第九节:图像处理基础-图像几何变换 (缩放、旋转、平移、翻转)
引言
在计算机视觉和图像处理领域,几何变换是最基础且应用最广泛的技术之一。通过改变图像的几何结构,我们可以实现图像缩放以适应不同分辨率设备,旋转图像以校正方向偏差,平移目标物体进行位置对齐,或通过翻转操作增强数据集。本文将从数学原理、算法实现和实际应用三个维度,深入解析图像几何变换的核心技术。
一、图像坐标系基础
1.1 笛卡尔坐标系与图像坐标系
传统笛卡尔坐标系原点位于左下角,而数字图像采用左上角坐标系系统。这种差异导致在实现几何变换时需要特别注意坐标转换:
# OpenCV坐标系示例
height, width = image.shape[:2]
center = (width//2, height//2) # 水平方向优先的坐标表示
1.2 齐次坐标的数学意义
齐次坐标通过增加一个维度将线性变换和平移统一表示为矩阵乘法:

该表示法使变换组合可以通过矩阵连乘实现,极大简化了复合变换的计算过程。
二、核心几何变换原理
2.1 图像缩放(Scaling)
2.1.1 各向同性缩放
保持宽高比的缩放通过比例因子s实现:

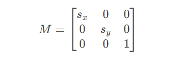
对应的齐次矩阵为:

2.1.2 各向异性缩放
允许不同轴向的缩放系数,常用于特殊变形处理:

OpenCV实现:
resized = cv2.resize(img, (new_w, new_h), interpolation=cv2.INTER_LANCZOS4)
2.1.3 插值算法对比
| 插值方法 | 计算复杂度 | 适用场景 |
|---|---|---|
| 最近邻插值 | O(1) | 实时处理,边缘锐利 |
| 双线性插值 | O(n) | 通用场景,质量与效率平衡 |
| 双三次插值 | O(n^2) | 高质量放大 |
| Lanczos插值 | O(n^2) | 专业级图像缩放 |
2.2 图像旋转(Rotation)
2.2.1 标准旋转变换
绕原点逆时针旋转θ角的变换矩阵:

2.2.2 绕任意点旋转
实际应用通常需要绕图像中心旋转:
M = cv2.getRotationMatrix2D(center, angle, scale)
对应的齐次矩阵扩展为:

2.2.3 旋转后黑边处理策略
-
裁剪法:保留最大内接矩形
-
扩展法:调整输出画布尺寸
-
填充法:使用边界颜色或智能填充
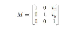
2.3 图像平移(Translation)
最简单的仿射变换,数学表示为:

实践注意:
# 创建平移矩阵
M = np.float32([[1, 0, 100], [0, 1, 50]])
# 应用变换时需要指定输出尺寸
rows, cols = img.shape[:2]
dst = cv2.warpAffine(img, M, (cols+100, rows+50))
2.4 图像翻转(Flip)
2.4.1 水平翻转矩阵

2.4.2 垂直翻转矩阵

OpenCV快捷实现:
flipped = cv2.flip(img, 1) # 1:水平翻转, 0:垂直翻转, -1:双向翻转
三、复合变换与实战应用
3.1 变换矩阵的组合
通过矩阵连乘实现复杂变换,注意顺序影响最终结果:

3.2 透视变换进阶
当需要处理三维投影效果时,需使用透视变换:

代码实现:
M = cv2.getPerspectiveTransform(pts1, pts2)
result = cv2.warpPerspective(img, M, (maxWidth, maxHeight))
3.3 实际应用案例
3.3.1 文档校正系统
# 自动边缘检测与透视校正流程
gray = cv2.cvtColor(img, cv2.COLOR_BGR2GRAY)
edges = cv2.Canny(gray, 50, 150)
contours = cv2.findContours(edges, cv2.RETR_LIST, cv2.CHAIN_APPROX_SIMPLE)
# 选取最大四边形轮廓并进行透视变换
3.3.2 数据增强流水线
datagen = ImageDataGenerator(rotation_range=20,width_shift_range=0.2,height_shift_range=0.2,horizontal_flip=True,zoom_range=0.2
)
3.3.3 全景图像拼接
# 特征点匹配与变换矩阵估计
stitcher = cv2.Stitcher_create()
status, panorama = stitcher.stitch([img1, img2])
四、性能优化技巧
4.1 矩阵运算加速
# 使用NumPy广播机制优化
def batch_transform(images, M):# 扩展M到批量维度M_batch = np.repeat(M[np.newaxis], len(images), axis=0)# 执行批量变换return cv2.warpAffine_batch(images, M_batch)
4.2 GPU加速实现
import cupy as cp
img_gpu = cp.asarray(img)
M_gpu = cp.asarray(M)
# 在GPU上执行变换
result_gpu = cp.zeros_like(img_gpu)
cp.ElementwiseKernel('raw uint8 img, raw float32 M','uint8 out','''int x = i % width;int y = i / width;float xp = M[0]*x + M[1]*y + M[2];float yp = M[3]*x + M[4]*y + M[5];// 执行插值计算''','warp_kernel')(img_gpu, M_gpu, result_gpu)
五、前沿发展与挑战
-
基于深度学习的几何变换:
-
Spatial Transformer Networks(STN)
-
可微分图像采样器
-
-
非刚性形变处理:
-
薄板样条插值(TPS)
-
自由形变模型(FFD)
-
-
实时AR应用:
-
基于特征点的动态变换
-
SLAM系统中的位姿估计
-
结语
图像几何变换作为数字图像处理的基石,其理论看似简单却蕴含着深刻的数学原理。从基础的缩放旋转到复杂的透视变换,这些技术支撑着从手机拍照到卫星遥感的各种应用。随着硬件计算能力的提升和深度学习的发展,几何变换技术正在向更智能、更自适应的方向演进。理解这些基础原理,将为我们开发更先进的计算机视觉系统奠定坚实的基础。
数学符号说明:
(x,y)(x,y): 原始坐标
(x′,y′)(x′,y′): 变换后坐标
θθ: 旋转角度(弧度制)
ss: 缩放因子
tx,tytx,ty: 平移量
通过系统学习这些几何变换技术,开发者可以灵活应对各种图像处理需求,为后续的特征提取、模式识别等高级任务打下坚实基础。建议读者结合OpenCV等工具进行实践操作,深入理解理论背后的实现细节。

