当前位置: 首页 > news >正文

每日一练【约瑟夫环问题】

孩子们的游戏

约瑟夫环问题,解法有很多,比如环形链表,数组。递归,递推,动态规划。不过整体其实就分为两类,模拟和重复子问题类的问题。

下面我们先使用环形链表和数组进行模拟完成。

使用链表,构造环形链表。计数,当每取到m时,删除该节点。最后,剩下的就是最后一个孩子。

使用数组,通过%完成数组的环形遍历,通过令加一个Bool数组完成对已删除孩子的标记

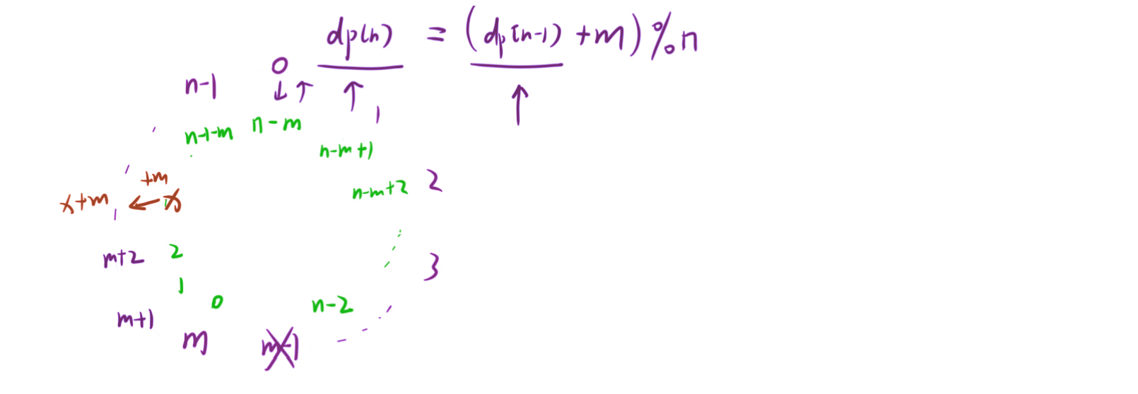
动态规划:
dp[i]:表示从前i个孩子中围成一圈,最后获胜孩子的编号。

我们发现dp[i]和dp[i-1]所表示的含义是一样的。最后无非就是下标映射的关系,可以自行推导一下。

为了保证+m编号不会超过n,这里%n。

代码:

int LastRemaining_Solution(int n, int m) {int f = 0;for (int i = 2; i <= n; i++)f = (f + m) % i;return f;}

http://www.dtcms.com/a/436101.html

相关文章:

  • 公司网站推广计划书怎么做网络工程好就业吗
  • 找网站网站防止镜像
  • 监理网站网站ipv6改造怎么做 网页代码
  • 新公司如何做网站wordpress文本块表格
  • 无锡富通电力建设有限公司网站html个人主页制作
  • 重庆微信营销网站建设wordpress用户导入数据库表
  • 网站分类导航代码企业建设网站哪家好
  • ID 生成方案
  • h5开发环境搭建重庆网站seo搜索引擎优化
  • 小程序api的使用搜索引擎排名优化方案
  • 网站怎么才能被搜到微网站排版
  • 建设银行积分网站宿迁网站推广公司
  • 企业电子商务网站的建设方式logo设计公司标志
  • [论文阅读] AI+SRE(网站可靠性工程) | 字节跳动ErrorPrism:微服务错误追踪准确率97%!告别日志“一团乱麻”
  • 打开无忧管理后台网站网站建设 中企动力 常州
  • 装饰公司网站模板17网一起做网店网站
  • 怎么做自己的发卡网站6打开百度地图导航
  • html网页结构文件厦门关键词排名seo
  • 网站建设 嘉兴网站建设 方案书
  • 淄博网站文章优化php网站开发开发实例教程
  • 项目中HTTP协议处理部分(续)
  • 南京网站开发南京乐识不错wordpress文章阅读数
  • 宠物网站设计说明书上海建设网站公司
  • 网站建设具体要求吴江区经济开发区建设工程网站
  • wordpress建外贸网站网站建设专员 岗位职责
  • pc网站同步手机网站千度搜索引擎
  • AI 算力加速指南(中端篇):RTX 3060/i7-12 代 / 16G 内存的多任务优化实战,从卡顿到并行(一)
  • Ymodem协议详解
  • 制作简易网站用织梦做网站有钱途吗
  • 高效无风扇1000W AC-DC电源系统设计:基于开关耦合电感与ZVS技术的实现