国产免费工作流引擎star 6.5k,Warm-Flow升级1.7.2(新增案例和修复缺陷)
文章目录
- 主要更新内容
- 项目介绍
- 功能思维导图
- 设计器
- 流程图
- 演示地址
- 官网
- Warm-Flow视频
 
主要更新内容
- [feat] 开启流程实例,新增流程定义是否存在校验
- [feat] 新增合同签订流程案例
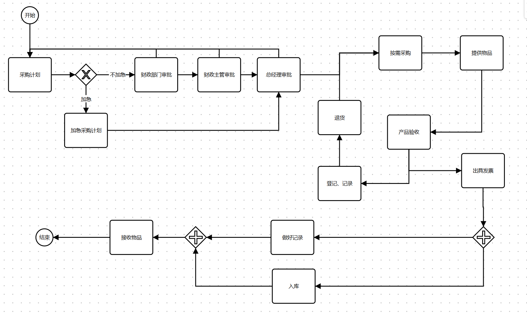
- [feat] 新增企业采购流程案例
- [update] mybatis-plus逻辑删除,删除值和未删除值强制设置为0和1
- [update] 合并流程变量方法改成public修饰
- [update] 如果没有网关,是驳回跳转线,跳转条件会默认加上undefined@@|
- [fix] 修复办理人列表中只有一个办理人时,删除按钮消失的问题
- [fix] 修复设计器办理人默认为“用户”问题
- [fix] 修复办理人列表名称回显报错问题
合同签订流程案例
 
 
企业采购流程案例
 
 
项目介绍
Dromara Warm-Flow国产工作流引擎,其特点简洁轻量,五脏俱全,灵活扩展性强,是一个可通过jar引入设计器的工作流。
- 支持常见审批功能、监听器与流程变量、条件表达式、办理人表达式
- 自带流程图、流程设计器、节点扩展属性
- 支持常见的orm框架
- 支持不同的数据库
- 生态丰富可扩展,文档全面
功能思维导图
 
 
设计器
 
 
流程图
 
 
演示地址
http://www.hhzai.top
账号密码:admin/admin123
官网
https://warm-flow.dromara.org
Warm-Flow视频
Warm-Flow初体验
