当前位置: 首页 > news >正文

654.最大二叉树(二叉树算法)

654.最大二叉树

力扣题目地址

给定一个不重复的整数数组 nums 。 最大二叉树 可以用下面的算法从 nums 递归地构建:

  1. 创建一个根节点,其值为 nums 中的最大值。
  2. 递归地在最大值 左边 的 子数组前缀上 构建左子树。
  3. 递归地在最大值 右边 的 子数组后缀上 构建右子树。

返回 nums 构建的 最大二叉树 

示例 1:

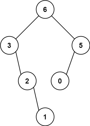
输入:nums = [3,2,1,6,0,5]
输出:[6,3,5,null,2,0,null,null,1]
解释:递归调用如下所示:
- [3,2,1,6,0,5] 中的最大值是 6 ,左边部分是 [3,2,1] ,右边部分是 [0,5] 。- [3,2,1] 中的最大值是 3 ,左边部分是 [] ,右边部分是 [2,1] 。- 空数组,无子节点。- [2,1] 中的最大值是 2 ,左边部分是 [] ,右边部分是 [1] 。- 空数组,无子节点。- 只有一个元素,所以子节点是一个值为 1 的节点。- [0,5] 中的最大值是 5 ,左边部分是 [0] ,右边部分是 [] 。- 只有一个元素,所以子节点是一个值为 0 的节点。- 空数组,无子节点。

示例 2:

输入:nums = [3,2,1]
输出:[3,null,2,null,1]

提示:

  • 1 <= nums.length <= 1000
  • 0 <= nums[i] <= 1000
  • nums 中的所有整数 互不相同

/*** Definition for a binary tree node.* public class TreeNode {*     int val;*     TreeNode left;*     TreeNode right;*     TreeNode() {}*     TreeNode(int val) { this.val = val; }*     TreeNode(int val, TreeNode left, TreeNode right) {*         this.val = val;*         this.left = left;*         this.right = right;*     }* }*/
class Solution {/*** 主函数:构造最大二叉树* * @param nums 输入数组* @return 构造出的最大二叉树的根节点*/public TreeNode constructMaximumBinaryTree(int[] nums) {// 启动递归构建过程// 使用左闭右开区间 [0, nums.length)return constructMaximumBinaryTree1(nums, 0, nums.length);}/*** 递归函数:在 nums[leftIndex, rightIndex) 范围内构造最大二叉树* * @param nums       原始数组* @param leftIndex  子数组起始索引(包含)* @param rightIndex 子数组结束索引(不包含)* @return 当前子数组构造出的最大二叉树的根节点*/public TreeNode constructMaximumBinaryTree1(int[] nums, int leftIndex, int rightIndex) {// 递归终止条件1:区间为空(左闭右开)if (rightIndex - leftIndex < 1) {return null;}// 递归终止条件2:区间只有一个元素if (rightIndex - leftIndex == 1) {return new TreeNode(nums[leftIndex]); // 直接创建叶子节点}// 在当前区间 [leftIndex, rightIndex) 中寻找最大值及其索引int maxIndex = leftIndex;           // 记录最大值的索引int maxVal = nums[leftIndex];       // 记录最大值// 遍历区间,从 leftIndex+1 开始比较for (int i = leftIndex + 1; i < rightIndex; i++) {if (nums[i] > maxVal) {maxVal = nums[i];maxIndex = i;}}// 创建当前子树的根节点(即当前区间的最大值)TreeNode root = new TreeNode(maxVal);// 递归构建左子树:// 范围是 [leftIndex, maxIndex) —— 最大值左侧的子数组root.left = constructMaximumBinaryTree1(nums, leftIndex, maxIndex);// 递归构建右子树:// 范围是 [maxIndex + 1, rightIndex) —— 最大值右侧的子数组root.right = constructMaximumBinaryTree1(nums, maxIndex + 1, rightIndex);// 返回当前子树的根节点return root;}
}

🔑 核心思路与关键点总结

1. 核心思想

  • 分治 + 递归:每次在当前数组区间中找到最大值作为根,然后递归处理左右子数组。
  • 构造规则明确:根 = 区间最大值,左子树 = 左侧子数组构造的树,右子树 = 右侧子数组构造的树。

🔄 这是一个典型的“以最大值为分割点”的递归构造问题。


2. 关键步骤

步骤说明
✅ 1. 确定当前区间的最大值遍历 [leftIndex, rightIndex) 找最大值及其索引
✅ 2. 创建根节点用最大值 maxVal 构造 TreeNode
✅ 3. 划分左右子数组- 左:[leftIndex, maxIndex)
- 右:[maxIndex+1, rightIndex)
✅ 4. 递归构建左右子树分别对左右子数组递归调用构造函数
✅ 5. 连接并返回根将左右子树挂到根节点上,返回根

3. 区间设计:左闭右开 [leftIndex, rightIndex)

  • 这是 Java 中常见的区间表示方式(如 Arrays.copyOfRange)。
  • 优点:
    • 区间长度 = rightIndex - leftIndex
    • 空区间判断:rightIndex - leftIndex < 1
    • 单元素区间:== 1,直接返回
    • 切分自然,避免 +1/-1 错误

4. 递归终止条件

条件说明
rightIndex - leftIndex < 1空区间,返回 null
== 1单个元素,直接创建叶子节点返回

⚠️ 注意:虽然 == 1 可以被包含在后续逻辑中处理,但单独判断可减少一次循环,略微优化性能。


5. 时间与空间复杂度

项目复杂度说明
时间复杂度O(n²) 最坏,O(n log n) 平均每层递归都要遍历找最大值。最坏情况(递减数组)退化为链表,每层找最大值 O(n),共 n 层 → O(n²);平均情况类似快排,O(n log n)
空间复杂度O(n)递归栈深度最坏 O(n)(链状树),平均 O(log n)

💡 提示:可以通过线段树预处理将找最大值优化到 O(1),从而将总时间优化到 O(n),但面试中一般不要求。


6. 易错点提醒

错误说明
❌ 区间开闭混淆比如右子树写成 maxIndex 而不是 maxIndex+1,会导致重复使用最大值
❌ 忘记处理空区间导致数组越界或无限递归
❌ 找最大值时初始值设置错误如 maxIndex = 0 而不是 leftIndex,会越界
❌ 循环范围错误应为 i < rightIndex,不能写成 <=
http://www.dtcms.com/a/439837.html

相关文章:

  • 网站运营 策划 推广 维护网络营销方式给消费者消费行为模式带来的影响
  • 网站谷歌seo做哪些淮安做网站的公司
  • 已经有域名如何做网站内蒙古呼和浩特职业学院
  • 海沧网站建设视频网站开发php
  • 网站开发及维护招聘wordpress站点版权设置
  • 网站建设的合同书网站次年续费
  • 什么网站可以做数据调查问卷网站备案后 换服务器
  • 最新做做网站免费2014 个人网站备案
  • cpa怎么做网站wordpress-saas
  • Cliproxy代理IP:解锁Reddit多账号运营的安全与效率密码
  • 个人房产信息查询网站phpcms 中英文网站
  • 营销型网站及原因有哪些方面宣传册模板
  • 安徽网站建设优化推广企业网站的内容模块
  • 湖南省水利水电建设工程学校网站wordpress文章背景
  • 网站建设公司包括哪些板块广州免费孕检
  • 构建AI智能体:五十二、反应式智能体:AI世界的条件反射,真的可以又快又稳
  • 凡科网做网站贵吗刚刚发生了一件大事
  • [创业之路-671]:半导体暗场(Darkfield)无图形检测与明场(Brightfield)有图形检测的光源技术对比
  • 动易门户网站价格猪八戒网做网站如何
  • 学术会议网站怎么做wordpress 海 主题
  • vs2015 建设微网站做视频网站用网站空间还是服务器
  • 闵行网站制作设计公司外贸营销型网站建设的技巧
  • 网站ui设计基础直播营销策划方案
  • 用网站做自我介绍创建购物平台需要什么
  • 建站平台绑定域名wordpress 图片 主题 52
  • 最专业的手机网站建设wordpress设置密码访问带提示
  • 大连企业建站系统简约大气展厅效果图
  • ZRender 核心接口解析4:PainterBase——渲染器的统一抽象规范
  • 哪几个小说网站做网编拿的钱多个人主页设计代码
  • 网站建设方案书 本案公众号推广渠道