当前位置: 首页 > news >正文

解码数据结构树

树的基本概念与核心术语

树是计算机科学中重要的非线性数据结构,其逻辑关系呈 “一对多” 层次结构,广泛应用于层级数据组织(如公司架构、族谱、文件系统)。

树的定义

树是由n(n≥0)个节点组成的有限集,分为两种情况:

空树n=0,即没有任何节点的树;

非空树:需满足两个条件:

  • 存在唯一的 “顶层” 节点,称为根节点(Root),它没有直接前驱(没有 “父节点”);
  • 除根节点外,其余节点可分为m(m≥0)个互不相交的有限集T₁、T₂、…、Tₘ,每个集合本身也是一棵树,称为根节点的子树(Subtree)

树的术语(结合 “家族树” )

左侧图片描述右侧图片描述
术语定义(通俗解释)例子
双亲 / 孩子若节点 A 是子树 T 的根,则 A 是 T 中所有节点的双亲(Parent),T 中节点是 A 的孩子(Child)家族中父母与子女的关系,如根节点 A 有子树 T₁(根为 B),则 A 是 B 的双亲,B 是 A 的孩子
兄弟同一双亲的多个孩子之间互称兄弟(Sibling)同一父母的子女,如 A 的孩子 B 和 H 是兄弟
祖先 / 子孙从根到某节点的路径上所有节点是该节点的祖先;某节点子树中的所有节点是该节点的子孙节点 D 的祖先为 A、B、C(路径 A→B→C→D);B 的子孙为 C、D、E、F
节点拥有的子树数量(即孩子数量)节点 A 有 2 个孩子(B、H),则 A 的度为 2;叶子节点度为 0
叶子节点度为 0 的节点(没有孩子,是 “最底层” 节点),也叫终端节点节点 D、E、F、G、I(没有子树)
分支节点度不为 0 的节点(有至少一个孩子),也叫非终端节点(根节点可能是分支节点)节点 A、B、H、C(都有子树)
层次根节点为第 1 层,其子节点为第 2 层,以此类推(部分教材从 0 层开始,需注意场景)根 A(1 层)→ 孩子 B、H(2 层)→ 孙子 C、G(3 层)→ 曾孙 D、E、F、I(4 层)
深度 / 高度树的最大层次(即 “最深” 节点的层次),深度和高度在树中通常同义上述树的最大层次是 4,故深度(高度)为 4

二叉树的定义与常见类型

二叉树是树的特殊形式,也是实际应用中最广泛的树结构,其核心特点是 “有序” 且 “子树数量有限”。

二叉树的定义

二叉树是n(n≥0)个节点的有限集,每个节点至多有 2 棵子树(度≤2),且子树有明确的左右顺序 —— 分别称为左子树(Left Subtree)右子树(Right Subtree),即使只有一棵子树,也需区分 “左” 或 “右”。

  • 空二叉树:n=0

  • 非空二叉树:可分为 5 种基本形态:

    image

常见二叉树类型

斜树

  • 所有节点都只有左子树(左斜树)或只有右子树(右斜树),本质上退化为线性结构(类似链表),无法体现二叉树的高效性。
    斜树

满二叉树

  • 定义:高度为h的二叉树,节点总数为2ʰ - 1(每一层的节点数都达到最大值);

  • 特点:

    • 所有分支节点的度均为 2(每个节点都有左、右子树);
    • 叶子节点全部集中在最底层(第h层);
    • 满二叉树的节点数是同高度二叉树中最多的。

    image

完全二叉树

  • 定义:按 “从上到下、从左到右” 的顺序给节点编号,若编号为i的节点与 “高度相同的满二叉树” 中编号i的节点位置完全一致,则为完全二叉树;

  • 核心特点:

    • 只有最底层的节点可能不满,且最底层的叶子节点全部集中在左侧;
    • 除最底层外,其他层的节点数均为最大值(即满二叉树的对应层节点数);
  • 关系:满二叉树一定是完全二叉树,但完全二叉树不一定是满二叉树

    image

二叉查找树(BST,Binary Search Tree)

又称二叉排序树,是 “支持高效查找、插入、删除” 的二叉树,核心是节点键值(key)的有序性

  • 性质:

    • 若左子树非空,则左子树中所有节点的键值 < 根节点的键值;
    • 若右子树非空,则右子树中所有节点的键值 > 根节点的键值;
    • 左、右子树也分别是二叉查找树(递归性质);
    • 节点键值唯一(无重复)。

    image

  • 图解二叉排序树与操作示例

    image

    image

    image

    image

    image

    image

    image

    image

    image

    image

  • 优势:查找、插入、删除的平均时间复杂度为O(logn)(类似二分查找);若退化为斜树,时间复杂度会变为O(n)(需平衡二叉树优化)。

平衡二叉树(AVL 树)

为解决二叉查找树退化为斜树的问题,平衡二叉树在 BST 的基础上增加了 “平衡条件”:

  • 定义:树中任意节点的左子树深度与右子树深度之差(平衡因子)的绝对值 ≤ 1(平衡因子 = 左子树深度 - 右子树深度,取值为 - 1、0、1);

  • 特点:始终保持树的 “平衡”,确保查找、插入、删除的时间复杂度稳定为O(logn)

    image

二叉树的重要性质

性质 1:叶子节点数 = 双分支节点数 + 1

  • 符号定义:
    • n₀:叶子节点数(度为 0);
    • n₁:单分支节点数(度为 1);
    • n₂:双分支节点数(度为 2);
    • 总节点数 n = n₀ + n₁ + n₂
  • 推导过程:
    1. 树的 “边数” = 总节点数 - 1(任意树中,边数比节点数少 1,如 2 个节点 1 条边);
    2. 边数也可通过 “节点度” 计算:单分支节点贡献 1 条边,双分支节点贡献 2 条边,叶子节点贡献 0 条边,故边数 = n₁×1 + n₂×2
    3. 联立得:n₁ + 2n₂ = (n₀ + n₁ + n₂) - 1,化简后 n₀ = n₂ + 1

eg 1:有 10 个叶子节点的二叉树中,度为 2 的节点数是多少?

  • 解析:由n₀ = n₂ + 1,得n₂ = n₀ - 1 = 10 - 1 = 9

eg 2:一棵二叉树有 10 个度为 2 的节点,5 个度为 1 的节点,求叶子节点数?

  • 解析:n₀ = n₂ + 1 = 10 + 1 = 11

性质 2:第i层最多有2^(i-1)个节点(i≥1

  • 推导:第 1 层(根)最多 1 个节点(2⁰=1);第 2 层最多 2 个节点(2¹=2);第 3 层最多 4 个节点(2²=4);每层节点数是上一层的 2 倍,故第i层最多2^(i-1)个。
  • 例子:第 4 层最多2³=8个节点(与满二叉树第 4 层节点数一致)。

性质 3:高度为h的二叉树,最多有2ʰ - 1个节点(h≥1

  • 推导:总节点数是各层最大节点数之和,即1 + 2 + 4 + ... + 2^(h-1),这是等比数列求和,结果为2ʰ - 1
  • 注意:此情况即 “满二叉树”(所有层节点数均为最大值)。

eg 3:高度为h的完全二叉树至多有多少个节点?

  • 解析:完全二叉树的最大节点数即同高度满二叉树的节点数,故为2ʰ - 1

eg 4:对一棵满二叉树,共有n个节点、m个叶子节点、高度h,下列正确的是?

  • 解析:满二叉树节点数n=2ʰ - 1(性质 3);叶子节点m=2^(h-1)(最底层节点数)。

性质 4:完全二叉树的节点编号特性

若完全二叉树节点按 “从上到下、从左到右” 编号(从 1 开始),则对编号为i的节点:

  • 左孩子编号:2i(若2i ≤ n,否则无左孩子);
  • 右孩子编号:2i + 1(若2i + 1 ≤ n,否则无右孩子);
  • 父节点编号:i//2i>1,若i=1则为根,无父节点)。
  • 例子:编号 3 的节点,左孩子 6、右孩子 7;编号 5 的父节点 2。

二叉树的存储结构

存储二叉树需体现 “节点数据” 和 “左、右子树的逻辑关系”,常见两种存储方式:

顺序存储(数组存储)

原理

用一组地址连续的数组存储节点,按 “完全二叉树的编号顺序” 存放:编号为i的节点,存储在数组下标为i-1的位置(数组从 0 开始);若节点不存在(非完全二叉树的空节点),用特殊值(如 0)标记。

适用场景

  • 适合满二叉树、完全二叉树:无空间浪费,且可通过数组下标快速找到父 / 子节点(利用性质 4);
  • 不适合一般二叉树(如斜树):会产生大量空位置(用 0 填充),严重浪费空间。

image

代码

// 定义宏:最大节点数(可根据需求调整)
#define MAX_SIZE 100
// 定义空节点标记(假设数据为整数,用-1表示空)
#define EMPTY -1// 顺序存储二叉树的结构体
typedef struct {int data[MAX_SIZE];  // 存储节点数据的数组int count;           // 当前节点总数
} SeqBinaryTree;// 初始化空的顺序二叉树
void InitSeqBinaryTree(SeqBinaryTree *tree) {if (tree == NULL) return;// 初始化所有位置为空for (int i = 0; i < MAX_SIZE; i++) {tree->data[i] = EMPTY;}tree->count = 0;  // 初始节点数为0
}// 插入节点(按完全二叉树的层次顺序插入,即"从上到下、从左到右")
// 注:插入时需保证父节点已存在(根节点除外)
bool InsertNode(SeqBinaryTree *tree, int value) {if (tree == NULL) return false;// 检查是否已满if (tree->count >= MAX_SIZE) {printf("二叉树已满,无法插入\n");return false;}// 插入到数组的末尾(对应完全二叉树的下一个位置)tree->data[tree->count] = value;tree->count++;return true;
}// 获取节点的父节点(数组下标从0开始)
// 参数:节点在数组中的下标(index)
// 返回:父节点的值(空则返回EMPTY)
int GetParent(SeqBinaryTree *tree, int index) {if (tree == NULL || index < 0 || index >= tree->count) {return EMPTY;  // 下标无效}if (index == 0) {return EMPTY;  // 根节点(下标0)无父节点}// 父节点下标 = (当前下标 - 1) / 2(整数除法)int parentIndex = (index - 1) / 2;return tree->data[parentIndex];
}// 获取节点的左孩子
// 参数:节点在数组中的下标(index)
// 返回:左孩子的值(空则返回EMPTY)
int GetLeftChild(SeqBinaryTree *tree, int index) {if (tree == NULL || index < 0 || index >= tree->count) {return EMPTY;  // 下标无效}// 左孩子下标 = 2 * 当前下标 + 1int leftIndex = 2 * index + 1;if (leftIndex >= tree->count) {return EMPTY;  // 左孩子不存在}return tree->data[leftIndex];
}// 获取节点的右孩子
// 参数:节点在数组中的下标(index)
// 返回:右孩子的值(空则返回EMPTY)
int GetRightChild(SeqBinaryTree *tree, int index) {if (tree == NULL || index < 0 || index >= tree->count) {return EMPTY;  // 下标无效}// 右孩子下标 = 2 * 当前下标 + 2int rightIndex = 2 * index + 2;if (rightIndex >= tree->count) {return EMPTY;  // 右孩子不存在}return tree->data[rightIndex];
}// 层序遍历(按数组顺序访问非空节点,即层次顺序)
void LevelOrderTraversal(SeqBinaryTree *tree) {if (tree == NULL || tree->count == 0) {printf("二叉树为空\n");return;}printf("层序遍历结果:");for (int i = 0; i < tree->count; i++) {printf("%d ", tree->data[i]);}printf("\n");
}

链式存储(二叉链表)

原理

用 “链表节点” 存储每个元素,每个节点包含 3 个部分:

  • 数据域:存储节点的值(如 key);
  • 左指针域:指向左孩子节点的地址;
  • 右指针域:指向右孩子节点的地址;
  • 若某子树不存在,指针域设为NULL

image

节点结构定义

// 二叉树节点结构体
typedef int DataType_t; // 数据类型(可根据需求修改)
typedef struct BSTnode {DataType_t data;          // 数据域struct BSTnode *lchild;   // 左孩子指针struct BSTnode *rchild;   // 右孩子指针
} BSTnode_t;

适用场景

  • 适合所有二叉树,尤其是一般二叉树:无空间浪费,插入 / 删除时只需调整指针,无需移动大量元素;
  • 缺点:无法像顺序存储那样快速查找父节点(需额外存储父指针,即 “三叉链表”,此处暂不展开)。

二叉树的遍历

遍历是 “按一定顺序访问二叉树所有节点,且每个节点仅访问一次”,是获取树中数据的核心操作。常见遍历方式分为 “深度优先” 和 “广度优先”。

深度优先遍历(DFS)

优先遍历子树(深入到最底层后再回溯),包括前序、中序、后序三种,核心是 “根节点的访问时机”。

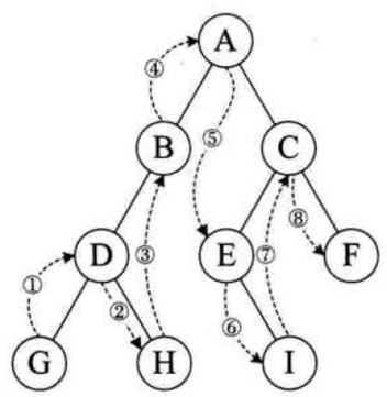
前序遍历(根 → 左 → 右)

  • 顺序:先访问根节点,再递归遍历左子树,最后递归遍历右子树;
  • eg:前序序列为:A → B → D → G → H → E → I → C → F

image

中序遍历(左 → 根 → 右)

  • 顺序:先递归遍历左子树,再访问根节点,最后递归遍历右子树;
  • 关键:二叉查找树的中序遍历序列是严格递增的(核心特性,用于验证 BST 正确性);
  • eg:中序序列为:G → D → H → B → I → E → A → F → C

image

后序遍历(左 → 右 → 根)

  • 顺序:先递归遍历左子树,再递归遍历右子树,最后访问根节点;
  • eg:后序序列为:G → H → D → I → E → B → F → C → A

image

递归实现代码

// 前序遍历
void PreOrder(BSTnode_t *root) {if (root != NULL) {          // 若节点非空printf("%d ", root->data); // 访问根节点PreOrder(root->lchild);   // 遍历左子树PreOrder(root->rchild);   // 遍历右子树}
}// 中序遍历
void InOrder(BSTnode_t *root) {if (root != NULL) {InOrder(root->lchild);    // 遍历左子树printf("%d ", root->data); // 访问根节点InOrder(root->rchild);    // 遍历右子树}
}// 后序遍历
void PostOrder(BSTnode_t *root) {if (root != NULL) {PostOrder(root->lchild);  // 遍历左子树PostOrder(root->rchild);  // 遍历右子树printf("%d ", root->data); // 访问根节点}
}

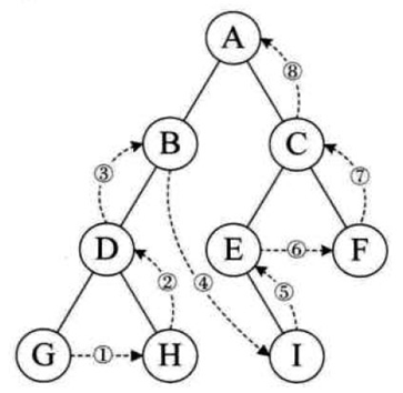
广度优先遍历(BFS,层序遍历)

原理

按 “层次顺序” 访问节点(先访问第 1 层,再第 2 层,…,最后第h层),需借助队列实现(先进先出):

  • 初始化队列,将根节点入队;
  • 若队列非空,出队队首节点并访问;
  • 若该节点有左孩子,左孩子入队;若有右孩子,右孩子入队;
  • 重复步骤 2~3,直到队列为空。

代码

// 二叉树节点结构体
typedef int DataType_t;
typedef struct BSTnode {DataType_t data;struct BSTnode *lchild;struct BSTnode *rchild;
} BSTnode_t;// 队列节点结构体(用于存储二叉树节点的指针)
typedef struct QueueNode {BSTnode_t *treeNode;       // 指向二叉树节点struct QueueNode *next;    // 指向队列中下一个节点
} QueueNode_t;// 队列结构体(队头+队尾指针)
typedef struct {QueueNode_t *front;        // 队头(出队端)QueueNode_t *rear;         // 队尾(入队端)
} Queue_t;// 初始化队列(创建空队列)
void Queue_Init(Queue_t *queue) {queue->front = NULL;queue->rear = NULL;
}// 入队操作(将二叉树节点指针加入队列)
void Queue_Enqueue(Queue_t *queue, BSTnode_t *treeNode) {// 创建新的队列节点QueueNode_t *newNode = (QueueNode_t *)malloc(sizeof(QueueNode_t));newNode->treeNode = treeNode;  // 存储二叉树节点指针newNode->next = NULL;if (queue->rear == NULL) {  // 队列空时,队头和队尾都指向新节点queue->front = newNode;queue->rear = newNode;} else {  // 队列非空时,新节点加到队尾queue->rear->next = newNode;queue->rear = newNode;}
}// 出队操作(取出队头的二叉树节点指针)
BSTnode_t *Queue_Dequeue(Queue_t *queue) {if (queue->front == NULL) {  // 队列为空,返回NULLreturn NULL;}// 保存队头节点QueueNode_t *temp = queue->front;BSTnode_t *treeNode = temp->treeNode;  // 取出二叉树节点指针// 更新队头queue->front = queue->front->next;if (queue->front == NULL) {  // 若队头为空,队尾也置空(队列变空)queue->rear = NULL;}free(temp);  // 释放队列节点的内存return treeNode;
}// 判断队列是否为空
bool Queue_IsEmpty(Queue_t *queue) {return (queue->front == NULL);
}// 层序遍历(广度优先遍历)
void LevelOrder(BSTnode_t *root) {if (root == NULL) {  // 空树,直接返回printf("二叉树为空,无法遍历\n");return;}Queue_t queue;Queue_Init(&queue);       // 初始化队列Queue_Enqueue(&queue, root);  // 根节点入队printf("层序遍历结果:");while (!Queue_IsEmpty(&queue)) {  // 队列非空时循环BSTnode_t *current = Queue_Dequeue(&queue);  // 出队队首节点printf("%d ", current->data);  // 访问当前节点// 左孩子入队(若存在)if (current->lchild != NULL) {Queue_Enqueue(&queue, current->lchild);}// 右孩子入队(若存在)if (current->rchild != NULL) {Queue_Enqueue(&queue, current->rchild);}}printf("\n");
}

eg

上述树的层序序列为:A → B → C → D → E → F → G → H → I

由遍历序列还原二叉树

需至少两种遍历序列(其中一种是中序),核心是 “通过前序 / 后序找根,通过中序分左右子树”。

eg:已知前序序列ABDEGHCF,中序序列DBGEHACF,求后序序列。

  • 步骤 1:前序第一个节点是根(A),在中序中划分左子树(DBGEH)和右子树(CF);
  • 步骤 2:处理左子树(前序BDEGH,中序DBGEH):
    • 前序第一个节点是左子树根(B),中序分左子树(D)和右子树(GEH);
    • 左子树D(前序D,中序D):叶子节点;
    • 右子树GEH(前序EGH,中序GEH):根E,左子树G,右子树H
  • 步骤 3:处理右子树(前序CF,中序CF):
    • 前序第一个节点是右子树根(C),中序右子树(F):叶子节点;
  • 步骤 4:还原树后,后序序列为D → G → H → E → B → F → C → A

二叉查找树(BST)的核心操作

BST 的操作需始终保持 “左子树 key < 根,右子树 key> 根” 的性质,以下基于链式存储实现。

BST 的节点创建与树初始化

// 创建新节点
BSTnode_t *BSTree_NewNode(DataType_t data) {BSTnode_t *newNode = (BSTnode_t *)calloc(1, sizeof(BSTnode_t)); // 申请内存并初始化0if (newNode == NULL) {perror("内存申请失败");return NULL;}newNode->data = data;    // 赋值数据newNode->lchild = NULL; // 左指针初始为空newNode->rchild = NULL; // 右指针初始为空return newNode;
}// 初始化BST(创建根节点)
BSTnode_t *BSTree_Create(DataType_t rootVal) {return BSTree_NewNode(rootVal); // 根节点即新创建的节点
}

BST 的插入操作

思路

  • 若树为空,直接将新节点作为根;
  • 若树非空,从根开始比较:
    • 新节点 key < 当前节点 key:若左子树为空,插入左子树;否则递归左子树;
    • 新节点 key > 当前节点 key:若右子树为空,插入右子树;否则递归右子树;
    • (key 相等时,BST 通常不允许重复,直接返回)。

代码实现

BSTnode_t *BSTree_Insert(BSTnode_t *root, DataType_t data) {if (root == NULL) {          // 树空,插入新节点return BSTree_NewNode(data);}if (data < root->data) {     // 新数据小,插入左子树root->lchild = BSTree_Insert(root->lchild, data);} else if (data > root->data) { // 新数据大,插入右子树root->rchild = BSTree_Insert(root->rchild, data);}return root; // 数据相等,不插入,返回原根
}

BST 的查找操作

思路

  • 若树为空或当前节点 key 等于目标 key,返回当前节点;
  • 若目标 key < 当前节点 key,递归查找左子树;
  • 若目标 key > 当前节点 key,递归查找右子树。

代码实现

BSTnode_t *BSTree_Search(BSTnode_t *root, DataType_t target) {if (root == NULL || root->data == target) { // 空树或找到目标return root;}if (target < root->data) { // 目标小,查左子树return BSTree_Search(root->lchild, target);} else { // 目标大,查右子树return BSTree_Search(root->rchild, target);}
}

BST 的删除操作(重点)

删除需分 3 种情况,核心是 “删除后保持 BST 性质”。

情况 1:删除的节点是叶子节点(无左、右子树)

  • 操作:直接删除该节点,将其双亲的对应指针(左 / 右)设为NULL
  • 例子:删除叶子节点G,只需将D的左指针设为NULL,释放G

情况 2:删除的节点有一个子节点(左或右)

  • 操作:用该节点的子节点 “替换” 被删除节点(即让被删除节点的双亲指向其子节点),释放被删除节点;
  • 例子:删除节点E(只有右子树I),将B的右指针指向I,释放E

情况 3:删除的节点有两个子节点(左、右子树均非空)

  • 核心思路:找 “替代节点”(保持 BST 性质),有两种选择:
    • 左子树的最大节点(左子树中最右侧的节点,该节点无右子树);
    • 右子树的最小节点(右子树中最左侧的节点,该节点无左子树);
  • 操作步骤(以左子树最大节点为例):
    • 找到被删除节点左子树的最大节点(记为tmp);
    • tmp的数据赋值给被删除节点(覆盖,相当于 “替换”);
    • 递归删除tmptmp最多有一个子节点,按情况 1 或 2 处理)。

eg:删除下述树的15节点

image
image

代码实现

// 找到左子树的最大节点(辅助函数)
BSTnode_t *BSTree_FindMax(BSTnode_t *root) {while (root->rchild != NULL) { // 最大节点在最右侧root = root->rchild;}return root;
}// BST删除节点
BSTnode_t *BSTree_Delete(BSTnode_t *root, DataType_t data) {if (root == NULL) { // 树空,无节点可删return NULL;}// 找到要删除的节点if (data < root->data) { // 删左子树的节点root->lchild = BSTree_Delete(root->lchild, data);} else if (data > root->data) { // 删右子树的节点root->rchild = BSTree_Delete(root->rchild, data);} else { // 找到目标节点,分3种情况删除// 情况1:叶子节点或只有一个子节点if (root->lchild == NULL) { // 无左子树,用右子树替换BSTnode_t *tmp = root->rchild;free(root); // 释放被删除节点return tmp;} else if (root->rchild == NULL) { // 无右子树,用左子树替换BSTnode_t *tmp = root->lchild;free(root);return tmp;}// 情况2:有两个子节点,找左子树最大节点替换BSTnode_t *maxLeft = BSTree_FindMax(root->lchild); // 左子树最大节点root->data = maxLeft->data; // 替换数据// 递归删除左子树的最大节点(此时maxLeft最多有一个子节点)root->lchild = BSTree_Delete(root->lchild, maxLeft->data);}return root;
}

BST 程序正确性验证

可借助drawtree.h工具生成可视化网页,步骤如下:
drawtree.h

  • drawtree.h头文件与源文件放在同一目录,在源文件中用#include "drawtree.h"包含;
  • 修改drawtree.h中的数据类型(如DataType_t)和节点结构体(确保与自定义的BSTnode_t一致,尤其是左 / 右指针名);
  • 在代码中调用drawtree()函数,传入 BST 的根节点;
  • 编译并运行程序,当前目录会生成tree.html,打开网页即可查看 BST 的结构,验证插入 / 删除后的正确性。

二叉树经典算法题

算法 1:计算二叉树的总节点数

思路(递归)

  • 空树:0 个节点;
  • 非空树:1(根节点) + 左子树节点数 + 右子树节点数。

代码

int BSTree_GetTotalNodes(BSTnode_t *root) {if (root == NULL) {return 0;}return 1 + BSTree_GetTotalNodes(root->lchild) + BSTree_GetTotalNodes(root->rchild);
}

算法 2:计算二叉树的叶子节点数

思路(递归)

  • 空树:0 个叶子;
  • 若节点左、右子树均为空:1 个叶子;
  • 否则:左子树叶子数 + 右子树叶子数。

代码

int BSTree_GetLeafNodes(BSTnode_t *root) {if (root == NULL) {return 0;}// 左右子树均空,是叶子节点if (root->lchild == NULL && root->rchild == NULL) {return 1;}// 递归统计左右子树的叶子return BSTree_GetLeafNodes(root->lchild) + BSTree_GetLeafNodes(root->rchild);
}

算法 3:计算二叉树的高度(深度)

思路(递归)

  • 空树:高度 0;
  • 非空树:1 + max (左子树高度,右子树高度)。

代码

int BSTree_GetHeight(BSTnode_t *root) {if (root == NULL) {return 0;}int leftH = BSTree_GetHeight(root->lchild);  // 左子树高度int rightH = BSTree_GetHeight(root->rchild); // 右子树高度return 1 + (leftH > rightH ? leftH : rightH); // 取较大值加1
}
http://www.dtcms.com/a/428459.html

相关文章:

  • 通信中级(综合能力)小范围重点
  • 私人做网站有什么用建设网站需要哪些元素
  • 网站开发整体流程公众号怎么做微网站吗
  • 网站制作上首页图片在线设计网站
  • 多线程逻辑备份工具 mydumper 全方位解析:备份恢复原理与实战用法
  • C++ 运算符重载与友元:实现优雅直观的类操作
  • 开源外贸网站升降平台找企汇优做网站推广
  • 汽车之家 网站建设网站设计的风格有哪些
  • Windows上部署FTP详解
  • 沙河做网站重庆丰都建设局网站
  • 企业网站建设情况汇报网页设计费用明细
  • 集群服务器架构学习计划
  • YOLO入门教程(番外):计算机视觉—图像增广
  • 学院网站建设项目的活动分解沟通交流类网站有哪些
  • 吕梁建站公司大连网站制作公司
  • 吉安网站推广软文营销定义
  • web前端团队开发code review方案最佳实践
  • 张槎网站建设企业网站建设与管理作业
  • 网站找什么公司做网站开发的难点
  • Android Studio | 设置国内代理(SDK 设置国内代理(阿里云镜像))
  • 怎么注销建设银行网站用户名设计网站费用多少
  • 【更新至2024年】1999-2024年上市公司数字化转型程度数据(含原始数据+计算代码+结果)
  • 优化网站建设哪家专业wordpress tag 别名
  • Android 常见界面布局详解
  • 4-创建索引和约束
  • 百度竞价网站永久免费网站虚拟主机
  • 做商城网站的广州站电话
  • 中小企业网站制作方法建网页和网站的区别
  • 【星海出品】cache和程序性能
  • 国外设计网站建站之星怎么收费