软件中级考试之软件设计师下午篇ER图做题方法总结
目录
- 软件中级考试之软件设计师下午篇ER图做题方法总结
- 题目描述
- 题型概括
- 1. 补充关系模式描述
- `一个空可能对应多个列名(额外考虑的列名一般是其他实体的主键,根据对应关系确定额外的列名)`
- 2. 补充E-R图
- `联系有三元关系`
- `关系本身需要添加属性` 2023上半年考察
- 3. 分析关系模式的主键和外键(标注主键和外键完整性约束)
- `主键(PK)的确定方法`
- `外键(FK)的确定方法`
- `弱实体的主键需包含所有者实体的主键`
- 4. 问答题-数据库的规范化
- 5. 问答题-数据库的相关概念
- 6. 问答题- 新增实体
- 例题
软件中级考试之软件设计师下午篇ER图做题方法总结
题目描述
- 业务场景说明
- 需求分析结果
- 概念模型设计(给出不完整的实体联系图)
- 关系模式设计(给出不完整的关系模式描述)
题型概括
1. 补充关系模式描述
补充数据库表格的列名
做题技巧:
一个空可能对应多个列名(额外考虑的列名一般是其他实体的主键,根据对应关系确定额外的列名)
总结:外键存储规则
| 关系类型 | 外键存储位置 | 是否允许双向外键? | 示例场景 |
|---|---|---|---|
| 1:1 | 任选一方存储(查询频率高的一方) | 是(需唯一约束) | 员工 ↔ 社保卡 |
| 1:M | 必须存储在“多”的一方 | 否 | 部门 ↔ 员工 |
| M:N | 必须通过关联表存储 | 否 | 学生 ↔ 课程 |
2. 补充E-R图
根据问题描述,补充 n n n 个联系,实体联系图(需要画图)。联系名可用 联系 i = { 1 , , 2 , ⋯ , n } i=\{1,,2,\cdots,n\} i={1,,2,⋯,n} 表示 ,联系的类型为1:1,1:n 和 m:n( 或 1:1,1:∗ 和 ∗:∗ )
以下是ER图(Entity-Relationship Diagram)中常见图形符号及其含义的表格总结,适用于数据库设计中的概念模型表示:
做题技巧:
联系有三元关系
三元关系描述及图:
”当客户入住时,业务员根据客户的预定申请负责安排入住客房事宜。...一名业务员可以安排多个预定申请,一个预定申请只由一名业务员安排,而且可安排多间同类型的客房。 “

“主管根据用户申请为已受理的用户申请制定策划任务。... 一名主管可以制定多个策划任务,一个用户申请只由一名主管策划,而且可策划多个任务。”

加深理解多元联系
多加练习
关系本身需要添加属性 2023上半年考察
设计原则总结
| 情况 | 是否需要关系属性 | 示例 | 实现方式 |
|---|---|---|---|
多对多(M:N) | 是 | 学生选课的成绩、时间 | 关联表存储属性 |
| 一对多(1:M)的复杂场景 | 是(罕见) | 订单商品的折扣 | 关联表模拟M:N |
三元/多元关系 | 是 | 医生-患者-预约的状态 | 关联表存储多方外键+属性 |
| 弱实体的标识性关系 | 是 | 订单项的添加时间 | 弱实体表包含属性和外键 |
| 简单1:M或1:1 | 否 | 部门-员工、用户-个人资料 | 外键直接存储在子表中 |
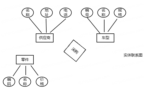
习题描述:记录零件采购信息,某个车型的某种零件可以从多家供应商采购,某种零件也可以被多个车型采用某家供应商也可以供应多种零件,还包括采购数量和采购日期。据此补充E-R图


ER图常见图形符号及含义
E-R图理解
符号来源
| 图形符号 | 名称 | 含义 | 示例 |
|---|---|---|---|
| 矩形 ▭ | 实体(Entity) | 表示现实中的独立对象或事物,对应数据库中的表。 | 学生、课程、员工 |
| 椭圆 ⬭ | 属性(Attribute) | 描述实体的特征,对应表中的列。下划线标注为主键属性。 | 学号、姓名、价格 |
| 菱形 ◊ | 关系(Relationship) | 表示实体间的关联,动词短语描述(如“属于”“选修”)。 | 选课、所属部门、订购 |
| 直线 ─ | 连接线 | 链接实体与属性,或实体与关系。 | 学生 ─ 学号 |
3. 分析关系模式的主键和外键(标注主键和外键完整性约束)
主键(PK)的确定方法
- 定义:唯一标识表中每条记录的字段或字段组合,且不允许为空(NOT NULL)。
- 分析步骤:
- 步骤1:找出能唯一确定一条记录的字段(如学号、身份证号)。
- 步骤2:若无单字段唯一标识,则用最小字段组合作为复合主键(如(订单ID, 商品ID))。
主键为全码表示表中所有属性共同组成主键,常见于纯关联表或组合唯一性约束的场景。
设计意义:确保数据唯一性,避免部分依赖,直接满足BCNF。
软考考点:在分析关系模式时,若发现所有属性均需参与唯一标识,则主键为全码。
外键(FK)的确定方法
- 定义:一个表中的字段引用另一个表的主键,用于维护参照完整性。
- 分析步骤:
- 步骤1:明确实体间的关系类型(1:1、1:M、M:N)。
- 步骤2:根据关系类型决定外键位置:
- 1:1:外键可放在任一方(通常选查询频率高的一方)。
- 1:M:外键放在“多”的一方。
- M:N:通过
关联表存储双方主键作为外键。
弱实体的主键需包含所有者实体的主键
- 弱实体的主键需包含所有者实体的主键(如订单项的主键 = 订单ID + 项编号)。
4. 问答题-数据库的规范化
5. 问答题-数据库的相关概念
6. 问答题- 新增实体
例题







