Leetcode-3 判断根结点是否等于子结点之和
Leetcode-3 判断根结点是否等于子结点之和(简单)
- 题目描述
- 思路分析
- 通过代码(python)
题目描述
**给你一个 二叉树 的根结点 root,该二叉树由恰好 3 个结点组成:根结点、左子结点和右子结点。
如果根结点值等于两个子结点值之和,返回 true ,否则返回 false **
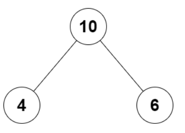
示例 1:
输入:root = [10,4,6]
输出:true
解释:根结点、左子结点和右子结点的值分别是 10 、4 和 6 。
由于 10 等于 4 + 6 ,因此返回 true 。
示例 2:
输入:root = [5,3,1]
输出:false
解释:根结点、左子结点和右子结点的值分别是 5 、3 和 1 。
由于 5 不等于 3 + 1 ,因此返回 false 。
提示:
树只包含根结点、左子结点和右子结点
-100 <= Node.val <= 100
思路分析
root表示根结点
root.left.val表示左子结点的值
root.right.val 表示右子结点的值
root.val根结点的值
通过代码(python)
class Solution:def checkTree(self, root: Optional[TreeNode]) -> bool:if root.left.val + root.right.val == root.val:return Trueelse:return False


