软考错题集
一个有向图具有拓扑排序序列,则该图的邻接矩阵必定为()矩阵。
A.三角
B.一般
C.对称
D.稀疏矩阵的下三角或上三角部分包含非零元素,而其余部分为零。一般矩阵这个术语太过宽泛,不具体指向任何特定性
质的矩阵。对称矩阵中元素关于主对角线对称,即矩阵中(i,j)和(j,i)位置上的元素相等。这通常用于无向图的邻接
矩阵,因为有向图中边的方向性会导致矩阵不对称。具有拓扑排序序列的有向图通常表示一种"有向无环图",在这
种图中,不是所有顶点之间都有直接连接,因此其邻接矩阵是稀疏的。本题选择D选项。
访问控制的策略主要分为三类,正确的是()。
A.基于时间的访问控制、自主访问控制和强制访问控制
B.自主访问控制、强制访问控制和基于角色的访问控制
C.基于角色的访问控制、基于时间的访问控制和自主访问控制
D.强制访问控制、基于角色的访问控制和基于时间的访问控制访问控制的主要策略:
自主访问控制(Discretionary Access Control,DAC)
强制访问控制(Mandatory Access Control,MAC)
基于角色的访问控制(Role-based Access Control,RBAC)
以中断控制方式在CPU与外设之间交换数据的特点中不包括()。
A.CPU主动查询外设状态
B.需要保存和恢复现场
C.及时响应突发事件
D.CPU与外设并行工作A项是轮询方式的特点,不是中断控制方式。在轮询方式中,CPU需要不断地查询外设的状态,判断是否需要处理
数据。本题选择A选项。
在平衡二叉树中,要求每个结点的左右子树高度差不超过1,那么高度为5的平衡二叉树最少有()。
A.15
B.16
C.12
D.11为了使节点数最少,我们应该尽量让树"瘦高”,即每个节点都只有一个子节点(尽量左子节点或右子节点为
空),同时保证满足平衡二叉树的性质。本题选C.
N(0)=0
N(1)=1
N(2)=N(1)+N(0)+1=2
N(3)=N(2)+N(1)+1=4
N(4)=N(3)+N(2)+1=7
N(5)=N(4)+N(3)+1=12
页式存储系统的逻辑地址是由页号和页内地址两部分组成。假定页面的大小为4k,地址变换过程如下图所示,图中逻辑地址用十进制表示。图中的逻辑地址经过变换后的十进制物理地址a应为()
A.14306
B.1748
C.5844
D.9940

本题考查页式存储管理知识。
逻辑地址/页面大小=页号...偏移量
物理地址=物理块号*页面大小+偏移量
因此可得:
5844÷ (4*1024) =1...1748
3*4*1024+1748= 14036
本题答案选择A选项。
设某线性表的元素存储在有序顺序表A[1..20]中,表中元素互异,即A[1]、A[2]、小、..、A[20]互不相同,用折半查找(即二分查找,向下取整)在AD中查找key,若key等于A[13],则查找过程中参与比较的元素依次为A[10]、()。
A.A[15]、A[12]、A[13]
B.A[16]、A[15]、A[13]
C.A[15]、A[14]、A[13]
D.A[16]、A[14]、A[13]本题考查顺序表的二分查找相关知识。
总共20个元素,向下取整,第一次查找的是(1+20)/2=10,即A[10],然后在A[10]右边区间继续查找,下一个是
(11+20)/2=15,即A[15]。同理可得后续元素依次为A[12],A[13],本题选择A选项。
根据权值集合{0.30,0.25,0.25,0.12,0.08}构造的哈夫曼树中,每个权值对应哈夫曼树中的一个叶结点,()
A.从根结点到权值0.12和0.08所表示的叶结点路径长度相同
B.从根结点到权值0.30所表示的叶结点路径最长
C.从根结点到所有叶结点的路径长度相同
D.从根结点到权值0.25所表示的两个叶结点路径长度不同本题考查哈夫曼树相关知识。
哈夫曼树构建中,0.12和0.08都是最初被合并的,因此它们到根节点的路径长度必然相同,A项正确。B项
0.30的节点可能在构建过程中的不同阶段被合并,因此其路径长度不一定最长。C项哈夫曼树的特性是,权值较小
的节点通常更接近叶子,而权值较大的节点更接近根。D项两个0.25的节点可能在同一层被合并,也可能在不同
的层被合并,其路径长度可能相同,也可能不同。本题选择A选项。
甲公司发布了一款名为"智基助手"的智能手机应用,其竟争对手乙公司紧随其后开发并发布了一故名为"智能帮手"的应用,其界面
设计和功能与"智慧助手"基本一致。以下叙述中,正确的是()。
A.乙公司侵犯了甲公司的商标权
B.乙公司侵犯了甲公司的著作权
C.乙公司没有侵犯甲公司的任何知识产权
D.乙公司侵犯了甲公司的专利权著作权保护的是作品的原创性表达,包括软件作品的代码、界面设计等。乙公司的应用界面设计和功能与甲公司
的基本一致,那么乙公司的行为侵犯了甲公司的软件著作权。因此,选择B选项。
【考生回忆版】以下不属于函数依赖的Armstrong公理系统的是()。
A.自反规则
B.传递规则
C.合并规则
D.增广规律本题考查数据库基础知识。
关系模式R<U,F>来说有以下的推理规律:
A1.自反律(Reflexivity):若Y≤X≤U,则X→Y成立。
A2.增广律(Augmentation):若Z≤U且X→Y,则XZ→YZ成立。
A3.传递律(Transitivity):若X→Y且Y→Z,则X→Z成立。
根据A1,A2,A3这三条推理规则可以得到下面三条推理规则:
合并规则:由X→Y,X→Z,有X→YZ。
伪传递规则:由X→Y,WY→Z,有XW→Z。
分解规则:由X→Y及Z≤Y,有X→Z。
合并规则属于推导规则,本质上不属于定理。
【考生回忆版】结构化分析方法的基本思想是()。
A.自底向上逐步分解
B.自顶向下逐步分解
C.自底向上逐步抽象
D.自顶向下逐步抽象本题考查软件工程开发方法。
结构化开发方法主要特征包含:自顶向下、逐步分解求精、严格区分阶段、阶段产生标准化。
【考生回忆版】对于一棵树,每个结点的孩子结点个数称为结点的度,结点度数的最大值称为树的度。某树T的度为4,其中有5个
度为4的结点,8个度为3的结点,6个度为2的结点,10个度为1的结点,则T中的叶子结点个数为()。
A.38
xB.29
C.66
D.57本题考查树的性质。
在树的性质中永远存在,边+1=结点
根据题目描述设叶子节点个数为X,则可得出下方等式
5*4+8*3+6*2+10*1+1=5+8+6+10+x
得出x=38### ✅ 已知:* 树 T 的**度为 4**(说明最多的孩子数为 4)
* 结点度为:* 5 个结点的度为 4* 8 个结点的度为 3* 6 个结点的度为 2* 10 个结点的度为 1
* 求:叶子结点(度为 0 的结点)的个数### 📌 解题思路:
树中满足:
> **总边数 = 总结点数 - 1**
> **每条边连接一个父节点和一个子节点,因此结点度的总和 = 边的条数 = 所有非叶子结点的度数之和**### 步骤 1:计算非叶子结点的度之和
总度数= 5 * 4 + 8 * 3 + 6 * 2 + 10 * 1 = 20 + 24 + 12 + 10 = 66### 步骤 2:树的边数 = 66(因为边数等于结点度数之和)
树中边数 = 总结点数 - 1
总结点数 = 66 + 1 = 67### 步骤 3:计算已有的结点总数(度 > 0 的)
5 + 8 + 6 + 10 = 29{ 个非叶子结点}### 步骤 4:求叶子结点数 = 总结点数 - 非叶子结点数
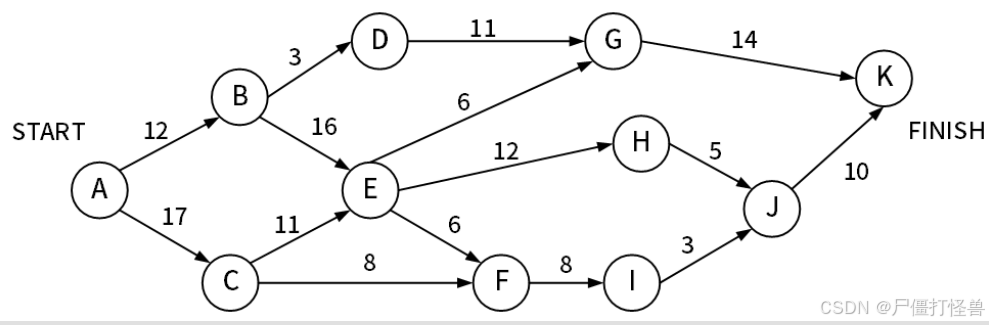
67 - 29 =38【考生回忆版】下图是一个软件项目的活动图,其中顶点表示项目里程碑,连接顶点的边表示包含的活动,则一共有()条关键路径
(1)
A.2
B.4
C.3
D.1
(2)
A.48
B.55
C.30
D.46
本题考查项目管理关键路径。
通过图示可以发现,找出最长的一条线路即为关键路径。
分别有4条这样的关键路径为:
ABEHJK、ABEFIJK、ACEHJK、ACEFIJK
总长度为55。
【考生回忆版】对于定点纯小数的数据编码,下述说法正确的是()。
A.仅原码能表示-1
B.仅反码能表示-1
C.原码和反码均能表示-1
D.仅补码能表示-1

【考生回忆版】软件测试过程中的系统测试主要是为了发现()阶段的问题。
A.软件实现
B.概要设计
C.详细设计
D.需求分析

【考生回忆版】WWW服务器与客户机之间主要采用()安全协议进行网页的发送和接收。
A.HTTP
B.HTTPS
C.HTML
D.SMTP超文本传输协议。HTTP本身不是安全的,因为它在传输过程中不对数据进行加密。
HTTPS:安全的超文本传输协议,它通过在HTTP和TCP之间添加一个加密层(通常是SSL/TLS)来提供加密通信
和身份验证。HTTPS确保在服务器和客户机之间传输的数据是安全的,并且服务器是真实的。
HTML:这是超文本标记语言(HyperText MarkupLanguage)的缩写,用于创建网页内容。
SMTP:邮件发送发送协议,它与WWVW服务器和客户机之间的网页传输不直接相关。
【考生回忆版】瀑布模型的主要特点是()。
A.用户容易参与到开发活动中
B.易于处理可变需求
C.缺乏灵活性
D.用户与开发者沟通容易本题考查开发模型。
瀑布模型是一种线性顺序的软件开发生命周期模型,其中每个阶段都必须在前一个阶段完成后才能开始。它按照需
求分析、设计、编码、测试和交付的顺序进行,且每个阶段都有明确的任务和输出。
A选项,瀑布模型的一个特点是线性,这限制了用户的参与。在瀑布模型中,用户主要在需求分析阶段参与,而在
后续阶段中参与度较低。
B选项,瀑布模型不善于处理需求变更。由于它的线性特性,如果在项目后期发生需求变更,那么可能需要回溯到
之前的阶段,重新进行设计、编码和测试,这会导致成本和时间上的巨大开销。
C选项,这正是瀑布模型的一个主要特点。由于其严格的线性结构和阶段之间的依赖性,瀑布模型在处理需求变
更、技术挑战或项目进度变化时缺乏灵活性。
D选项,在瀑布模型中,由于开发过程的高度结构化和线性化,用户与开发者之间的沟通并不总是容易的。特别是
在项目后期,当用户看到实际的产品并开始提出反馈时,可能需要进行大量的沟通和协调工作。
【考生回忆版】UMIL类图在软件建模时,给出软件系统的一种静态设计视图,用()关系可明确表示两类事物之间存在的特殊/一般关系。
A.聚合
B.依赖
C.泛化
D.实现本题考查UML关系。
依赖关系:一个事物发生变化影响另一个事物。
实现关系:接口与类之间的关系。
泛化关系:特殊/一般关系。
聚合关系:整体与部分生命周期不同。属于关联关系。
【考生回忆版】面向对象软件从不同层次进行测试。()层测试类中定义的每个方法,相当于传统软件测试中的单元测试。
xA.模板
B.系统
C.类
D.算法本题考查面向对象设计过程。
面向对象测试分为四个层次执行:
算法层:测试类中定义的每个方法,基本相当于传统软件测试的单元测试。
类层:测试封装在同一个类中的所有方法与属性之间的相互作用。可以认为是面向对象测试中特有的模块测试。
模板层:测试一组协调工作的类之间的相互作用。大体上相当于传统软件测试中的集成测试。
系统层:把各个子系统组装成完整的面向对象软件系统。
【考生回忆版】循环冗余校验码(CRC)利用生成多项式进行编码。设数据位为n位,校验位为k位,则CRC码的格式为()。
A.k个校验位按照指定间隔位与n个数据位混淆
B.k个校验位之后跟n个数据位
C.n个数据位之后跟k个校验位
D.k个校验位等间隔地放入n个数据位中本题考查校验码基础知识。
奇偶校验码编码方法:由若干位有效信息(如一个字节),再加上一个二进制位(校验位)组成校验码。这个校验
位可以加在最前面也可以是最后面。
CRC的编码方法是:在k位信息位之后拼接r位校验位。
海明校验码编码方法:在有效信息位中加入几个校验位形成海明码,使码距比较均匀地拉大,并把海明码的每个二
进制位分配到几个奇偶校验组中。
ABD描述错误,本题选择C选项。CRC计算:
https://www.cnblogs.com/konley/p/16815811.html
【考生回忆版】以下关于通过解释器运行程序的叙述中,错误的是()。
A.可以由解释器直接分析并执行高级语言源程序代码
B.与直接运行编译后的机器码相比,通过解释器运行程序的速度更慢
C.解释器运行程序比运行编译和链接方式产生的机器代码效率更高
D.可以先将高级语言程序转换为字节码,再由解释器运行字节码本题考查解释器程序。C
解释器是一种计算机程序,它可以直接读取、分析并执行以高级编程语言(如Python、Ruby、JavaScript等)编
写的源代码,而无需预先将其转换为机器代码。
编译型语言(如C、C++、Java等)的源代码首先会被编译成机器代码(或字节码),然后这些代码可以直接在硬
件上执行。而解释型语言(如Python、Ruby等)的源代码则需要解释器一行一行地读取、分析和执行,这通常会
比直接执行机器代码慢。
有些解释型语言(如Java)采用了一种中间步骤,即将源代码编译成字节码(bytecode),然后由解释器(或称为
虚拟机)在运行时解释执行这些字节码。这种方式结合了编译型语言和解释型语言的特点,既可以在一定程度上提
高执行效率,又保留了跨平台的能力。
【考生回忆版】下列算法属于Hash算法的是()。
A.SHA
B.DES
C.IDEA
D.RSA常用的消息摘要算法有MD5、SHA等,市场上广泛使用的MD5、SHA算法的散列值分别为128和160位,由于SHA
通常采用的密钥长度较长,因此安全性高于MD5。
其中DES和IDEA都属于对称加密算法,RSA属于非对称加密算法。
【考生回忆版】在关系表中选出若干属性列组成新的关系表,可以使用()操作实现。
A.投影
B.笛卡儿积
XC.选择
D.差本题考查数据库基础SQL语言。
投影:投影出某属性列。
笛卡尔积:两表之间的乘积,组成新的表之后,新表的属性列为两表之和,元组数为两表之乘积。
选择:选择某条件下的一条/多条元组记录。
差:两表之间的差集是指在该表中减去两者之间重复的元组。
本题选择A选项。
【考生回忆版】进行面向对象设计时,以下()不能作为继承的类型。
A.多重继承
B.分布式继承
C.单重继承
xD.层次继承本题考查面向对象基础。
对于面向对象的设计,支持多重继承和单重继承 (多个父类和一个父类)
同时也支持层次继承 (一般会同时实现继承类实现接口)
对于分布式继承不是面向对象体现的继承类型。
本题选择B选项。
【考生回忆版】已知二维数组A按行优先方式存储,每个元素占用2个存储单元,第一个元素A[0][0]的地址为100,元素A[3][3]的存
储地址是220,则元素A[5][5]的地址是()。
A.300
B.310
C.306
D.296本题考查数据结构矩阵与数组。
已知题目说明二维数组A按行进行存储,且每个元素占用2个存储单元,第一个元素A[0][0]的地址为100,A[3][3]的
地址为220。
我们先设每行有X个元素,从而推到出A[0][0]距离A[3][3]应该为X-1+2X+4=3X+3
间隔地址数为220-100=120,已知每个地址为2个存储单元,则有:
2(3X+3)=120,得出X=19,可知该二维矩阵的列为19。
故A[5][5]的地址应该为220+2(15+19+6)=300
设16位浮点数,其中阶符1位、阶码值6位、数符1位、尾数8位。若阶码用移码表示,尾数用补码表示,则该浮点数所能表示的数
值范围是()。
 
 
 
若对一个链表最常用的操作是在末尾插入结点和删除尾结点,则采用仅设尾指针的单向循环链表(不含头结点)时,()。
A.插入和删除操作的时间复杂度都为O(1)
B.插入和删除操作的时间复杂度都为O(n)
C.插入操作的时间复杂度为O(1),删除操作的时间复杂度为0(n)
D.插入操作的时间复杂度为O(n),删除操作的时间复杂度为O(1)

UML中关联的多重度是指()。
XA.一个类有多少个方法被另一个类调用
B.一个类的实例能够与另一个类的多少个实例相关联
C.一个类的某个方法被另一个类调用的次数
D.两个类所具有的相同的方法和属性本题考查的是UML中关联的多重度概念。
关联表示了对象间的结构关系。在很多建模问题中,说明一个关联的实例中有多少个相互连接的对象是很重要
的。这个"多少"被称为关联角色的多重度,把它写成一个表示取值范围的表达式或写成一个具体值。指定关联一端
的多重度,就是说明;在关联另一端的类的每个对象要求在本端的类必须有多少个对象。B
【考生回忆版】在双核处理器中,双核是指()。
A.执行程序时有两条指令流水线并行工作
B.在一个CPU中集成两个运算核心以提高运算能力
C.利用超线程技术实现的多任务并行处理
D.在主板上设置两个独立的CPU以提高处理能力本题考查的是CPU的组成。
A选项,执行程序时有两条指令流水线并行工作是超标量处理器中的一种设计,它可以在一个CPU中同时执行多
个指令,以提高处理器的处理能力。这种设计通常与超流水线技术结合使用,以进一步提高处理器的性能。因此,
执行程序时有两条指令流水线并行工作是超标量处理器中的一个特点,而不是双核处理器中的特点。A选项错误。
B选项,双核处理器是指在一个CPU中集成两个运算核心以提高运算能力,B选项正确。
C选项,超线程技术是一种实现多任务并行处理的技术,它可以在一个CPU的同一执行单元上同时执行多个线程
或任务。这种技术可以充分利用CPU的资源,提高处理器的整体性能。在双核处理器中,超线程技术也可以被应
用,但它的主要特点是两个核心可以同时执行不同的指令或任务,而不是在同一执行单元上实现多任务并行处理。
因此,利用超线程技术实现的多任务并行处理不是双核处理器中的特点。C选项错误。
D选项,双核是指在一个CPU中集成两个运算核心,而不是在主板上设置两个独立的CPU,所以D选项错误。
综上所述,本题选B。
【考生回忆版】以下关于折半查找的叙述中,不正确的是()。采用折半查找等概率查找某个包含8个元素的有序表,查找成功
的平均查找长度为()。
问题1
A.是一个分治算法
B.只能应用于有序表
C.查找成功和不成功的平均查找长度是一样的
D.若表长为n,时间复杂度为O(logn)问题2
A.9/8
xB.1/8
C.20/8
D.21/8本题考查的是二分查找。
折半查找(二分查找)是一种在有序数组中查找某一特定元素的搜索算法。搜索过程从数组的中间元素开始,如果
中间元素正好是目标值,则搜索过程结束;如果目标值大于或小于中间元素,则在数组大于或小于中间元素的那一
半中查找,而且同样从中间元素开始比较。如果在某一步骤数组为空,则代表找不到。这种搜索算法每一次比较都
使搜索范围缩小一半。折半查找的平均查找长度和最坏查找长度均为O(logn),因此选项A、D是正确的。
折半查找的前提是被查找的数据必须有序,因此选项B也是正确的。
而选项C是不正确的,因为折半查找成功和不成功的平均查找长度是不一样的。
综上所述,本题选C。本题求具体的查找成功的平均查找长度需要把每个元素的查找路径的查找次数一一列举出来最后除以8求平均值:
①找1号元素:4→2→1,3次;
②找2号元素:4→2,2次;
③找3号元素:4→2→3,3次;
④找4号元素:4,1次;
③找5号元素:4→6→5,3次;
?找6号元素:4→6,2次;
②找7号元素:4→6→7,3次;
③找8号元素:4→6→7→8,4次;
查找总次数:3+2+3+1+3+2+3+4=21,平均查找长度=21/8。
综上所述,本题选D。【考生回忆版】对采用面向对象方法开发的系统进行测试时,通常从不同层次进行测试。对类中定义的每个方法进行测试属于()层。
A.系统
B.算法
xC.类
D.模板本题考查面向对象测试相关知识。
-般来说,对面向对象软件的测试可分为下列4个层次进行。
(1)系统层。把各个子系统组装成完整的面向对象软件系统,在组装过程中同时进行测试。A选项错误。
(2)算法层。测试类中定义的每个方法,基本上相当于传统软件测试中的单元测试。B选项正确。
(3)类层。测试封装在同一个类中的所有方法与属性之间的相互作用。在面向对象软件中类是基本模块,因此可以
认为这是面向对象测试中所特有的模块测试。C选项错误。
(4)模板层。测试一组协同工作的类之间的相互作用,大体上相当于传统软件测试中的集成测试,但是也有面向对
象软件的特点(例如,对象之间通过发送消息相互作用)。D选项错误
综上所述,本题选B。
【考生回忆版】统一过程模型的四个阶段中,在()阶段进行需求分析和架构演进。
A.移交
B.精化
C.构建
D.起始本题考查的是软件开发方法中的统一过程模型。
统一过程模型将软件开发生命周期划分为四个阶段:起始阶段、精化阶段、构建阶段和移交阶段。
A、移交阶段:关注于软件提交方面的工作,产生软件增量。A错误。
B、精化阶段,在理解了最初的领域范围之后进行需求分析和架构演进。B正确。
C、构件阶段,关注系统的构建,产生实现模型。C错误
D、起始阶段,专注于项目的初创活动。D错误
综上所述,本题选B。
【考生回忆版】以下关于方法重载(Overload)和方法覆盖(Overide)与多态的关系的叙述中,不正确的是()。
A.覆盖通过动态绑定机制实现多态
B.重载通过动态绑定机制实现多态
C.重载属于编译时多态,在一个类中定义多个名称相同而参数表不同的方法
D.覆盖属于运行时多态,子类重新定义父类中已定义的方法本题考查的是面向对象一一重载、覆盖相关知识。
方法重载(Overload)是指在同一个类中,可以定义多个名称相同但参数列表不同的方法。在调用这些方法时,
会根据实际传递的参数类型和数量来确定调用哪个方法,这是编译时多态性的一个体现。
方法覆盖(Overriding)是指在子类中重新定义父类中已定义的方法,子类中的方法将完全取代父类中的同名方
法。在运行时,根据实际对象的类型来决定调用哪个方法,这是运行时多态性的一个体现。
因此,选项B是不正确的,因为重载不是通过动态绑定机制实现多态的。
【考生回忆版】浮点加(减)法运算过程中需要以下操作要素:
①零操作数检查
②规格化及舍入处理
③尾数加(减)运算
④对阶操作
正确的加(减)法操作流程是()。
A.①③④②
B.①④③②
xc.②①④③
D.@③②①本题考查的是浮点数相关知识。
首先,我们需要对操作数进行检查,特别是零操作数检查。如果有一个或两个操作数是零,那么结果就是零,不需要进行后续的运算。然后,我们需要进行对阶操作。这是因为在浮点表示中,数的精度是有限的,所以两个不同大小的数相加(减)可能会产生溢出或下溢。对阶操作可以确保两个操作数的指数差最小,从而避免这种问题。
接下来,我们进行尾数加(减)运算。这是实际的数学计算部分,根据两个操作数的尾数进行加法或减法运算。
最后,我们需要进行规格化及舍入处理。这是为了确保结果符合浮点数的表示规则。例如,如果结果的小数部分是0,那么我们只需要保留指数部分;如果结果超出了浮点数的表示范围,那么我们需要进行舍入或截断处理。
所以,正确的浮点加(减)法操作流程是:零操作数检查->对阶操作->尾数加(减)运算->规格化及舍入处
理。对应的选项是B.①④③②。
【考生回忆版】采用贪心策略求解()问题,一定可以得到最优解。
A.分数背包
xB.0-1背包
C.旅行商
D.最长公共子序列本题考查的是贪心算法。
贪心策略在分数背包问题中可以得到最优解,因为在分数背包问题中,每个物品都可以分割成任意大小,最优解可
以通过贪心策略得到。而在0-1背包问题中,每个物品只能选择一次或者不选择,贪心策略不能得到最优解。旅行
商问题和最长公共子序列问题也不能通过贪心策略得到最优解。因此,正确答案是A。
【考生回忆版】下列算法中,不属于公开密钥加密算法的是()。
A.DSA
B.ECC
C.DES
D.RSA本题考查的是加密算法相关知识。
公开密钥加密算法也称为非对称加密算法,它需要两个密钥:一个用于加密,另一个用于解密。在公开密钥加密算法中,两个密钥是不同的,因此被称为公钥和私钥。
常见的公开密钥加密算法包括RSA、ECC(椭圆曲线公钥加密算法)和DSA(数字签名算法)。A、B、D选项错误。
DES(数据加密标准)是一种对称加密算法,也就是说它只有一个密钥,既用于加密也用于解密。因此,DES不属于公开密钥加密算法。C选项正确,本题选C。
【考生回忆版】以下关于基于构件的开发模型的叙述中,不正确的是()。
A.本质上是演进模型,以迭代方式构建软件
B.必须采用面向对象开发技术
xC.采用预先打包的软件构件构造软件
D.构件可以是组织内部开发的,也可以是商品化成品软件构件本题考查的是软件开发模型相关知识。
基于构件的开发模型并不要求必须采用面向对象开发技术,可以使用其他开发方法,如过程式开发等。因此,选项B是不正确的。
其他选项的描述是正确的:
A.基于构件的开发模型本质上是演进模型,以迭代方式构建软件。它通过不断迭代和演化来完善软件系统。
C.基于构件的开发模型采用预先打包的软件构件构造软件。这些构件可以是组织内部开发的,也可以是商品化成品软件构件。
D.这些构件通常是可重用的,因为它们经过了预先设计和测试,可以在不同的应用中重复使用。这样可以提高开发效率,降低成本,并提高软件质量。
【考生回忆版】执行以下Python语句之后,列表x为()  
x= [1,2,3],x.append([4, 5])
A.[1,2,3,4,5]
B.[1,2,3]
C.[4,5]
D.[1,2, 3,[4,5]]本题考查的是Python语言基础知识。
首先,我们创建了一个列表X,包含元素1、2和3。然后,我们使用append方法将另一个列表[4,5]添加到x的末
尾。由于在Python中,列表是对象,因此我们可以将另一个列表添加到现有列表中,形成一个嵌套列表。
因此,选项A[1,2,3,4,5]是错误的,因为它没有考虑到我们将[4,5]作为一个单独的列表添加到X中。选项B[1,2,
3]显然是错误的,因为它没有包括添加到X中的[4,5]。选项C[4,5]也是错误的,因为它只考虑了添加到X中的子列
表,而忽略了其他元素。
因此,正确答案是选项D [1,2,3,[4,5]]。
【考生回忆版】防火墙不具备()功能。
A.病毒防治
B.状态检测
xC.代理
D.包过滤本题考查的是防火墙相关知识。
防火墙主要具有以下功能:
①包过滤:防火墙能对IP层进行筛选和过滤,特别是对IP包头进行有关信息的截取,如TCP/UDP源端口、TCP/UDP目标端口、IP源地址、IP目标地址等。
②代理:防火墙能代替内部网络向外部网络发送请求和接收响应,也能代替外部网络向内部网络发送请求和接收响应。
③状态检测:防火墙能将所有进出网络的数据流都纳入防火墙的监控范围,并根据事先设定的安全规则把守网络,提供强大的访问控制、应用选通、信息过滤等功能。
因此,防火墙不具备病毒防治功能,本题选A。
装饰(Decorator)模式可以给对象动态地添加一些额外的职责,而不改变该对象的结构。它是一种结构型设计模
式,通过将一个对象包装在一个装饰对象中来增加该对象的行为。在装饰模式中,可以在运行时动态地添加或删除
对象的行为,而不需要修改其结构。因此,选项A是正确的。
外观模式是一种通过为多个复杂的子系统提供一个一致的接口,而使这些子系统更加容易被访问的模式。
组合模式又名部分整体模式,是用于把一组相似的对象当作一个单一的对象。它允许客户端以统一的方式处理单个
对象和组合对象。
享元模式它的主要目的是通过共享对象来减少系统种对象的数量,其本质就是缓存共享对象,降低内存消耗。
【考生回忆版】以下关于白盒测试原则的叙述中,不正确的是()。
A.在所有的逻辑判断中,取“真"和取"假"的两种情况至少都能执行一次
xB.程序模块中的所有独立路径至少执行一次
C.每个循环都应在边界条件和一般条件下各执行一次
D.在输入条件规定的取值范围的情况下,合理的输入和不合理的输入至少都能执行一次本题考查白盒测试原则相关知识。
根据上述描述,选项A中的"在所有的逻辑判断中,取'真'和取"假的两种情况至少都能执行一次"是正确的,因为这是白盒测试的基本原则之一,即路径覆盖。选项B和C也是正确的,因为它们都涉及到边界条件的测试,以及所有独立路径的覆盖。
然而,选项D的描述"在输入条件规定的取值范围的情况下,合理的输入和不合理的输入至少都能执行一次"是不正确的。因为在白盒测试中,我们通常关注的是程序内部逻辑和路径覆盖,而不是输入数据是否"合理"或"不合理”。
合理与不合理的输入应当在黑盒测试中进行处理。
【考生回忆版】某文件管理系统在磁盘上建立了位示图(bitmap),记录滋盘的使用情况。若计算机系统的字长为128位,磁盘的
容量为1024GB,物理块的大小为8MB,那么该位示图的大小为()个字。
+A.4096
B.1024
C.2048
D.9600本题考查位示图大小计算。
由于物理块的单位为MB,所以我们需要先将磁盘容量的单位也转换成MB:磁盘容量=1024GB=1024*1024MB。则位示图大小=磁盘容量/物理块大小/计算机系统字长=1024*1024*MB/8MB/128bit=1024*1024*8Mbit/8*8Mbit/128bit =1024,选择B选项。
本题考查计算机I/O控制方式相关知识。
在微型计算机中,管理键盘最适合采用的I/O控制方式是中断方式。由于键盘输入的速度较慢,为了不占用CPU的时间,当键盘输入时,通过中断方式向CPU发出中断请求,CPU在执行完当前指令后,响应键盘中断请求,转去执行相应的中断服务程序,完成键盘输入数据的接收。因此,管理键盘最适合采用的I/O控制方式是中断方式,所以本题选D。
DMA是I/O设备与主存之间由硬件组成的直接数据通路,主要用于高速I/O设备与主存之间的成组数据传送。
程序传送。通过无条件或者i等条件语句使cpu主动进行数据传输,但是这种情况下要等待外设准备好,会浪费大量的等待时间。
无条件传送方式适用于对一些简单的外设的操作中,如:开关、七段显示管等。本题考查程序设计语言,存储空间相关知识。
在C/C++程序中,内存分为四个区域:
代码区:存储编译后的二进制代码,即程序的机器语言指令;
静态存储区:存储全局变量、静态变量和常量,包括字符串常量;
堆区:由程序员分配和管理,若程序员不回收,程序结束时由操作系统回收;
栈区:由编译器自动分配和释放,存放函数的参数值,局部变量等。
在函数中定义的非静态局部变量属于栈区,其存储空间在函数被调用时分配,函数返回时释放,本题选A。
【考生回忆版】以下关于PERT图的叙述中,不正确的是()。
A.易于看出每个子任务的持续时间
B.易于看出目前项目的实际进度情况
C.易于看出子任务之间的衔接关系
D.易于识别出关键的子任务本题考查PERT图相关知识。
PERT图是一种用于表示项目进度和关键任务的图表,PERT图不仅给出了每个任务的开始时间、结束时间和完成该任务所需的时间,还给出了任务之间的关系,即哪些任务完成之后才能开始另外的一些任务,以及如期完成整个工程的关键路径。所以,ACD描述正确。但是,PERT图并不能直接反映出项目的实际进度情况。因此,选项B是
不正确的。
【考生回忆版】一棵哈夫曼树共有127个结点,对其进行哈夫曼编码,共能得到()个字符的编码。
A.64
B.127
C.63
D.126本题考查哈夫曼编码相关知识。
哈夫曼编码(Huffman Coding)是一种用于无损数据压缩的熵编码(权编码)算法。在哈夫曼树中,每个叶子节点都代表一个字符,而节点的权重通常代表字符的频率。
在哈夫曼编码中,每个字符都会被赋予一个二进制编码。为了获得这些编码,我们可以对哈夫曼树进行遍历,从根节点开始,对每个路径进行编码。哈夫曼树的构造过程,限定了这棵树只存在度为0的叶子节点以及度为2的合并节点,对于编码过程,只有叶子结点才需要编码。
根据二叉树的特性:度为0的节点(即叶子结点)个数n0与度为2的节点(即合并节点)个数n2之间,存在n0-n2=1的关系。题干给定一棵哈夫曼树共有127个结点,即n0+n2=127,计算可得,n0=64,n2=63,此时有64个叶子节点也就是64个字符需要编码。因此,BCD错误,本题选择A选项。n0-n2 = 1
n0+n2=127
n0=64(需要编码的个数)
【考生回忆版】在SQL中,结束事务通常可以使用COMMTT和ROLLBACK语句。若某事务T执行了()。
A.ROLLBACK语句,则可将T;对数据库的更新撤销
B.ROLLBACK语句,则可将T;对数据库的更新写入数据库
C.COMMIT语句,则T;对数据库影响可用ROLLBACK语句来撤销
D.ROLLBACK语句,则表示T;已正确地执行完毕本题考查数据库系统事务特性相关知识
在SQL中,结束事务可以使用COMMIT和ROLLBACK语句。
COMMIT语句:用于提交事务的所有操作。它会将事务中的所有更改应用到数据库。COMMIT语句将事务写入磁
盘上的日志文件,并释放事务占用的资源。一旦提交了事务,就不能撤销所做的更改。
ROLLBACK语句:用于撤销事务中的所有更改并回滚到事务开始之前的状态。ROLLBACK语句将所有未提交的更
改撤销,并释放事务占用的资源。ROLLBACK语句将事务回滚到开始状态,就像事务从未发生过一样。
因此,若某事务T执行了ROLLBACK语句,那么该事务的所有操作都将被撤销,回到事务开始之前的状态。A选项
正确、B选项错误。
而若执行了COMMIT语句,则该事务的所有更改都将被提交并应用到数据库。C、D选项错误。
综上所述,本题选A。
【考生回忆版】利用报文摘要算法生成报文摘要的目的是()。
A.防止发送的报文被篡改
B.对传输数据进行加密,防止数据被窃听
C.验证通信对方的身份,防止假冒
D.防止发送方否认发送过的数据本题考查信息安全加密技术相关知识
报文摘要算法是一种加密算法,它的主要作用是验证信息的完整性,即防止发送的报文被篡改。因此,利用报文摘
要算法生成报文摘要的目的是为了防止发送的报文被篡改(A选项正确)。其他选项如加密、验证通信对方的身
份、防止否认等都不是报文摘要算法的主要目的。
B项报文摘要算法并不是用于加密数据的,而是用于验证数据的完整性。
C项报文摘要算法不能直接验证通信对方的身份。
D项一般是数字签名技术的作用。
【考生回忆版】采用简单选择排序算法对序列(34,12,49,28,31,52,51,49)进行非降序排序,两趟后的序列为()。
A.(12, 28, 49, 34, 31, 52, 51, 49)
B.(12, 28, 34, 49, 31, 52, 51, 49)
C.(12, 28, 31, 49, 34, 52, 51, 49)
D.(34, 12, 49, 28, 31, 49, 51, 52)本题考查常见排序算法相关知识
简单选择排序是一种比较基础的排序算法。在这种算法中,我们首先找到序列中的最小(或最大)元素,然后把它放在序列的首位。然后,我们在剩下的元素中找到最小(或最大)元素,把它放在第二位。我们重复这个过程,直到整个序列都被排序。
给定的序列是(34,12,49,28,31,52,51,49)。
第一趟:
首先,我们找到序列中的最小元素,这是12。然后我们将12与首位34交换位置,如此,我们得到序列
(12,34,49,28, 31,52,51, 49)。
第二趟:
在已经排序的序列(12,34,49,28,31,52,51,49)中,我们找到次小元素是28,我们将28与第2个元素34交换位置,如此,我们得到序列(12,28,49,34,31,52,51,49)。
所以两趟后的序列为(12,28,49,34,31,52,51,49),BCD选项显然不符合,本题选A
【考生回忆版】在设计模块M和模块N时,,()是最佳的设计。
A.M和N通过通信模块传送数据
B.M和N通过公共数据域传送数据
C.M和N通过简单数据参数交换信息
D.M直接访问N的数据本题考查模块设计原则相关知识
在设计模块M和模块N时,最佳的设计是通过通信模块传送数据,这样可以避免直接访问数据和公共数据域,从而
提高软件的可维护性和可重用性,B、D两项无法避免。C项如果模块M和模块N之间的数据交换变得复杂或者需要
频繁进行则不合适。因此,选项A是最佳的设计。
【考生回忆版】数据库概念结构设计阶段的工作步骤包括①~④,其正确的顺序为()。
①设计局部视图 ②抽象数据③修改重构消除冗余 ④合并取消冲突
A.①-(2)->(4)(3
B.①(3
C.②→①→③→@
D.②→①→④→③本题考查数据库概念结构设计过程相关知识。
数据库概念结构设计阶段的工作步骤应该是首先对数据进行抽象,以确定需要哪些数据以及它们之间的关系。然后,根据抽象出的数据,设计局部视图。接下来,将各个局部视图进行合并,并消除其中的冲突和冗余。最后,对合并后的数据进行修改和重构,以确保数据的一致性和完整性。A、B、C三项顺序有误,正确的顺序应该是D。


 
【问题1】(3分)
使用说明中的词语,给出图1中的实体E1~E3的名称。
【问题2】(4分)
使用说明中的词语,给出图2中的数据存储D1~D4的名称
【问题3】(4分)
根据说明和图中术语,补充图2中缺失的数据流及其起点和终点。
【问题4】(4分)
什么是分层数据流图中父图与子图的平衡?如何保持。【问题1】
E1:管理员
E2:众包工作者
E3:其它训练平台
【问题2】
D1:用户表
D2:答复表
D3:问题类别表
D4:问题表
【问题3】
E2->P3 问题建议
E2->P2 问题建议
【问题4】
父图与子图之间平衡是指任何一张DFD子图边界上的输入/输出数据流必须与其父图对应加工的输入/输出数据流保持一致。
父图中某个加工的一条数据流对应于子图中的几条数据流而子图中组成这些数据流的数据项全体正好等于父图中的这条数据流,那么它们仍然是平衡的。

 
 2025年5月10日~
