当前位置: 首页 > news >正文

2025年优化算法:多策略改进蛇优化算法( Improved Snake Optimizer,ISO)

多策略改进蛇优化算法(ISO)的相关论文发表在期刊“Journal of Bionic Engineering”

01.引言

蛇优化器(SO)作为一种模拟蛇类交配行为的元启发式算法,近年来在全局数值优化和工程应用中展现出强大潜力。然而,其探索阶段的随机性缺陷与孵化过程的低效性,导致收敛速度慢、解质量受限。面对高维、非线性、多模态的现代工程难题,传统SO如同「盲眼巨蟒」——虽具力量,却失精准。

为此,提出​​多策略改进蛇优化器​​,通过三重创新突破SO的生物学局限:

  • ​​多策略探索算子​​:融合随机搜索与定向开发,引入全局精英信息与对立种群交互
  • ​​种群拥挤自适应孵化​​:基于维度级分布特征动态调整个体再生策略
  • ​​序列二次规划局部搜索​​:嫁接数学优化利器,强化局部极值挖掘能力

02.算法原理简介及算法实现流程(文末附代码)

一、生物灵感与算法瓶颈​

蛇优化器的核心灵感源于蛇类的温度驱动行为模式:

  • 低温觅食​​(探索阶段):随机搜索食物源(全局空间)
  • 高温趋食​​(开发阶段):向最优食物源移动(局部开发)
  • ​​战斗/交配模式​​:个体竞争与基因重组
  • ​​孵卵机制​​:劣解替换与种群更新

然而,SO存在两大本质缺陷:

  • ​​探索阶段随机性过强​​:仅依赖当前子种群随机个体,忽视全局精英信息与对立种群交互,导致搜索方向盲目
  • ​​孵卵过程低效​​:随机再生劣解个体,未考虑种群分布特征,浪费计算资源

二、MISO核心创新:三重策略融合​

1. 多策略探索算子——【蛇群协同狩猎】​

策略结构​​:

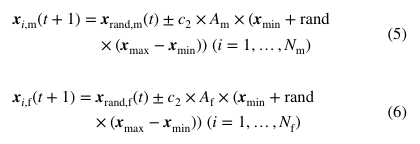
​​第一策略​​:保留原SO随机搜索(Eq.5-6)

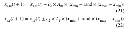
​​第二策略​​:当前个体邻域精细搜索(Eq.21-22)

​​第三策略​​:改进型"current-to-pbest/1"策略(Eq.25-26)

创新点​​:

  • 引入全局精英个体(x_pbest)引导搜索方向
  • 融合对立种群随机个体(x_rand,opposite)扩大搜索范围
  • 通过竞争选择机制(Eq.27-28)保留最优候选解

2. 种群拥挤自适应孵化——「智能蛋巢调控」

种群拥挤度计算:

​​孵化策略切换​​:

​​高拥挤维度(PC_j > H)​​:采用开发策略(Eq.32-33)

向最优个体靠拢(加速收敛)

向最差个体反向搜索(逃离局部极值)

​​低拥挤维度(PC_j ≤ H)​​:采用探索策略(Eq.34-35)

保守随机搜索(保持多样性)

最差个体信息利用(边界探索)

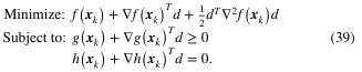
3. 序列二次规划局部搜索——「数学手术刀」​

将非线性约束优化问题转化为二次规划子问题(Eq.39):

通过牛顿迭代步长调整,实现对最优解区域的精细挖掘

03.本文代码效果图

04.部分代码

function [ fval,Xfood,gbest_t] = ISO(N,T,lb,ub,dim,fobj)
%initial 
vec_flag=[1,-1];
Threshold=0.25;
Thresold2= 0.6;
C1=0.5;
C2=.05;
C3=2;
%  Strategy 1: Multi-strategy chaotic system(MSCS)
% % Initialization 
if length(lb)<2
X=lb+MSCS(N,dim)*(ub-lb);
else 
X=repmat(lb,N,1)+MSCS(N,dim).*repmat((ub-lb),N,1);%eq.(10)
end
for i=1:Nfitness(i)=fobj(X(i,:)); 
end
Trajectories=zeros(N,T);
position_history=zeros(N,T,dim);
fitness_history=zeros(N,T);
[GYbest, gbest] = min(fitness);
Xfood = X(gbest,:);
%Diving the swarm into two equal groups males and females
Nm=round(N/2);%eq.(1)
Nf=N-Nm;
Xm=X(1:Nm,:);
Xf=X(Nm+1:N,:);
fitness_m=fitness(1:Nm);
fitness_f=fitness(Nm+1:N);
[fitnessBest_m, gbest1] = min(fitness_m);
Xbest_m = Xm(gbest1,:);
[fitnessBest_f, gbest2] = min(fitness_f);
Xbest_f = Xf(gbest2,:);
for t = 1:TPositions=[Xm;Xf];for i=1:size(Positions,1)position_history(i,t,:)=Positions(i,:);Trajectories(:,t)=Positions(:,1);fitness_history(i,t)=fobj(Positions(i,:));endTemp=exp(-((t)/T));  %eq.(2) Q=C1*exp(((t-T)/(T)));%eq.(3)   if Q>1        Q=1;    end  % Exploration Phase (no Food)  
if Q<Thresholdfor i=1:Nm%Strategy 1: MSCS lb_ap=lb(1)/t;ub_ap=ub(1)/t;z = rand(1, 1);z = sin(pi*(  z .* (1 - z)+ sin(pi * z))); %eq.(13)for j=1:1:dimrand_leader_index = floor(Nm*rand()+1);X_randm = Xm(rand_leader_index, :);flag_index = floor(2*rand()+1);Flag=vec_flag(flag_index);Am=exp(-fitness_m(rand_leader_index)/(fitness_m(i)+eps));Xnewm1(i,j)=X_randm(j)+Flag*C2*Am*((ub(1)-lb(1))*rand+lb(1));%eq.(4)   end     % Strategy 2: Anti-predator strategies(APS-m)Xnewm2(i,:)= X(i,:) -round(1+z).* (lb_ap+ rand(1,1) .* (ub_ap-lb_ap)); %eq.(16)Xnewm2(i,:) = max(Xnewm2(i,:),lb_ap);Xnewm2(i,:) = min(Xnewm2(i,:),ub_ap);if fobj(Xnewm2(i,:)) < fobj(Xnewm1(i,:))%eq.(17)Xnewm(i,:)=Xnewm2(i,:);%eq.(17)else Xnewm(i,:)=Xnewm1(i,:);%eq.(17)endif(fobj(Xnewm(i,:))<fitness(i))%eq.(20)X(i,:) = Xnewm(i,:);%eq.(20)fitness(i) = fobj(Xnewm(i,:));endend% Strategy 2: Anti-predator strategies(APS-f)for i=1:Nffor j=1:1:dimrand_leader_index = floor(Nf*rand()+1);X_randf = Xf(rand_leader_index, :);flag_index = floor(2*rand()+1);Flag=vec_flag(flag_index);Af=exp(-fitness_f(rand_leader_index)/(fitness_f(i)+eps));Xnewf1(i,j)=X_randf(j)+Flag*C2*Af*((ub(1)-lb(1))*rand+lb(1));%eq.(4)endXnewf2(i,:)=X(i,:)+rand(1,1) .* (Xbest_f-round(1+z).*X(i,:)); % Eq.(18) Xnewf2(i,:) = max(Xnewf2(i,:),lb_ap);Xnewf2(i,:) = min(Xnewf2(i,:),ub_ap);if fobj(Xnewf2(i,:)) < fobj(Xnewf1(i,:))%Eq.(18) Xnewf(i,:)=Xnewf2(i,:);%Eq.(18)else Xnewf(i,:)=Xnewf1(i,:);%Eq.(18)endif(fobj(Xnewf(i,:))<fobj(Xbest_f))%eq.(20)X(i,:) = Xnewf(i,:);%eq.(20)fitness(i) = fobj(Xnewf(i,:));endend
.................................................

✅作者简介:信号处理方向在校博士研究生,目前专研于MATLAB算法及科学绘图等,熟知各种信号分解算法、神经网络时序、回归和分类预测算法、数据拟合算法以及滤波算法。提供一个可以相互学习相互进步的平台

🚩技术信仰:知行合一,让每一行代码都成为解决问题的利器

关注"MATLAB科研小白"后联系博主私家定制

http://www.dtcms.com/a/479285.html

相关文章:

  • 苹果软件混淆与 iOS 应用加固白皮书,IPA 文件加密、反编译防护与无源码混淆方案全解析
  • wordpress 建网站视频深圳网络推广
  • 做购物网站支付需要怎么做关于建筑工程的网站
  • 网站做多长时间才会逐渐成功网站定制开发一般多久
  • AgentLightning框架(1)
  • python-调整图层
  • 盐城手机网站制作昆明个人网站建设平台
  • Docker 资源限制总结
  • python中的works的工作原理
  • 0基础建站网站搭建教程设计公司logo用什么软件
  • 陕西天工建设有限公司官方网站网站做视频的软件
  • 冒泡排序的原理?
  • 上行30m可以做网站吗前端做一个页面多少钱
  • 2025国内GEO优化服务商综合评测:抢占AI搜索流量新入口
  • 龙华网站建设推广免费行情软件网站大全网页版
  • 为什么收不到自己网站沈阳市网站制作公司
  • IT服务(IT Services):从定义、分类到产业实践的全面解析
  • 做vr效果图的网站如何寻找seo网站建设客户
  • 域名暂无法进行网站备案电子工程师社区
  • 做公司网站教程视频快速建企业网站
  • 网上做兼职的网站有哪些免费设计素材库
  • 普通用户执行ps兼容sudo和非sudo场景
  • Java--网络编程(二)
  • 如何将网站转成小程序网站 微信 app
  • 若依框架下的接口测试
  • Unity网络开发--第三方协议工具Protobuf
  • 城阳网站建设公司wordpress首页文章缩略图插件
  • 兼职招聘网站中国最新军事新闻
  • MATLAB做一个简单的元胞自动机:森林火灾模拟
  • 嵌入式开发培训机构排名seo自动推广工具