当前位置: 首页 > news >正文

神经网络中优化器的作用

优化器(Optimizer)在深度学习和大模型训练中起着核心作用,它是连接“模型预测误差”与“参数更新”的桥梁。简单来说:

优化器的作用是:根据损失函数的梯度,自动调整模型的参数(如权重和偏置),使模型逐步学会从输入到输出的正确映射。


一、为什么需要优化器?

在训练神经网络时,我们的目标是:

最小化损失函数 L(θ),其中 θ 是模型的所有可学习参数。

但模型一开始是“随机初始化”的,预测结果很差 → 损失很大。

我们无法手动去调每一个参数,因此需要一个自动化机制来一步步改进模型 —— 这就是优化器


二、优化器的核心任务

任务说明
🔍 计算梯度利用反向传播(Backpropagation)计算损失对每个参数的偏导数\frac{\partial L}{\partial \theta }
🧮 更新参数根据梯度和其他信息(如历史梯度、动量等),决定如何更新参数:

其中 ηη 是学习率(learning rate),控制步长。


三、常见优化器及其作用原理

1. SGD(随机梯度下降)

  • gt​:当前批次的梯度

优点:简单、计算快
缺点:容易震荡、收敛慢、易陷入局部极小


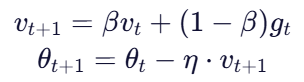
2. SGD + 动量(Momentum)

引入“动量”模拟物理中的惯性:

  • v:速度(累积历史梯度)
  • β:动量系数(通常 0.9)

作用

  • 加快收敛
  • 减少震荡
  • 帮助跳出局部极小

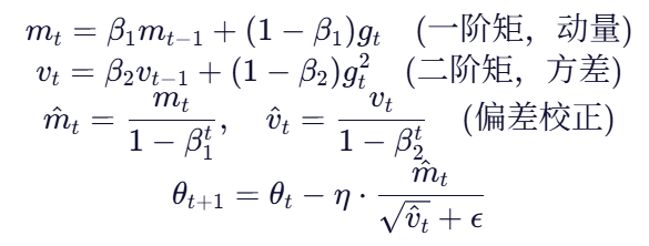
3. Adam(最常用)

结合了 动量(Momentum)自适应学习率(RMSProp)

优势

  • 自适应调整每个参数的学习率(重要参数更新小,不重要更新大)
  • 收敛快、稳定性好
  • 在大多数任务中表现优异(如 BERT、GPT 训练都用 Adam)

四、优化器的“作用”总结

角度说明
🎯 目标导向最小化损失函数,提升模型性能
⚙️ 参数更新机制提供一套规则,告诉模型“往哪个方向走、走多远”
🛠️ 加速训练如 Adam、RMSProp 可加快收敛速度
🧱 稳定训练防止梯度爆炸/消失,避免震荡
🌐 支持大规模模型能处理数十亿参数的更新(如 LLaMA、ChatGPT)

五、实际应用中的选择建议

场景推荐优化器
一般深度学习任务(CNN、RNN)Adam
大模型预训练(如 BERT、GPT)AdamW(Adam + 权重衰减修正)
精细微调SGD with Momentum(泛化更好)
快速实验Adam(收敛快)

💡 AdamW 是目前大模型最常用的优化器,它修正了 Adam 中权重衰减的实现方式,更适合 Transformer 架构。


六、代码示例(PyTorch)

import torch
import torch.nn as nn
import torch.optim as optim# 定义模型
model = nn.Transformer(d_model=512, nhead=8, num_encoder_layers=6)# 使用 AdamW 优化器
optimizer = optim.AdamW(model.parameters(), lr=5e-5, weight_decay=1e-4)# 训练循环
for input, target in dataloader:optimizer.zero_grad()output = model(input)loss = nn.CrossEntropyLoss()(output, target)loss.backward()          # 反向传播,计算梯度optimizer.step()         # 优化器更新参数

✅ 总结一句话:

优化器是深度学习的“导航系统”——它根据损失的梯度,智能地调整模型参数,引导模型一步步走向最优解。

没有优化器,神经网络就无法“学习”。

http://www.dtcms.com/a/434261.html

相关文章:

  • 电子商务网站建设的流程图什么是软文
  • 【代码管理】git使用指南(新手向)
  • 【大模型】Agent之:从Prompt到Context的演进之路
  • Docker 搭建 Nginx 并启用 HTTPS 具体部署流程
  • 【代码随想录day 34】 力扣 62.不同路径
  • 点击app图标进入网站怎么做小程序软件开发制作
  • 【Rust GUI开发入门】编写一个本地音乐播放器(15. 记录运行日志)
  • Rust模式匹配详解
  • 石家庄做网站建设公司安徽省建设厅网站职称申报
  • gitlab-runner 再次实践中理解和学习
  • C++之stack等容器适配器(上)实战篇
  • JavaWeb零基础学习Day1——HTMLCSS
  • Starting again-01
  • 如何做网站链接使用朝阳seo建站
  • Nivo 用React打造精美数据可视化的开源利器
  • 【iOS安全】iPhone X iOS 16.7.11 (20H360) Palera1n MacOS版 越狱教程
  • 【连载4】数据库热点更新场景调优策略
  • 深入解析HarmonyOS ArkTS:从语法特性到实战应用
  • 小杰深度学习(five)——正则化、神经网络的过拟合解决方案
  • 网页网站开发大概多少钱网站设计公司 深圳龙华
  • 门户网站是什么意思?网站建设哈尔滨app开发2
  • 《吃透 C++ vector:从基础使用到核心接口实战指南》
  • wordpress上传到哪里什么网站利于优化
  • [Web网页] 零基础入门 HTML
  • Nimble:让SwiftObjective-C测试变得更优雅的匹配库
  • HTML——1px问题
  • 【C++项目】基于微服务的即使通信系统
  • wordpress企业站模板建协官网
  • 【办公类-115-04】20250920职称资料上传03——压缩课题结题报告PDF的大小(控制在200MB以内)
  • Python - 100天从新手到大师:第二十七天Python操作PDF文件