配电网运行状态综合评估方法研究
1评估指标体系的构建
[1]冷华,童莹,李欣然,等.配电网运行状态综合评估方法研究[J].电力系统保护与控制,2017,45(01):53-59.
1.1评估范围
图1为配电系统组成示意图,其中A、B、C分别表示高、中、低压配电系统。高压配变(也称主变)将35kV或110kV的电压降到10kV,通常将主变的每一回10kV出线称为一条馈线,开关站作为10kV母线的延伸,起到分配电能的作用。中压配变(也称配变,将配变及其供电的低压区域称为台区)和低压线路(0.4kV)组成了低压配电系统。

1.2评估体系
遵循原则:系统性、一致性、可测性、独立性和可比性。
- 王成山,罗凤章.配电系统综合评价理论与方法[M].北京:科学出版社,2010.

(1)负载率指标——需要测量主配变和10kV线路电流
负载率是衡量电力系统中设备运行情况的指标,负载率过高的设备会存在过热等安全隐患,反之则说明设备的利用率过低,运行经济性较差。
负载率:三相最大电流和额定电流之比。
主、配变过载:最大负载率≥100%且持续2h以上;重载:最大负载率≥80%且持续2h以上;轻载:最大负载率≤20%。——3个指标
10kV线路过载:最大负载率≥100%且持续1h以上;重载:最大负载率≥70%且持续1h以上;轻载:最大负载率≤30%。——3个指标
(此处最大负载率为评估时间段内的最大负载率,而非全年。)
配变和10kV线路重过载风险:重过载时间≥总监测时间的15%(电流采集装置15min记录一次)。
配变和10kV线路重过载风险比例:存在危急风险的配变/10kV线路占所有重过载配变/10kV线路的比例。——2个指标
(2)电压质量指标——需要测量10kV母线、台区出口及低压用户电压。
《电能质量供电电压允许偏差》GB 12325规定,主变10 kV母线供电电压允许偏差为额定电压的±7%,台区关口电压(即配变低压侧出口电压)允许偏差为额定电压的±7%,低压用户供电电压允许偏差为额定电压的+7%和-10%。监测点电压合格率计算公式如下:——3个指标

(指标体系中三类电压合格率取各类电压监测点的电压合格率平均值。)
选取中、低压的总谐波畸变率来整体反应中低压配电网的谐波情况。按照《电能质量公用电网谐波》GB/T 14549-93中的谐波分量限值表中的规定可知,低压(380 V)监测点的总谐波畸变率不应高于5%,中压10 kV线路监测点的总谐波畸变率不应高于4%。监测点的电压总谐波畸变率THDu计算公式如下:——2个指标

谐波电压含量UH计算公式为:

式中:U1表示基波电压均方根值;Uh表示第h次谐波的电压均方根值。
(指标体系中10kV/低压总谐波畸变率为所有10kV线路/低压监测点总谐波畸变率的平均值。)
(3)运行故障指标——需要10kV线路、配变、开关设备故障次数。
《城市配电网运行水平和供电能力评估导则》GDW565-2010中的定义:10kV线路(电缆、架空)故障率为全年内每100km线路故障停电次数;配变、开关设备故障率为全年内每100台配变、开关设备的故障停电次数。由于本指标体系适用于不同时间维度的配电网运行状态评估,而单项指标评分公式是以年为评估单位时间进行确定的,为了使评分公式具有普适性,在计算故障率指标时应将其结果折算到年,折算公式如下:——4个指标

(4)供电可靠性指标——需要每次停电用户数、停电时间。
供电可靠性是指电力系统不间断地向电力用户提供合格电能的能力。《供电系统用户供电可靠性评价规程》DL/T836中详细描述了供电可靠性相关的各种评估指标,本文从该规程中选取典型的3个指标,并将统计供电可靠性的“用户”由配变改为低压用户,指标具体计算公式如下:——3个指标


(指标需要折算到年)
(5)线损指标——需要测量10 kV馈线和低压用户总电量
线损是反映配电网运行经济性的重要指标。按照《电力网电能损耗计算导则》DL/T686-1999中的定义,统计线损率计算公式如下:——1个指标

(中低压统计线损率指标中供电量为统计区域在统计时间内所有10 kV馈线出线开关的电量总和,售电量低压用户的电表电量总和。)
(6)三相不平衡指标——
三相不平衡问题在低压配电网中尤为突出(单相负荷占比高且随机性强、网络阻抗与调节能力受限、运行管理粗放。)。根据《配电网运行规程》Q/GDW 519-2010的规定,三相不平衡度不应大于15%。三相不平衡度计算公式如下:

如果一台配变在一段时间内三相不平衡度≥15%的时间占比超过5%,则这台配变被视为轻微三相不平衡配变。
如果一台配变在一段时间内三相不平衡度≥50%的时间占比超过20%,则这台配变被视为严重三相不平衡配变。
轻微/严重三相不平衡配变比例:轻微/严重三相不平衡配变占所有配变的比例。
1.3评估所需数据及其来源

2权重确定方法
目前权重因子的确定方法众多,主要有德尔菲法Delphi(又称专家打分法)、层次分析法AHP、组合赋权法等。
2.1层次分析法
层次分析法(The Analytic Hierarchy Process,AHP)是一种系统分析与决策的综合评价方法,较合理地解决了定性问题定量化的处理过程。
AHP的主要特点是通过建立递阶层次结构,把人类的判断转化到若干因素两两之间重要度的比较上,从而把难于量化的定性判断转化成可操作的重要度的比较。它把复杂问题分解成多个组成因素,又将这些因素按支配关系分别形成递阶层次结构,通过两两比较的方法确定决策方案相对重要度的总排序。
- 一致矩阵:
若矩阵中各元素满足:
![]()
则称该矩阵为正互反矩阵。
若正互反矩阵满足:
![]()
则称该矩阵为一致矩阵。
一、建模步骤
1.分析系统中各因素之间的关系,建立系统的递阶层次结构。

2.对于同一层次的各元素关于上一层次中某一准则的重要性进行两两比较,构造两两比较矩阵(判断矩阵)。



3.由判断矩阵计算被比较元素对于该准则的相对权重并进行一致性检验(检验通过权重才能用)。
三种方法计算权重(权重一定要进行归一化处理):
(1)算术平均法;
(2)几何平均法;
(3)特征值法。
通常利用层次分析法解决实际问题时,都是采用其中某一种方法求权重,而不同的计算方法可能会导致结果有所偏差。为了保证结果的稳健性可以同时采用三种方法分别求出了权重后计算平均值,再根据得到的权重矩阵计算各方案的得分,并进行排序和综合分析,这样避免了采用单一方法所产生的偏差,得出的结论将更全面、更有效。
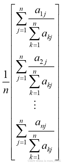
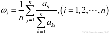
①算术平均法求权重
假设判断矩阵为:

第一步:将判断矩阵按照列进行归一化(各元素除以所在列的和);

第二步:将归一化的各列相加(按行求和);

第三步:将相加后得到的向量中每个元素除以n即可得到权重向量。

所以,用数学表达式表示权重向量即为:

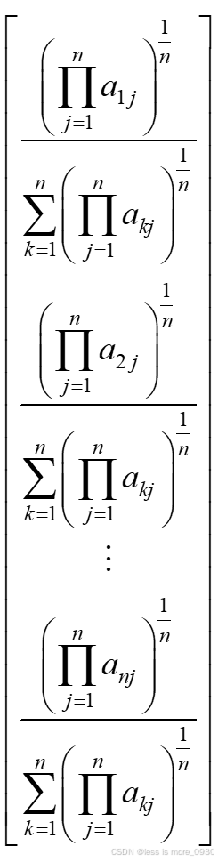
②几何平均法求权重
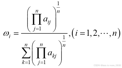
假设判断矩阵为:

第一步:将A的元素按照行相乘得到一个新的列向量;

第二步:将新向量的每个分量开n次方;

第三步:对该列向量进行归一化即可得到权重向量。

所以,用数学表达式表示权重向量即为:

③特征值法求权重
由引理可知: 一致矩阵有一个特征值为 n,其余特征值均为 0。
另外,我们很容易可以得到,特征值为 n 时,对应的特征向量刚好为:

那么我们可以直接将特征向量归一化即可求得特征向量。
2.2尔菲法(Delphi法、专家打分法、主观)
[1]刘胜利,曹阳,冯跃亮,等.配电网投资效益评价与决策模型研究及应用[J].电力系统保护与控制,2015,43(02):119-125.
让m位配电网运行专家对两两判断矩阵进行独立赋值,其中第k位专家的判断矩阵如下:

根据专家权威性(如经验年限、历史准确率)分配各专家的权重,进行加权组合得到最终判断矩阵。
2.3AHP-Delphi法确定权重(混合赋权)
[1]冷华,童莹,李欣然,等.配电网运行状态综合评估方法研究[J].电力系统保护与控制,2017,45(01):53-59.
权重因子的确定有多种方法,主观方法(德尔菲法Delphi法)、客观方法(层次分析法AHP法)以及混合方法(组合赋权法)等。
本文采用AHP-Delphi法,基本流程图如图所示。

(1)确定m个两两判断矩阵
让m位配电网运行专家对两两判断矩阵进行独立赋值,其中第k位专家的判断矩阵如下:
![]()
式中:Bk表示第k位专家给出的两两判断矩阵;n表示该两两判断矩阵的阶数(即指标个数);bkij表示矩阵Bk的i行i列的元素(表示第i个指标相对第i个指标的重要程度,根据1~9互反性标度确定)。
(2)对m个判断矩阵进行平均化处理
如果直接对m个判断矩阵进行平均化处理,得到的平均判断矩阵中任一元素值为
,计算公式如下:

显然
,不符合AHP中两两判断矩阵的基本形式(正互反性,关于主对角线对称的元素互为倒数)。
因此,对m个两两判断矩阵做以下处理:
1)所有两两判断矩阵中主对角线的元素均为1,不作处理。
2)对m个两两判断矩阵中主对角线以上部分的n(n-1)/2个元素作平均化处理。
3)通过1)、2)得到平均判断矩阵不完整,需要根据公式
进行补全,得到平均判断矩阵
。
(3)遍历m个两两判断矩阵
如果矩阵Bk中任意一个元素bkij满足
,则该矩阵离散度较大,视为无效矩阵。对m个矩阵全部遍历一遍后,剔除Δm个无效矩阵。
(4)对剩下的判断矩阵作平均化处理
平均化处理过程见步骤(2),如果未剔除任何矩阵,则无需进行此步骤,直接使用步骤(2)得到的平均矩阵。
(5)求两两判断矩阵最大特征值及特征向量
计算优化后判断矩阵的最大特征值λmax和最大特征值对应的特征向量W,
。
(6)一致性校验和归一化处理

对满足一致性校验的判断矩阵特征向量W进行归一化处理后为
,
中任意元素
。
3指标评分方法
3.1模糊隶属度函数单项指标评分公式
[1]冷华,童莹,李欣然,等.配电网运行状态综合评估方法研究[J].电力系统保护与控制,2017,45(01):53-59.
采用模糊隶属度函数确定评估体系中单项指标评分公式。如图4所示。

评分公式分为效益型和成本型两类,di为被考虑的因素,即单项指标值的分段点,si为di对某次决策评语的隶属度,即单项指标值分界点对应的评估得分。
单项指标评分公式的确定步骤如下。
1)确定单项指标的类型:效益型或成本型。
2)通过对大量历史数据进行分析,统计单项指标值的分布情况(一般符合正态分布规律)。
3)专家针对2)中统计的结果,并结合国家电网公司相关评估导则的规定,来确定各个单项指标的模糊隶属度函数图(主要是确定分段点di、si)。
4)将3)中确定的模糊隶属度函数图转换为计算公式,便于给各单项指标打分。
3.2隶属度函数单项指标评分公式
[1]刘胜利,曹阳,冯跃亮,等.配电网投资效益评价与决策模型研究及应用[J].电力系统保护与控制,2015,43(02):119-125.
1)确定各指标的隶属度函数类型。
隶属度函数可以是线性的,也可以是非线性的,视指标数据的分布情况来拟合。可用线性函数、二次函数、三次函数、对数函数、指数函数、S函数和幂函数等函数形式对其进行拟合。
三次函数的拟合程度最高。二次函数与三次函数的拟合程度相近,随着配电网建设发展的深入,很多指标值的改进将会越来越困难,或者每一点的改进所需要的投入将更多,因此评价判据应能体现出这一特点(线性函数不能体现这一特点),同时为计算方便并考虑实际曲线的可能趋势,采用二次函数作为该电网现阶段电量需求与电网投资总额的关系函数,即y=ax2+bx+c,其中x为指标值,y为打分值。
2)确定各评分函数的二次函数曲线。
设最大值对应100分,标准值对应70分,最小值对应0分。再研究出各指标的最大值、标准值、最小值。由以上三个坐标点即可确定评分函数的二次函数曲线。
一级指标在目前电网公司规划、同业对标工作中应用较为成熟,本文运用德尔菲法确定各一级指标的最大值、标准值、最小值,如配电线路重载率其最大值、标准值、最小值分别为20、11、0。
由于二级指标为本文首次提出,无成熟的应用经验,本文采用矩阵可分析法得出各个指标的最大值、标准值、最小值。矩阵为:

式中,xij为第i个对象的第j个指标的数值。
按式(1)计算历史年配电网总体投资和单体项目投资效益评价指标数值,剔除不合理数据后,按数值大小把数据分成若干组,统计数据落入各组的频数,根据频数确定指标的标准值、最大值、最小值。由以上三个坐标点确定各指标的二次评分函数曲线。
4评估流程
(1)收集配网数据:包括运行数据和设备参数等(见表1)。
(2)数据统计分析:对配网数据进行统计分析得到单项指标的值(根据1.2中指标计算公式)。
(3)计算单项指标得分:将单项指标值代入单项指标评分公式获取得分。
(4)计算准则层指标得分和目标层指标得分:根据单项指标的得分和权重因子,逐层向上计算,计算公式如下:

式中:s(k+1)代表层级结构中第k+1层某指标A(k+1)的评分;n表示指标A(k+1)的k层子指标的个数;sj(k)表示A(k+1)的k层子指标j的评分;wj(k)表示A(k+1)的k层子指标j的权重。
(5)分析配电网运行的薄弱环节
本文采用百分制进行评分,将评估得分分为4个等级,分别为“优”、“良”、“中”、“差”,其中得分≥90的为“优”,90>得分≥70的为“良”,70>得分≥60的为“中”,得分<60的为“差”。
首先分析宏观指标(目标层),若该指标得分为“中”或“差”则再根据单项指标的得分找出其运行的薄弱环节,最后提出相应的改善措施。
由于目前供电区域主要划分为5类(A/B/C/D/E),不同类型的区域配电网规划建设存在差异,因此对运行状态指标得分的要求也不同,市中心(A类)就比农村(D或E类)要求高很多。因此在实际评估中,需要根据各个区域的差异性,合理提高或降低对评估指标得分的要求。
