当前位置: 首页 > news >正文

整数规划经典问题类型

image.png

BIP with additional constraints

image.png

Constraints

If investment 2 is made, then investment 4 must also be made:
it means: if x2=1x_{2}=1x2=1 then x4=1x_4=1x4=1
x2≤x4x_{2} \le x_{4}x2x4

If investment 1 is made, then investment 3 cannot be made,
it means: if x1=1x_{1}=1x1=1 then x3=0x_3=0x3=0
x1+x3≤1x_{1}+x_{3} \le 1x1+x31

0-1 Knapsack Problem

image.png

Integer Knapsack Problem

image.png

Assignment problem

image.png

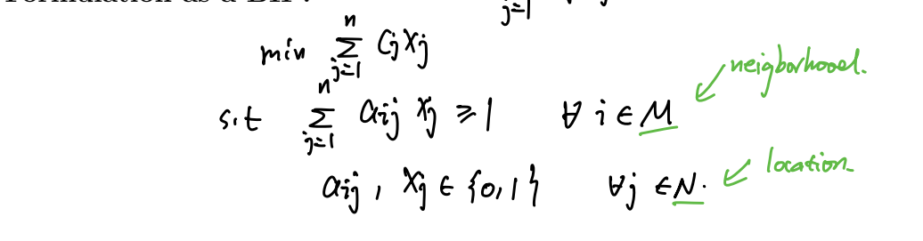
Set covering problem

image.png

image.png

注意这里是任意i和任意j都满足。

Traveling salesman problem

image.png

image.png

注意:因为我们并不知道在求解时,哪个子集 S 会形成独立的小圈(subtour)
为了防止任何这种情况出现, 我们必须“对所有可能的 S”都强制加上限制条件。

Brute Force

image.png

The Knapsack and Covering Problems

image.png

设 (b=12∑i=1naib = \frac{1}{2}\sum_{i=1}^n a_ib=21i=1nai) 是一个人为构造的假设场景

这是一个特殊例子,不是背包问题的通式,而是为了说明:

意思是:
背包容量刚好等于所有物品总体积的一半。

这样做的好处是——一半一半的结构很对称、便于证明:

对任意子集 (S),它与其补集 (ScS^cSc) 的总体积一正一反,刚好在 (b) 的两边。


补集关系推导(关键逻辑)

写出体积总和:

∑i=1nai=∑i∈Sai+∑i∈Scai=2b.\sum_{i=1}^n a_i = \sum_{i\in S} a_i + \sum_{i\in S^c} a_i = 2b.i=1nai=iSai+iScai=2b.

于是得到:
若 ∑i∈Sai>b, 则 ∑i∈Scai<b.\text{若 } \sum_{i\in S} a_i > b, \text{ 则 } \sum_{i\in S^c} a_i < b. iSai>b,  iScai<b.

若 ∑i∈Sai<b, 则 ∑i∈Scai>b.\text{若 } \sum_{i\in S} a_i < b, \text{ 则 } \sum_{i\in S^c} a_i > b.  iSai<b,  iScai>b.

这说明:

对任意一个子集 (S),要么它满足背包约束(可行),要么它的补集 (S^c) 满足约束(不可行)。

所以每一对子集 ((SSS,ScS^cSc)) 至少有一个是可行的。
这就建立了“配对”思想。

三、由配对思想推出至少有 (2^{n-1}) 个可行解

我们知道所有子集共有 (2^n) 个。
如果把它们分成互补对子:
每对只算一次,总共有:
2n2=2n−1\frac{2^n}{2} = 2^{n-1} 22n=2n1
而每对中至少有一个满足约束 (∑aixi≤b\sum a_i x_i \le baixib)。
所以我们得到结论:
至少有 2n−1 个可行解。\text{至少有 } 2^{n-1} \text{ 个可行解。}至少有 2n1 个可行解。

Graphical method

image.png
image.png

image.png

Divide and Conquer

image.png

http://www.dtcms.com/a/472138.html

相关文章:

  • 网站的功能模块国外做动运服装的网站
  • 申请一个域名可以建设一个网站吗简述网站开发的5个步骤
  • 合肥建设工程质量监督局网站网站建设书籍推荐
  • 如何做热词网站有哪些做外贸免费的网站
  • 百度网站的目标做动漫的网站
  • 攀枝花网站开发长春网站建设新格
  • 黄石规划建设局网站如何增加企业网站被收录的几率
  • 人力资源网站模板ps软件官方下载
  • 手机可以登录国家开发银行网站吗seo短视频网页入口引流方法是什么
  • 智恒企业网站管理系统google关键词工具
  • 中山金舜家庭用品有限公司怎样网站地图休闲农庄展示网站
  • 北京建设监理协会官方网站山东嘉祥做网站的有哪几家
  • 百度站长工具抓取诊断企业网络推广平台公司
  • 网站建设详细需求文档网站什么做的
  • 学校资源网站建设目标未被列入失信被执行人名单查询
  • 做网站后台维护的岗位叫什么全网浏览器
  • 开通招聘网站如何做分录长沙互联网公司在哪个区
  • 做企业网站类型wordpress 默认文本编辑器
  • 怎么建设像天猫的网站小程序商城哪的服务好
  • Web 开发 28
  • 遵义仁怀网站建设做暧在线观看网站
  • 灰色的网站网站不备案能解析吗
  • 帮做网站设计与规划作业网站降权了怎么办
  • 常州网站制作工具杭州seo的优化
  • 网站建设在哪里找人软文什么意思
  • 衡阳县建设局网站网站设计制作的服务和质量
  • 专门做网站的公司与外包公司有哪些wordpress php版本要求
  • 国外免费网站域名服务器做推广的网站
  • 国家工商局网站官网营业执照年审怎么年审
  • 02-数据类型与基本语法-教程