当前位置: 首页 > news >正文

数字信号处理 第二章(z变换与LSI系统频域分析)【下】

参考教程:https://www.bilibili.com/video/BV1qTCDYpEFr?spm_id_from=333.788.videopod.sections&vd_source=8f8a7bd7765d52551c498d7eaed8acd5

五、几何法画频率响应

1、累加器系统分析

2、LSI系统幅频响应的几何确定法

3、几何法画系统频率响应举例

六、特殊滤波器设计

1、简单一阶滤波器的设计

(1)设计数字滤波器的一般原则:

若想使设计的滤波器拒绝某个频率(不让该频率信号通过),应在单位圆上相应频率处设置一个零点

若想使设计的滤波器突出某个频率(使该频率信号尽量无衰减的通过),应在单位圆内相应的频率处设置一个极点,极点越接近单位圆,在该频率处的幅频响应幅值越大

(2)举例:

①例1:设计一个仅由一个零点调节的低通滤波器。

②例2:设计一个仅由一个零点调节的高通滤波器。

③例3:假设一模拟信号为x(t)=sin(2\pi \cdot 10t)+sin(2\pi \cdot 250t),设计一个由一个极点调节的一阶低通数字滤波器,将信号中的高频分量滤除。

(3)一阶低通滤波器设计中关于带宽的考虑:

2、数字谐振器的设计

(1)在电路中,当激励的频率等于电路的固有频率时,电路电磁振荡的振幅也将达到峰值,这个频率便称为谐振频率,对应到数字信号处理中,输入信号经过一个数字谐振器处理后,输出信号的频谱中应该突显谐振频率

(2)常见的二阶数字谐振器:

①带有一对共轭极点、原点处有一个零点的谐振器:

②带有一对共轭极点、两个零点的谐振器:

(3)举例:

(4)双音多频信号的产生:

        两个不同频率的音频信号进行线性叠加,可以生成不同频谱的信号,比如座机中的按键,每个按键音色相似,但因为频率不同,每个键音也会有所差异,它就是通过双音多频信号实现的,如下图所示

        两个音源(输入源)都是有特定频率的信号,为了得到这个信号,可以设计一个这样的系统,输入信号为\delta (n),其频谱恒为1(输入信号频谱为在整个频率范围均匀分布),那么输出信号的频率成分如何就完全取决于系统函数,它可以选择要保留的频率成分

3、数字陷波器的设计

(1)陷波器是一种特殊的带阻滤波器,其阻带在理想情况下只有一个频率点,主要用于消除某个特定频率的干扰,同时尽可能地保留其它频率成分。

(2)设计陷波器时不能只考虑消除某个特定频率的干扰,要同时考虑尽可能不影响其它频率成分,理想情况是陷波器的幅频响应在特定频率处有一个凹陷,其余位置幅频响应为1,对此可以采取极点与零点互相牵制的方法

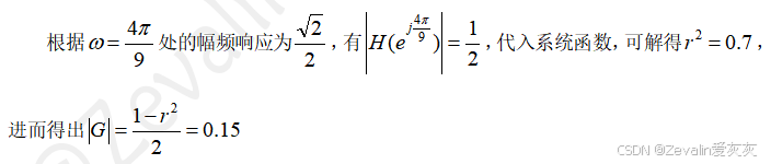
(3)举例:

(4)陷波器的阻带带宽非常窄,所以相关参数的设定必须满足高精度要求,否则可能会导致阻带偏移,达不到滤除指定频率噪声的目的。

4、全通滤波器的设计

(1)滤波器的幅度特性在整个频带[0,2\pi ]均等于常数,或者等于1,则该滤波器称为全通滤波器,信号通过全通滤波器后,其输出的幅度特性保持不变,仅相位发生变化,一般用于相位校正,又称相位均衡器。

(2)全通滤波器的系统函数的一般形式为

(3)实系数因果稳定全通滤波器的相位响应:

5、最小相位滤波器的设计

七、工程中常用的滤波方法

1、限幅滤波法

(1)算法思想:

(2)算法功能:有效克服因偶然因素引起的脉冲干扰。

2、中值滤波法

(1)算法思想:

(2)算法功能:有效克服因偶然因素引起的波动干扰,滤除奇异噪声点的同时有平滑滤波的效果。

3、算术平均(滑动平均)滤波法

(1)算法思想:

(2)算法功能:抑制信号中高频成分,平滑效果较好,但对偶然出现的脉冲性干扰的抑制作用较差。

4、几种融合型的滤波方法

(1)中值平均滤波法:

①连续采样N个数据,去掉一个最大值和一个最小值。

②计算剩余的N-2个数据的算术平均值。

(2)限幅平均滤波法:

①对每次采样到的新数据先进行限幅处理。

②再进行算术平均滤波处理。

(3)加权算术平均滤波法:

①不同时刻的数据加以不同的权,通常越接近现时刻的数据,权取得越大。

②给予新采样值的权系数越大,则灵敏度越高,但信号平滑度越低。

http://www.dtcms.com/a/435830.html

相关文章:

  • 网站开发常用哪几种语言阿里云官网登录入口
  • 企业网站明细费用简述营销网站建设包括哪些内容
  • 新乡网站开发的公司个人做网站法律风险
  • 高水平高职建设网站爱站网注册人查询
  • C++(2)之缺省参数和函数重载
  • 攻防世界-Web-NewsCenter
  • 濮阳住房建设厅网站网站建设视频上传
  • 网站建设 微信微博外包上线了 建立网站
  • 【多线程二】——线程安全
  • 网站建设属什么费用建网站莱阳哪家强?
  • 织梦建站系统教程网上房地产备案查询
  • 企业网站视频栏目建设方案汽车网站建设预算
  • 《嵌入式 – GD32开发实战指南(RISC-V版本)》第6章 按键
  • 《嵌入式 – GD32开发实战指南(RISC-V版本)》第4章 GD32VF103启动流程详解
  • 公司静态网站模板东乌珠穆沁旗网站建设
  • 网站怎么在微博推广个人网站 备案 攻略
  • 建设银行如何设置网站查询密码泰州网站建设策划
  • 基于django的电子商务网站开发山东城乡和住房建设厅官网
  • 无锡市网站搭建营销网站开发规划
  • 网站后台修改内容看不见了做移动端活动页面参考网站
  • 贵阳建立网站领动做的企业网站怎么样
  • VirtualBox 7.2.2安装踩坑记录
  • 重庆市工程建设信息西安seo盐城
  • 【Linux】Linux调试器----gdb/cgdb
  • 天津搜索引擎推广网站优化设计方案
  • 西安网站建设开发查派宜昌市住房和城乡建设局网站
  • 德州企业网站建设要素wordpress 纯代码 雪花
  • 柳州网站建设哪家好硬件开发是什么意思
  • linux学习笔记 (10) 进程的内存管理
  • Java学习笔记Day13