当前位置: 首页 > news >正文

【力扣】hot100系列(三)链表(一)(图示+多解法+时间复杂度分析)

本专栏文章持续更新,新增内容使用蓝色表示。

160. 相交链表 - 力扣(LeetCode)

给你两个单链表的头节点 headA 和 headB ,请你找出并返回两个单链表相交的起始节点。如果两个链表不存在相交节点,返回 null 。

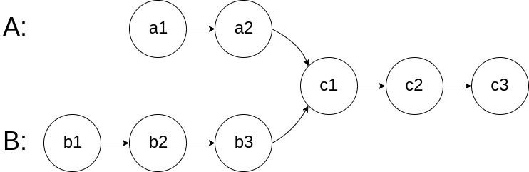
图示两个链表在节点 c1 开始相交:

整个链式结构中不存在环,函数返回结果后,链表必须保持其原始结构 。

自定义评测:

intersectVal - 相交的起始节点的值。如果不存在相交节点,这一值为 0

listA - 第一个链表

listB - 第二个链表

skipA - 在 listA 中(从头节点开始)跳到交叉节点的节点数

skipB - 在 listB 中(从头节点开始)跳到交叉节点的节点数

评测系统将根据这些输入创建链式数据结构,并将两个头节点 headA 和 headB 传递给你的程序。如果程序能够正确返回相交节点,则正确 。

解法一:双指针

注意理解本题,逻辑和物理上后续的节点都是共同的。

一开始没申清题目时以为是逻辑上后续节点相同,物理上不同,想着用反转链表尝试解题。

至于双指针的解法,直接看代码可能并不能直观理解,可以看一组图:

有交点双指针过程图示:

最终两节点相遇,退出循环,返回ha或者hb都可以。

无交点双指针过程图示:

两个指针最终都走到了对方的末尾,依旧是返回任意一个都有效。

/*** Definition for singly-linked list.* struct ListNode {*     int val;*     ListNode *next;*     ListNode(int x) : val(x), next(NULL) {}* };*/
class Solution {
public:ListNode* getIntersectionNode(ListNode* headA, ListNode* headB) {ListNode *hA = headA, *hB = headB;while (hA != hB) {hA = hA ? hA->next : headB;hB = hB ? hB->next : headA;}return hA;}
};

时间复杂度:O(m+n) ,设链表 A 的长度为 m,链表 B 的长度为 n。

空间复杂度:O(1)。

解法二:哈希

注意一个误区,此处存储的是地址,不是值,值有可能会有值相同但不是节点的情况。

class Solution {
public:ListNode* getIntersectionNode(ListNode* headA, ListNode* headB) {unordered_set<ListNode*> check;ListNode* ha = headA;ListNode* hb = headB;while (ha != nullptr) {check.insert(ha);ha = ha->next;}while (hb != nullptr) {if (check.find(hb) != check.end()) {return hb;}hb = hb->next;}return hb;}
};

时间复杂度:O(m+n) ,设链表 A 的长度为 m,链表 B 的长度为 n。

空间复杂度:O(m)。

206. 反转链表 - 力扣(LeetCode)

给你单链表的头节点 head ,请你反转链表,并返回反转后的链表。

示例:
输入:head = [4,1,2,7]
输出:[7,2,1,4]

图示过程:

解法一

/*** Definition for singly-linked list.* struct ListNode {*     int val;*     ListNode *next;*     ListNode() : val(0), next(nullptr) {}*     ListNode(int x) : val(x), next(nullptr) {}*     ListNode(int x, ListNode *next) : val(x), next(next) {}* };*/
class Solution {
public:ListNode* reverseList(ListNode* head) {ListNode* pre = nullptr;ListNode* cur = head;while (head != nullptr) {head = head->next;cur->next = pre;pre = cur;cur = head;}return pre;}
};

时间复杂度:O(n)。

空间复杂度:O(1)。

解法二

感兴趣的朋友可以尝试使用递归解答。

【后续如果感兴趣了,会在这里添加】

看的出来我不太感兴趣。

234. 回文链表 - 力扣(LeetCode)

给你一个单链表的头节点 head ,请你判断该链表是否为回文链表。如果是,返回 true ;否则,返回 false 。

示例 1:
输入:
head = [1,2,2,1]
输出:true

示例 2:

输入:head = [1,2]
输出:false

解法一

第一个想法是直接将链表翻转,对比是否相同,翻转后与原链表相同则为回文链表。这种需要借助额外的空间,不能直接在原链表上更改。

class Solution {
public:bool isPalindrome(ListNode* head) {if (!head || !head->next)return true;ListNode* copied = copyList(head);ListNode* reversed = reverseList(copied);ListNode* p1 = head;ListNode* p2 = reversed;while (p1 && p2) {if (p1->val != p2->val) {return false;}p1 = p1->next;p2 = p2->next;}return true;}ListNode* copyList(ListNode* head) {ListNode* dummy = new ListNode(0);ListNode* curr = dummy;ListNode* orig = head;while (orig) {curr->next = new ListNode(orig->val);curr = curr->next;orig = orig->next;}return dummy->next;}ListNode* reverseList(ListNode* head) {ListNode* pre = nullptr;ListNode* cur = head;while (head != nullptr) {head = head->next;cur->next = pre;pre = cur;cur = head;}return pre;}
};

时间复杂度:O(n)。

空间复杂度:O(n)。

解法二:数组+双指针

将链表的值存入数组中,数组支持随机访问,就好办了很多。

class Solution {
public:bool isPalindrome(ListNode* head) {vector<int> list;while (head != nullptr) {list.push_back(head->val);head = head->next;}for (int pre = 0, back = list.size() - 1; pre < list.size() / 2;pre++, back--) {if (list[pre] != list[back]) {return false;}}return true;}
};

时间复杂度:O(n)。

空间复杂度:O(n)。


如有问题或建议,欢迎在评论区中留言~

http://www.dtcms.com/a/470545.html

相关文章:

  • 【Linux】linux基础指令入门(1)
  • 广东网站制作公司校园网站建设结论
  • 广州商城型网站福州核酸检测最新通知
  • 关于 旁注
  • mysql数据库介绍
  • Java程序设计
  • JavaScript从入门到实战 (1):JS 入门第一步:它是什么?能做什么?环境怎么搭?
  • Shell 中 $@ 与 $* 的核心区别:双引号包裹下的关键差异解析
  • 重庆网站seo网站外链购买平台
  • 乐清做网站哪家好汕头第一网e京网
  • 为什么ES中不推荐使用wildcard查询
  • 怎么叫人做网站高端的网站推广
  • ICT 数字测试原理 18 - -VCL如何对设备进行预处理
  • 19-基于STM32的人体体征监测系统设计与实现
  • 第12讲:深入理解指针(2)——指针的“安全锁”与“传址魔法”
  • 小企业网站制作wordpress 搭建个人博客
  • 企石镇做网站中国建筑装饰网饶明富
  • 深入洞察:从巴菲特投资哲学萃取最佳实践
  • 设计网站的功能有哪些微营销工具
  • 我的世界做皮肤的网站西安市高新区建设局网站
  • 车载360环视平台:米尔RK3576开发板支持12路低延迟推流
  • 松下机械手焊机气体流量调节
  • x64dbg破解学习(浅尝)
  • RRC状态机:移动通信网络中的连接灵魂
  • LibreCAD 编译详细步骤指南
  • 2025年100道最新软件测试面试题,常见面试题及答案汇总
  • (15)100天python从入门到拿捏《面向对象编程》
  • Spring AI Alibaba 与 Ollama 集成初探:从环境搭建到首次调用
  • 营销型网站的标准网站flash导入页
  • 汉中专业网站建设开发怎么上国外网站