相同,对称,平衡,右视图(二叉树)
本篇基于b站灵茶山艾府。
100. 相同的树
给你两棵二叉树的根节点 p 和 q ,编写一个函数来检验这两棵树是否相同。
如果两个树在结构上相同,并且节点具有相同的值,则认为它们是相同的。
示例 1:

输入:p = [1,2,3], q = [1,2,3]
输出:true
示例 2:

输入:p = [1,2], q = [1,null,2]
输出:false
示例 3:

输入:p = [1,2,1], q = [1,1,2]
输出:false
# Definition for a binary tree node.
# class TreeNode:
# def __init__(self, val=0, left=None, right=None):
# self.val = val
# self.left = left
# self.right = right
class Solution:def isSameTree(self, p: Optional[TreeNode], q: Optional[TreeNode]) -> bool:def dfs(p, q):if not p or not q:# 两个节点都为空,返回True,否则返回Falsereturn p == q# 判断两个节点值和左右子树相不相等return p.val == q.val and dfs(p.left, q.left) and dfs(p.right, q.right)return dfs(p, q)
101. 对称二叉树
给你一个二叉树的根节点 root , 检查它是否轴对称。
示例 1:

输入:root = [1,2,2,3,4,4,3]
输出:true
示例 2:

输入:root = [1,2,2,null,3,null,3]
输出:false
# Definition for a binary tree node.
# class TreeNode:
# def __init__(self, val=0, left=None, right=None):
# self.val = val
# self.left = left
# self.right = right
class Solution:def isSymmetric(self, root: Optional[TreeNode]) -> bool:# 本质上跟判断相同的树一样def dfs(p, q):if not p or not q:return p == q# 唯一不同的就是传入的是左子树的左孩子和右子树的右孩子(左子树的右孩子和右子树的左孩子)来判断return p.val == q.val and dfs(p.left, q.right) and dfs(p.right, q.left)return dfs(root.left, root.right)
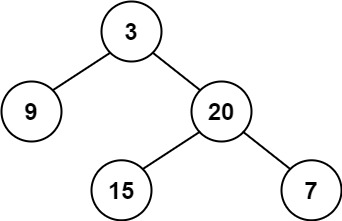
110. 平衡二叉树
给定一个二叉树,判断它是否是平衡二叉树
示例 1:

输入:root = [3,9,20,null,null,15,7]
输出:true
示例 2:

输入:root = [1,2,2,3,3,null,null,4,4]
输出:false
示例 3:
输入:root = []
输出:true
# Definition for a binary tree node.
# class TreeNode:
# def __init__(self, val=0, left=None, right=None):
# self.val = val
# self.left = left
# self.right = right
class Solution:def isBalanced(self, root: Optional[TreeNode]) -> bool:def dfs(node):if not node:# 返回一个元组,第一个值为该树是否为平衡二叉树,第二个值是此树的高度return (True, 0)f1, h1 = dfs(node.left)f2, h2 = dfs(node.right)# 如果左右子树的高度差不超过1且左右子树都是平衡二叉树,返回True,且向上层返回该树的高度return (abs(h1 - h2) <= 1 and f1 and f2, max(h1, h2) + 1)return dfs(root)[0]
199. 二叉树的右视图
给定一个二叉树的 根节点 root,想象自己站在它的右侧,按照从顶部到底部的顺序,返回从右侧所能看到的节点值。
示例 1:
输入: root = [1,2,3,null,5,null,4]
输出:[1,3,4]
解释:

示例 2:
输入: root = [1,2,3,4,null,null,null,5]
输出:[1,3,4,5]
解释:

示例 3:
输入: root = [1,null,3]
输出:[1,3]
示例 4:
输入: root = []
输出:[]
# Definition for a binary tree node.
# class TreeNode:
# def __init__(self, val=0, left=None, right=None):
# self.val = val
# self.left = left
# self.right = right
class Solution:def rightSideView(self, root: Optional[TreeNode]) -> List[int]:def dfs(node, h):if not node:return# 如果首次遇到这个深度,说明是最右边的节点,需要记录高度if h == len(ans):ans.append(node.val)# 从右子树开始遍历dfs(node.right, h + 1)dfs(node.left, h + 1)ans = []dfs(root, 0)return ans
