当前位置: 首页 > news >正文

PDN目标阻抗的局限与恶劣波评估

本期介绍一篇来自DesignCon2015的文章《Target Impedance Limitations and Rogue Wave Assessments on PDN Performance》。文章围绕电源分配网络(PDN)中目标阻抗评估方法的局限性展开研究,通过理论分析、模型仿真和优化求解,揭示了该方法的不足,并给出更合理的评估建议。

PDN设计与目标阻抗

    在高速电路的电源仿真中,我们常用的方法是目标阻抗法--为PDN制定目标阻抗确保PDN阻抗在目标阻抗之下,进而确保电源轨上电压噪声在允许范围内,其计算公式为 :

图片

    但实际 PDN 阻抗曲线并非理想平坦,存在多个谐振和反谐振点。本文重点探讨了使用目标阻抗作为评估方法的根本缺陷。通过简单的集总元件模型以及频域和时域仿真,突出了关键问题。使用ADS建模仿真来确定给定容差下的最佳和最差情况下的电压噪声。

电压与电流关系的理论分析

    并联 RLC 电路的拉普拉斯解可以很容易地根据通过 R、L 和 C 元件的电流来评估。

图片

经过整理可以求解噪声电压 V:

图片

    如果电流信号是幅度为

图片

的单位阶跃信号,那么电流信号的拉普拉斯变换是

图片

,电压可以写成:

图片

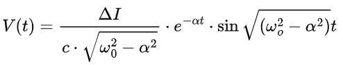
    在欠阻尼情况下,结果为:

图片

    其中

图片

    并联 RLC 电路的品质因数 Q 定义为

http://www.dtcms.com/a/31564.html

相关文章:

  • C++ 智能指针 unique_ptr shared_ptr weak_ptr小练习
  • 【Java基础-49】Java线程池及其基本应用详解
  • 强化学习的数学原理-六、随机近似与随机梯度下降
  • HTML之JavaScript DOM简介
  • Python中的闭包和装饰器
  • 静态时序分析:时钟组间的逻辑独立、物理独立和异步的区别
  • Perplexity AI:通过OpenAI与DeepSeek彻底革新搜索和商业策略
  • 过程监督(Process Supervision)融入到 GRPO (Group Relative Policy Optimization)
  • MT7628基于原厂的SDK包, 修改ra1网卡的MAC方法。
  • 【ORB-SLAM3】鲁棒核函数的阈值设置
  • docker-rss:容器更新的RSS订阅源
  • 卷积与动态特征选择:重塑YOLOv8的多尺度目标检测能力
  • 商汤绝影发布全新端到端自动驾驶技术路线R-UniAD
  • 【Python爬虫(49)】分布式爬虫:在新兴技术浪潮下的蜕变与展望
  • 从0开始:OpenCV入门教程【图像处理基础】
  • 【网络】高级IO
  • sklearn中的决策树
  • Java子类调用父类构造器的应用场景
  • STM32-有关内存堆栈、map文件
  • ROS2 应用:按键控制 MoveIt2 中 Panda 机械臂关节位置
  • golang内存泄漏
  • 下载CentOS 10
  • 探索未知:alpha测试的神秘序章【量化理论】
  • 模块化设计的力量:从「乐高积木」看组合式开发如何降低软件工程风险
  • SpringCloud系列教程:微服务的未来(二十五)-基于注解的声明队列交换机、消息转换器、业务改造
  • Ubuntu 查看mysql用户和数据库
  • 使用postman测试api接口基本步骤
  • 【Python】Python顺序语句经典题合集
  • RT_Thread 内核启动分析
  • 家用路由器的WAN口和LAN口有什么区别