):

0001000
0011100
0001000
0000100

腐蚀 → 小白点被去除;膨胀 → 主体恢复形状;最终:噪声消除,目标保持。

五、 闭运算(Closing)

定义:闭运算 = 膨胀(Dilation) → 腐蚀(Erosion)

公式表示为:
在这里插入图片描述

原理理解:

  • 第一步:膨胀
    填补前景区域中的小黑洞、间隙。
  • 第二步:腐蚀
    恢复目标边界到原来的大小。

这样可以:

  • 填补小黑洞
  • 连接断裂的目标
  • 保持整体形状

代码示例:

#include <opencv2/opencv.hpp>
using namespace cv;int main() {Mat src = imread("binary.png", IMREAD_GRAYSCALE);Mat dst;Mat kernel = getStructuringElement(MORPH_RECT, Size(5, 5));// 闭运算:先膨胀后腐蚀morphologyEx(src, dst, MORPH_CLOSE, kernel);imshow("Original", src);imshow("Close Operation", dst);waitKey(0);return 0;
}

开与闭的对比总结
在这里插入图片描述

六、形态学梯度(Morphological Gradient)

定义:梯度 = 膨胀 − 腐蚀

公式为:
在这里插入图片描述
原理理解:
梯度的本质是提取前景的边缘:

  • 膨胀会让白色区域“变大”;
  • 腐蚀会让白色区域“变小”;
  • 两者相减后,留下的就是边缘区域。

示例代码:

#include <opencv2/opencv.hpp>
using namespace cv;int main() {Mat src = imread("binary.png", IMREAD_GRAYSCALE);Mat dst;Mat kernel = getStructuringElement(MORPH_RECT, Size(3, 3));// 形态学梯度 = 膨胀 - 腐蚀morphologyEx(src, dst, MORPH_GRADIENT, kernel);imshow("Original", src);imshow("Morphological Gradient", dst);waitKey(0);return 0;
}

效果:结果类似于边缘检测(类似 Canny 或 Sobel),但基于形态学原理:

  • 对噪声更鲁棒;
  • 特别适用于二值图像或分割掩码的边缘提取。

七、顶帽运算(Top-hat)

定义:顶帽 = 原图 − 开运算结果

公式:
在这里插入图片描述
原理理解:
开运算会“去掉小的亮点”并平滑区域。所以原图减去开运算结果后,留下的就是那些比周围更亮的小目标。

示例代码:

#include <opencv2/opencv.hpp>
using namespace cv;int main() {Mat src = imread("gray.png", IMREAD_GRAYSCALE);Mat dst;Mat kernel = getStructuringElement(MORPH_RECT, Size(15, 15));// 顶帽运算:原图 - 开运算morphologyEx(src, dst, MORPH_TOPHAT, kernel);imshow("Original", src);imshow("Top-hat", dst);waitKey(0);return 0;
}

八、黑帽运算(Black-hat)

定义:黑帽 = 闭运算结果 − 原图

公式:
在这里插入图片描述
原理理解:
闭运算会填补小的黑洞、阴影区域;所以闭运算结果减去原图后,得到的就是那些比周围更暗的小区域。

示例代码:

#include <opencv2/opencv.hpp>
using namespace cv;int main() {Mat src = imread("gray.png", IMREAD_GRAYSCALE);Mat dst;Mat kernel = getStructuringElement(MORPH_RECT, Size(15, 15));// 黑帽运算:闭运算 - 原图morphologyEx(src, dst, MORPH_BLACKHAT, kernel);imshow("Original", src);imshow("Black-hat", dst);waitKey(0);return 0;
}

应用场景:

  • 提取暗小目标(如阴影、黑斑、暗文字)
  • 光照不均的图像增强
  • 背景建模和修正

形态学操作可视化对比图(原图 + 各种操作效果)
在这里插入图片描述

http://www.dtcms.com/a/481845.html

相关文章:

  • 算法279. 完全平方数
  • Prometheus pushgateway学习
  • MySQL索引结构:B树与B+树
  • 进程的基本认识
  • Webpack 打包优化与骨架屏结合:双管齐下提升前端性能与用户体验
  • 鸿蒙:在沙箱目录下压缩或解压文件
  • 智能SQL客户端Chat2DB技术解析
  • 电影网站推广什么是网络营销的主要职能之一
  • Transformers库用法示例:解锁预训练模型的强大能力
  • 大气污染扩散calpuff模型:数据预处理、Calmet气象模块、Post Tools 后处理工具及绘图工具
  • 用气安全与能效优化平台
  • 02117 信息组织【第三章】
  • 自己建设淘宝客网站需要备案么wordpress插件 投票
  • Wireshark 4.4.9 设置为中文界面方法
  • 极限AI Coding,腾讯云“黑客松”大赛回顾(内有作品开源)
  • 【工具分享】Dota游戏平台助手
  • 网站制作找云优化口碑好的网站定制公司
  • 精品建站公司2345网址大全下载到桌面
  • HENGSHI SENSE异构过滤架构:基于三层执行引擎的跨源联邦查询性能优化实践
  • 语言模型监督式微调(SFT)概述
  • 又开始了 小程序定制
  • 前端面试-箭头函数
  • 翻译类公司网站模板node做网站后台
  • 2018做网站哪里可以做寄生虫网站
  • 腾讯云的游戏盾怎么样
  • C++函数完全指南:从基础到高级应用
  • 国自然申报·医工交叉热点|单细胞多模态融合破解病理研究痛点
  • html情人节给女朋友做网站WordPress在手机能更新
  • springboot餐厅信息管理系统设计(代码+数据库+LW)
  • Jenkins Share Library教程 —— 高级实战与最佳实践教程