基于两阶段交互控制框架的互联多能系统协同自治优化
摘要:从多能源集成系统的效益出发,建立了基于交互控制的双层两阶段框架,以实现互联多能源系统(MESs)间的最优能量供应。在下层,各MES通过求解成本最小化问题自主确定其可控资产的最优设定值,其中滚动时域优化用于处理负荷和可再生能源的随机特性。进一步提出了一种通过松弛存储互补约束实现优化模型凸化的技术,其数学证明验证了松弛的正确性。在上层,协调器负责最小化互联MES的总成本,同时防止变压器过载。该协同问题在所提出的两阶段交互控制框架中迭代求解,该框架在保持每个MES的可扩展性、信息隐私性和操作权限的同时,兼容操作时间需求。通过对协同自主优化机制进行详细分析的仿真案例验证了所提框架的有效性。
关键词:多能源系统;交互控制;两阶段双层优化;约束松弛
1引言
随着环境的不断恶化和能源的日益枯竭,各种形式能源的综合利用成为必然。多能源系统(Multi-Energy Systems,MESs)因其能够提高综合能源效率,同时有利于系统经济和环境而受到广泛关注。MES可以在网络之间转移供应和需求,并应对可再生能源(RES)的出力不确定性[1]。
基于对网络化微电网的大量研究工作,近年来的研究方向已经从单个MES的能量优化转向多个互联MES(IMESs)之间的协同优化。互联子系统的协作方式分为集中式和分布式两种。在文献[2]、[3]中建立集中模型,然后用传统的数学算法[2]或现代智能优化技术[3]进行求解。虽然这些优化保证了资源的全局最优利用,但它们不能满足隐私保护、可扩展性和开放性的要求。此外,MES可能属于不同的利益所有者,并根据自己的经济规则和政策调度资源。这表明,直接的决策机构或强制派遣命令可能是不切实际的。
对此,分布式机制更为有利。确保满意解的同时,能够保护单个实体的关键信息。常用的两种分布式方法是博弈论和交替方向乘子法(Alternating Direction Method of Multipliers,ADMM)。虽然这些方法解决了可扩展性的问题,但是这些方法中使用的协调信号,例如拉格朗日乘子,在合作中没有提供明确的市场信息。与这些方法相比,近年来发展起来的交互控制(TC)在协作中使用本地价格作为关键操作参数,并在动态和实时预测期间达到平衡,在多个项目中得到应用[2]。
尽管TC框架已成功应用于IMESs的优化运行,但仍有两个突出问题需要解决。第一个问题是现有的TC方法通常需要一定的迭代次数才能收敛,使其在通信延迟、吞吐量和失真等方面不实用。考虑到RES出力和负荷需求的不确定性,需要建立日内甚至实时运行的协同框架,以更好地整合高渗透率RES,提高整体能源效率。因此,需要研究如何提高收敛速度。第二个问题是关于防止储能同时充电和放电的约束。这些互补约束的存在导致非凸优化问题的求解十分困难[4]。
针对上述问题,采用一种两阶段交互控制框架用于多互联MES的协同自主优化。具体来说,“自治”意味着每个自治的MES都有权独立地进行优化以供应本地需求;“协同”证实了IMESs作为一个整体,共同考虑其整体利益;最后,“两阶段TC框架”保证了协作以分布式和可扩展的方式进行,并具有较快的收敛速度[5]。
本文的结构安排如下:第2节首先介绍了本文的总体框架。第三节针对每个自治MES建立了详细的滚动优化模型。第4节给出了IMESs的协同优化问题,以及所提出的两阶段双层TC框架。第5节对所提出的方法进行了测试。第6节和第7节对本文进行了讨论,最后对全文进行了总结。
2双层优化框架
本节从能量管理个体和优化框架的一般系统架构这两方面进行描述。提出的假设也包含在这一部分中。
2.1能量管理实体和系统架构
本文考虑两种能源管理个体:
2.1.1MES运营商
当下,各能源系统紧密耦合,综合能源服务公司由此兴起。因此,本文假设一个运营商负责多能源系统内的优化运行。然而,由于IMESs之间的互联网络无法被单个MES监控,每个MES的优化方案可能无法满足IMESs安全运行的要求。
2.1.2系统协调器
为了解决上述问题,本文假设一个上层个体,称为系统协调器,负责协调IMESs和管理互联网络的运行。同时,系统协调器也作为IMESs和公用电网之间的接口,通过策略性地响应调度信号。
在这些假设下,提出了一种基于TC机制的IMESs能量管理协同自主优化框架,如图1所示。在所提框架中,每个MES以最小化其运营成本为目标进行自主优化,MES与系统协调器之间交换激励/响应信号以实现协同优化。

图1面向互联多能系统(MESs)的能源管理架构
2.2一般的假设
本文所做假设如下:
- 考虑到天然气市场的竞争性和灵活性远不如电力市场,天然气价格的变化通常比电价慢得多。本文关注日内能源优化,因此假设天然气价格提前一天已知,并在一天内保持不变[2]。
- 由于实时定价(RTP)方案的实施需要能源提供商和客户之间持续的实时通信,因此使用日前RTP的替代方案,假设第二天的实时电价提前一天公布[5]。
- 假设在事先已知参数的情况下,可再生能源发电出力和负荷需求的预测误差服从正态分布[5]。
3MES的自主凸优化
本部分先阐述了MES的自主优化问题,然后使用一种凸化技术来松弛其非线性约束,将优化问题凸化。
3.1ME模型
图1的下部举例说明了由燃气轮机热电联产( CHP )机组、天然气炉( GF )、电锅炉( EB )、电储能( EES )和热储能( TES )组成的MES的结构。其模型可表示为:


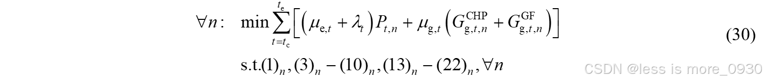
3.2滚动优化问题
考虑到各种波动和不确定性,本文采用滚动优化,在时刻t,每个MES根据当地RES产量和负荷需求的预测,寻求在剩余时段内自主最小化其期望成本[6]。
时段t内的运行成本可分为两部分:购电成本和购气成本:

其中,me,t和mg,t分别表示RTP计划下的电价和时段t的天然气价格。
除功率平衡约束(1)外,其他约束包括:
1. 电力的容量约束:

2. 热电联产、炉膛、锅炉的容量约束:

3. 热电联产和锅炉的爬坡约束:

4. 最大充电/放电功率约束:

5. EES与TES充放电模式互斥性约束:

6. 与可转移负荷相关的约束[7]:

7. 可再生能源弃风上限(因局部可再生能源过多导致馈电达到连接线极限时)和热弃风上限(局部热输出超过本地需求时):

8. EES和TES的能量上限和下限:


9. 避免时域末端效应的储能目标能量约束:

因此,每个MES在tc时刻的自主优化问题可以表述为:

可以看出,由于约束(11)和(12)中的非线性项,问题是非凸的。
对于每个MES,问题P1可以通过商业求解器或启发式方法求解。然而,由于不满足Slater条件,分布式机制不能应用于用这种非凸形式描述的多个互连MES的联合优化[8]。因此,本部分通过一种方法来松弛这些非线性约束,使得P1可以凸化为:


备注2:由于实际能源系统的最优规划程序,假设(26)不满足的极端情况永远不会发生。因此,问题P1可以通过求解松弛问题P2来求解。虽然EEC变换可以应用于图2中总结的P2解,根据备注1,在后续模型中不会明确说明。

4协同交互优化
在第3节构建的自主优化的基础上,本节进一步阐述了互联MES的协同优化。然后将问题进行对偶分解,利用双层框架进行迭代求解。最后,设计了两阶段TC框架,减少了迭代次数,使其适用于日内滚动优化。
4.1优化问题的双层分解
在每个周期内,系统协调器的目标是在满足供需平衡和运行约束的前提下,最小化IMESs在剩余周期内的总成本。tc时刻的优化问题可以建模如下[10]:

问题P3应该在收集所有MES的详细信息后以集中的方式解决。然而,为了保护信息隐私,本文主张在分布式TC框架下解决。P3的拉格朗日松弛对偶问题:

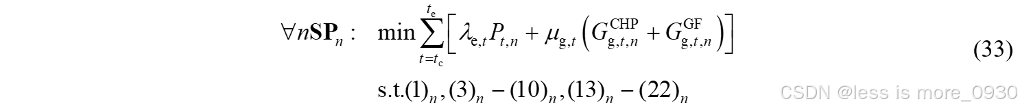
由于原问题P3是凸的,因此强对偶成立,P4的最优值等价于P3的最优值。在给定的lt下,对偶问题P4可分解为N+1个子问题(SP),对应N个MES:

且变换器为[11]:

如果方程(30)和(31)中的拉格朗日乘子lt被解释为价格,那么本地价格信号le,t可以定义为:
![]()
因此,乘子lt表示由于变压器拥塞造成的当地电价le,t对RTP电价me,t的偏移量。将式(32)代入式(30)可得:

SPn就是第3节建立的MESn的个体优化问题P2,除了me,t被le,t替代。类似地,将方程(32)代入(31),然后将方程(31)分解成每个控制周期,子问题SPN+1表示为:

显然,SPN+1的最优解为:

这表明,当当地电价高于(低于)RTP电价时,变压器尽可能地从(向)主电网购(卖)电,反之亦然。到目前为止,方程(27)的问题P3可以在双层框架下求解.也就是说,在上层,系统协调器调整本地的价格向量,以达到供需之间的一般平衡。在下层,每个MES在价格向量下自主最小化其成本。这个过程通常需要大量的迭代。将第k次迭代中的价格向量记为:

4.2两阶段优化
虽然双层分解方法显著提高了可扩展性,但所需的大量迭代对于小时调度可能是不切实际的。为了解决这个问题,采用一个两阶段的TC(2S-TC),将SG-RTC分为两个阶段,如图3所示。首先实施了一个日前阶段来预测未来一天的当地电价。然后,采用日内实时调度以进一步处理RES和负荷的不确定性[5]。这两个阶段和SG - RTC方法在表1中进行了比较。


4.2.1日前阶段
与SG-RTC一样,日前阶段采用次梯度法迭代求解跨期优化问题。然而,由于目的是预测未来一天的本地电价,因此在这一阶段无需采用滚动优化策略。记第二天的预测本地价格向量为:

4.2.2小时计调度



5算例分析
5.1算例分析设置
本部分将进行三个算例的分析。算例I的目的是比较2S-TC和SG-RTC的精度和迭代次数。算例II和算例III将分别对协同优化和自主优化进行评估。
该仿真系统由3个MES组成,包括2个民用MES(MES1和MES2)和1个商用MES(MES3)。参数列于表2。共享RES包括一个0.4MW的风电场和一个0.3MW的光伏发电场。固定负载、可移动负载和RES在一个典型的冬日的曲线如图4所示。移动式电力负荷通常包括住宅MES中的电动汽车、洗衣机和洗碗机,以及商业MES中的热水器和消毒器。
控制周期为1h。市场最大和最小电价分别为1.0和0.2元/ k Wh。实时价格从PJM网站获取[13]。天然气的价格为3.3元/m3。RES的日前、日内和实时预报误差分别为±30%、±10%和±5%;负荷的日前、日内和实时预测误差分别为±20%、±8%和±3%[14]。


5.2算例I:SG-RTC与2S-TC的比较
在该算例中,IMESs运行于协同自治模式,即自治MESs在2S-TC框架下进行协同。整个IMESs系统通过购售电,以实现利润最大化。假设入网电价与实时电价相同。由于保证了SG-RTC的准确性,因此将其作为本算例的基准。因此,可以通过SG-RTC和2S-TC来解决滚动时域问题P3。2S-TC下总成本为83940元,基准下总成本为84260元。各MES的能耗成本如表3所示。两种方法的结果相当接近,表明该方法能有效地获得协同优化问题的较优解。

在3.8 GHz Intel(R) Core(TM) Ultra 7 155H (22 CPUs)和3.2GB RAM上用MATLAB R2023a仿真,两种方法一次迭代的执行时间均小于100ms。表3还比较了SG-RTC和2S-TC在拥堵时段所需的最大迭代次数和平均迭代次数。结果表明,2S-TC方法在每个时段收敛所需的迭代次数明显少于SG-RTC方法。由于迭代次数对应系统协调器与MES之间的通信开销,且每次迭代需要每个MES执行一个局部优化,因此2S-TC可以显著提高通信和计算需求方面的控制性能,特别是考虑到实际中的通信延迟和失真。
5.3算例II:协同优化效果
除了协作自治模式,本算例将考虑两种运行模式:
- 非协作模式:系统协调器不协调IMESs,每个MES自主运行,即每个MES简单地响应RTP并根据P1进行自主优化;
- 带馈入限制的协同自治模式(FIL):与协同自治模式不同,该模式旨在鼓励RES的本地消耗,从而减少对主电网的影响[15]。通常通过引入低于主网电价的上网电价来实现的这种激励[16]。为了最大化本地消费量,在这种模式下,假设上网电价为零。

图5三种运行模式下主变功率
三种模式下的变压器功率仿真结果如图5所示,可以清楚地看出:
- 在非协作模式下,主变压器在3:00~4:00和15:00~16:00时段发生过载。
- 在协作自治模式下,协调各IMES后,主变压器实现过载保护。同时,在某些时段可以观察到通过主变的功率输出,以实现利润最大化。
- 相比之下,协同自治FIL模式可以在避免阻塞的同时最大化RES的就地消纳。
三种模式下IMES的总成本分别为83900、84260和83930元,RES消纳率分别为87.69%、88.34%和100%。图6绘制了上述3种模式下各MES的进口电量。此外,在2S-TC框架下,各IMES利用本地价格信号进行协调,因此清算价格和RTP价格也绘制在图6中。如图6b所示,当2:00-4:00出现进口拥堵时,协同自治模式使出清价格高于RTP价格。因此,如果在这些时段可能的话不鼓励MES2和MES3消耗电力,将降低EES充电功率,而MES1将增加CHP输出产生额外的电能。相反,当在1:00、9:00-12:00和23:00发生出口拥堵时,协同自治FIL模式通过提高清算价格来缓解进口拥堵的同时,也降低清算价格,如图6c所示。因此,MES1和MES3在这些时段不鼓励通过热电联产产生更多的电能,并相应地降低TES充电功率,而MES2则被激励消耗更多的电能,以增加IMESs内的整体RES消纳。

(a)非协作模式

(b) 协同自治模式

(c)馈入限制模式下的协作自治
图6各MES的进口电量及当地价格
5.4算例III:自主优化效应
本部分将重点研究协同自治FIL模式下的MES级自优化。所有MES的结果如图7所示,其中储能的荷电状态(SOC)定义为存储能量与总容量的比值。值得注意的是,对于图中的条柱,产生的电源供应需求是正的,而出口或消耗的功率是负的。为便于分析,根据物价水平将一天分为两个时段:低谷时段(24:00-6:00)和高峰时段(7:00-23:00)。

(a)电功率

(b)热功率
图7每个MES的(a)电力和(b)热力结果
从图7可以看出,在MES1和MES3中,CHP的输出水平由全天的热量决定。因此,尽管MES1在午夜时存在冗余的风资源,MES3在中午时存在冗余的太阳能资源,但多余的电能作为副产品而产生,使得这两个MES在此时不得不将电能出售给其他MES。相反,由于MES2没有安装热电联产装置,它只能从主电网进口电力来供应电力需求。因此,MES2全天的用电量相对较高,尤其是在以电锅炉供热为主的低谷时段。因此,从仿真结果可以总结出以下特征:
- 在低谷时段,微能源网倾向于从主网购入廉价电力并用锅炉供热。在高峰时段,通过热电联产发电和炉膛供热收益更好;
- 在低谷期,MES倾向于向EES充电以储存高峰期的电能,而安装了CHP(本算例中TES1和TES3)的MES中的TES倾向于在高峰期储存热能,在低谷期释放热量;
- 协调EES、TES和可转移负荷,使MES对热负荷的净电需求与CHP机组的热电比相匹配。一方面,可以最大限度地减少炉子的使用,降低高峰时段的热能成本。另一方面,在此条件下,电、热功率的削减量最小,从而提高了MES的综合效率。
综上所述,多能源之间的互补有效地帮助IMESs更好地适应价格波动引起的阻塞。它还充分利用每个MES的优化功能,旨在自主降低其整体能源成本,同时保护主变压器免受过载并协同增加RES的可容纳性。
需要指出的是,在上述两种情况下,既没有RES削减,也没有同时充电/放电,从而验证了定理1的正确性。为进一步验证定理2的有效性,增加MES2中风电机组的装机容量,造成某些时段的弃风。图8绘制了在P1,P2和(P2+EEC)中得到的EES的最优充放电功率,其中(P2+EEC)表示将EEC变换应用于P2的最优结果,如图2所示。在P1和(P2+EEC)中得到的MES最优运行成本均为15510元。仿真结果表明:(1)在不发生弃风的时段内,P2的最优解总是满足互斥性约束,这也验证了定理1。相比之下,在6:00和24:00,充沛的风被遗弃,P2的结果同时违反了松弛的约束。(2)如预期的那样,不满足条件式(26)的情况在算例中并没有出现。由于P1和(P2+EEC)的最优运行成本相同,也验证了定理2的正确性。

6结论
本文采用了一种用于协调多个互联MES的两阶段TC框架。由于存储互补约束的非线性,采用一个凸化方法和两个充分条件来松弛约束,使得凸问题适用于分布式TC框架。在所提出的框架中,每个MES在较低层次上自主进行滚动优化,以在给定电价下最小化运行成本。同时,上层系统协调器负责更新广播价格,迭代求解协同优化问题。考虑到通信开销和延迟,建立了两阶段TC,使其甚至适用于控制间隔较短(如5 min )的实时优化。
仿真结果表明,与SG-RTC相比,所提出的2S-TC在10次迭代内得到误差小于1%的结果。同时也验证了相对于自治情形,协同优化有助于实现RES的100 %就地消纳。此外,在仿真结果中还讨论了MES中不同组件的利益以及所提出的凸化技术的有效性。
参考文献
- 李承周,王宁玲,窦潇潇,等.多能源互补分布式能源系统集成研究综述及展望[J].中国电机工程学报,2023,43(18):7127-7150.
- Chen, Y.; Wei, W.; Liu, F.; Wu, Q.; Mei, S. Analyzing and validating the economic efficiency of managing a cluster of energy hubs in multi-carrier energy systems. Appl. Energy 2018, 230, 403–416.
- Liu, J.; Wang, A.; Qu, Y.; Wang, W. Coordinated Operation of Multi-Integrated Energy System Based on Linear Weighted Sum and Grasshopper Optimization Algorithm. IEEE Access 2018, 6, 42186–42195.
- Chen, Y.; Wei, W.; Liu, F.; Wu, Q.; Mei, S. Analyzing and validating the economic efficiency of managing a cluster of energy hubs in multi-carrier energy systems. Appl. Energy 2018, 230, 403–416.
- Cheng Y, Zhang P, Liu X. Collaborative autonomous optimization of interconnected multi-energy systems with two-stage transactive control framework[J]. Energies, 2019, 13(1): 171.
- Kong, F.; Jiang, J.; Ding, Z.; Hu, J.; Guo, W.; Wang, L. A Personalized Rolling Optimal Charging Schedule for Plug-In Hybrid Electric Vehicle Based on Statistical Energy Demand Analysis and Heuristic Algorithm.Energies 2017, 10, 1333.
- Liu, N.; He, L.; Yu, X.; Ma, L. Multiparty Energy Management for Grid-Connected Microgrids With Heatand Electricity-Coupled Demand Response. IEEE Trans. Ind. Inform. 2018, 14, 1887–1897.
- Cortés, A.; Martínez, S. A Hierarchical Algorithm for Vehicle-to-Grid Integration under Line Capacity Constraints. Eur. J. Control. 2019, 47, 53–63.
- Beck, T.; Kondziella, H.; Huard, G.; Bruckner, T. Assessing the influence of the temporal resolution of electrical load and PV generation profiles on self-consumption and sizing of PV-battery systems. Appl. Energy 2016, 173, 331–342.
- Chiang, M.; Low, S.H.; Calderbank, A.R.; Doyle, J.C. Layering as Optimization Decomposition: A Mathematical Theory of Network Architectures. Proc. IEEE 2007, 95, 255–312.
- Ji, M.; Zhang, P.; Cheng, Y. Distributed microgrid energy optimization using transactive control and heuristic strategy. In Proceedings of the 2017 IEEE Power Energy Society General Meeting, Chicago, IL, USA,16–20 July 2017; pp. 1–5.
- Dehghanpour, K.; Nehrir, H. An Agent-Based Hierarchical Bargaining Framework for Power Management of Multiple Cooperative Microgrids. IEEE Trans. Smart Grid 2019, 10, 514–522.
- PJM. Hourly Real-Time and Day-Ahead LMP. Available online:https://dataminer2. pjm.com/feed/rt_da_monthly_lmps/definition (accessed on 20 December 2018).
- Wang, H.; Ai, Q.; Gan, L.; Zhou, X.; HU, F. Collaborative Optimization of Combined Cooling Heating and PowerSystem Based on Multi-scenario Stochastic Programming and Model Predictive Control. Autom. Electr.Power Syst. 2018, 42, 51–58.
- Ruf, H. Limitations for the feed-in power of residential photovoltaic systems in Germany—An overview of the regulatory framework. Sol. Energy 2018, 159, 588–600.
- Beck, T.; Kondziella, H.; Huard, G.; Bruckner, T. Assessing the influence of the temporal resolution of electrical load and PV generation profiles on self-consumption and sizing of PV-battery systems. Appl. Energy 2016, 173, 331–342.

