数字信号处理|| 离散系统的冲激响应和阶跃响应
一、实验目的
(1)加深对离散线性移不变(LSI)系统基本理论的理解,明确差分方程与系统函数之间的关系。
(2)初步了解用MATLAB语言进行离散时间系统研究的基本方法。
(3)掌握求解离散时间系统冲激响应和阶跃响应程序的编写方法,了解常用子函数。
二、实验涉及的MATLAB子函数
(1)impz
功能:求解数字系统的冲激响应。
调用格式:
[h,t]=impz(b,a);求解数字系统的冲激响应h,取样点数为缺省值。
[h,t]=impz(b,a,n);求解数字系统的冲激响应h,取样点数由n确定。
impz(b,a);在当前窗口用stem(t,h)函数出图。
(2)dstep
功能:求解数字系统的阶跃响应。
调用格式:
[h,t]=dstep(b,a);求解数字系统的阶跃响应h,取样点数为缺省值。
[h,t]=dstep(b,a,n);求解数字系统的阶跃响应h,取样点数由n确定。
dstep(b,a);在当前窗口用stairs(t,h)函数出图。
(3)filter
功能:对数字系统的输入信号进行滤波处理。
调用格式:
y=filter(b,a,x);对于由矢量a、b定义的数字系统,当输入信号为x时,对x中的数据进行滤波,结果放于y中,长度取max(na,nb)。
[y,zf]=filter(b,a,x);除得到结果矢量y外,还得到x的最终状态矢量zf。y=filter(b,a,x,zi);可在zi中指定x的初始状态。
(4)filtic
功能:为filter函数选择初始条件。
调用格式:
z=filtic(b,a,y,x);求给定输入x和y时的初始状态。
z=filtic(b,a,y);求x=0,给定输入y时的初始状态。
其中,矢量x和y分别表示过去的输入和输出:
x=[x(-1),x(-2),…,x(-N)]
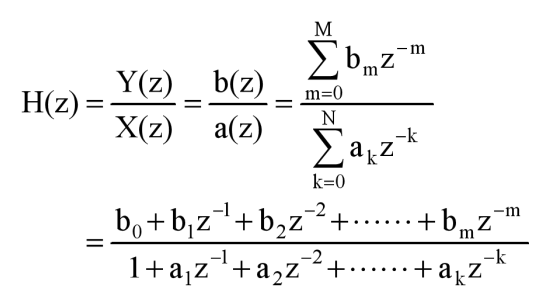
y=[y(-1),y(-2),…,y(-N)]说明:以上子函数中的b和a,分别表示系统函数H(z)中由对应的分子项和分母项系数所构成的数组。如式(4-2)所示,H(z)按z-1(或z)的降幂排列。在列写b和a系数向量时,两个系数的长度必须相等,它们的同次幂系数排在同样的位置上,缺项的系数赋值为0。
在MATLAB信号处理工具箱中,许多用于多项式处理的函数,都采用以上的方法来处理分子项和分母项系数所构成的数组。在后面的实验中不再说明。
三、实验原理
(1)离散LSI系统的响应与激励
由离散时间系统的时域和频域分析方法可知,一个线性移不变离散系统可以用线性常系数差分方程表示:

也可以用系统函数来表示:

系统函数H(z)反映了系统响应与激励间的关系。一旦上式中的bm和ak的数据确定了,则系统的性质也就确定了。其中特别注意:a0必须进行归一化处理,即a0=1。
对于复杂信号激励下的线性系统,可以将激励信号在时域中分解为单位脉冲序列或单位阶跃序列,把这些单元激励信号分别加于系统求其响应,然后把这些响应叠加,即可得到复杂信号加于系统的零状态响应。因此,求解系统的冲激响应和阶跃响应尤为重要。由图4-1可以看出一个离散LSI系统响应与激励的关系。同时,图4-1显示了系统时域分析方法和z变换域分析法的关系。如果已知系统的冲激响应h(n),则对它进行z变换即可求得系统函数H(z);反之,知道了系统函数H(z),对其进行z逆变换,即可求得系统的冲激响应h(n)。

(2)用impz和dstep子函数求解离散系统的单位冲激响应和阶跃响应
在MATLAB语言中,求解系统单位冲激响应和阶跃响应的最简单的方法是使用MATLAB提供的impz和dstep子函数。
下面举例说明使用impz和dstep子函数求解系统单位冲激响应和阶跃响应的方法。
四、实验任务
(1)认真阅读实验原理部分,明确本次实验目的,复习有关离散LSI系统的理论知识。
(2)读懂实验原理并编写例题程序,理解每一条语句的意义,了解用MATLAB进行离散时间系统冲激响应和阶跃响应求解的方法、步骤,熟悉MATLAB与本实验有关的子函数。
(3)列写已调试通过的实验任务程序,打印或描绘实验程序产生的曲线图形。
五、实验程序及运行结果
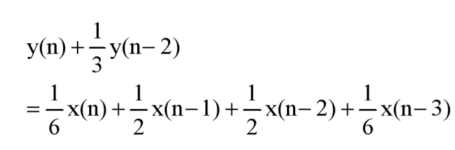
(1)已知一个因果系统的差分方程为
6y(n)+2y(n-2)=x(n)+3x(n-1)+3x(n-2)+x(n-3)
满足初始条件y(-1)=0,x(-1)=0,求系统的单位冲激响应和阶跃响应。
解 将y(n)项的系数a0进行归一化,得到

分析上式可知,这是一个3阶系统,列出其bm和ak系数:

MATLB程序如下(取N=32点作图):
a = [1, 0, 1/3, 0]; % 滤波器的分母系数
b = [1/6, 1/2, 1/2, 1/6]; % 滤波器的分子系数
N = 32; % 定义冲激响应和阶跃响应的点数
n = 0:N-1; % 创建时间序列
% 求时域单位冲激响应
hn = impz(b, a, n);
% 求时域单位阶跃响应
gn = dstep(b, a, n);
% 使用subplot(1, 2, i)创建1行2列的子图布局,并在第i个子图中绘图
subplot(1, 2, 1); stem(hn, 'filled'); % 显示冲激响应曲线
title('系统的单位冲激响应'); % 设置标题
ylabel('h(n)'); % 设置y轴标签
xlabel('n'); % 设置x轴标签
axis([0 N 1.1*min(hn) 1.1*max(hn)]); % 限定显示范围
subplot(1, 2, 2); stem(gn, 'filled'); % 显示阶跃响应曲线
title('系统的单位阶跃响应'); % 设置标题
ylabel('g(n)'); % 设置y轴标签
xlabel('n'); % 设置x轴标签
axis([0 N 1.1*min(gn) 1.1*max(gn)]); % 限定显示范围
运行结果:

(2)用filtic和filter子函数求解离散系统的单位冲激响应
MATLAB提供了两个子函数filtic和filter来求解离散系统的响应。当输入信号为单位冲激信号时,求得的响应即为系统的单位冲激响应;当输入信号为单位阶跃信号时,求得的响应即为系统的单位阶跃响应。
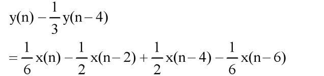
1)已知一个因果系统的差分方程为
6y(n)-2y(n-4)=x(n)-3x(n-2)+3x(n-4)-x(n-6)
满足初始条件y(-1)=0,x(-1)=0,求系统的单位冲激响应和单位阶跃响应。时间轴上N取32点作图。
解: 将y(n)项的系数a0进行归一化,得到

分析上式可知,这是一个6阶系统,直接用MATLAB语言列出其bm和ak系数:
a=[1,0,0,0,-1/3,0,0];
b=[1/6,0,-1/2,0,1/2,0,-1/6];
注意:原公式中存在着缺项,必须在相应的位置上补零。
MATLAB程序如下:
x01 = 0; % 初始条件
y01 = 0; % 初始条件
N = 32; % 采样点数
a = [1, 0, 0, 0, -1/3, 0, 0]; % 差分方程系数
b = [1/6, 0, -1/2, 0, 1/2, 0, -1/6]; % 差分方程系数% 求等效初始条件的输入序列
xi = filtic(b, a, x01, y01);
% 建立N点的时间序列
n = 0:N-1;
% 建立输入单位冲激信号 x1(n)
x1 = (n == 0);
% 对输入单位冲激信号进行滤波,求冲激响应
hn = filter(b, a, x1, xi);
% 建立输入单位阶跃信号 x2(n)
x2 = (n >= 0);
% 对输入单位阶跃信号进行滤波,求阶跃响应
gn = filter(b, a, x2, xi);
% 显示系统单位冲激响应
subplot(1, 2, 1);
stem(n, hn);
title('系统单位冲激响应');
% 显示系统单位阶跃响应
subplot(1, 2, 2);
stem(n, gn);
title('系统单位阶跃响应');
运行结果:

六、实验心得
在离散系统的冲激响应和阶跃响应实验中,我加深了对离散线性移不变(LSI)系统基本理论的理解,并初步掌握了使用MATLAB求解离散时间系统的冲激响应和阶跃响应的方法。使用impz和dstep函数进行系统响应分析的过程让我印象深刻。编写相应的MATLAB程序并观察系统响应曲线,让我对系统的动态行为有了了解。
