求组合数【递推+快速幂+卢卡斯+线性筛】
目录
- 递推 杨辉三角
- 快速幂+逆元
- 卢卡斯定理
- 高精度 线性筛
- 题目练习
递推 杨辉三角

可以将 C n m C_n^m Cnm理解为从n个不同的数中选m个有几种选法。
方案数就是 C n m C_n^m Cnm。
由于n,m的范围不大,可以利用递归
递归式: C n m C_n^m Cnm= C n − 1 m C_{n-1}^m Cn−1m+ C n − 1 m − 1 C_{n-1}^{m-1} Cn−1m−1
理解:
对第一个数有选和不选两种方式
- 不选,从剩下的n-1个数中选m个 即 C n − 1 m C_{n-1}^m Cn−1m
- 选,从剩下的n-1个数中选m-1个 即 C n − 1 m − 1 C_{n-1}^{m-1} Cn−1m−1
特别的,选0次时应赋值为1,以便后面递推;
时间复杂度O(n*n)
void getC()
{for(int i=0;i<N;i++){for(int j=0;j<i;j++){if(j==0)c[i][j]=1;elsec[i][j]=c[i-1][j]+c[i-1][j-1];}}
}

通过列表发现,与杨辉三角的规律一致。
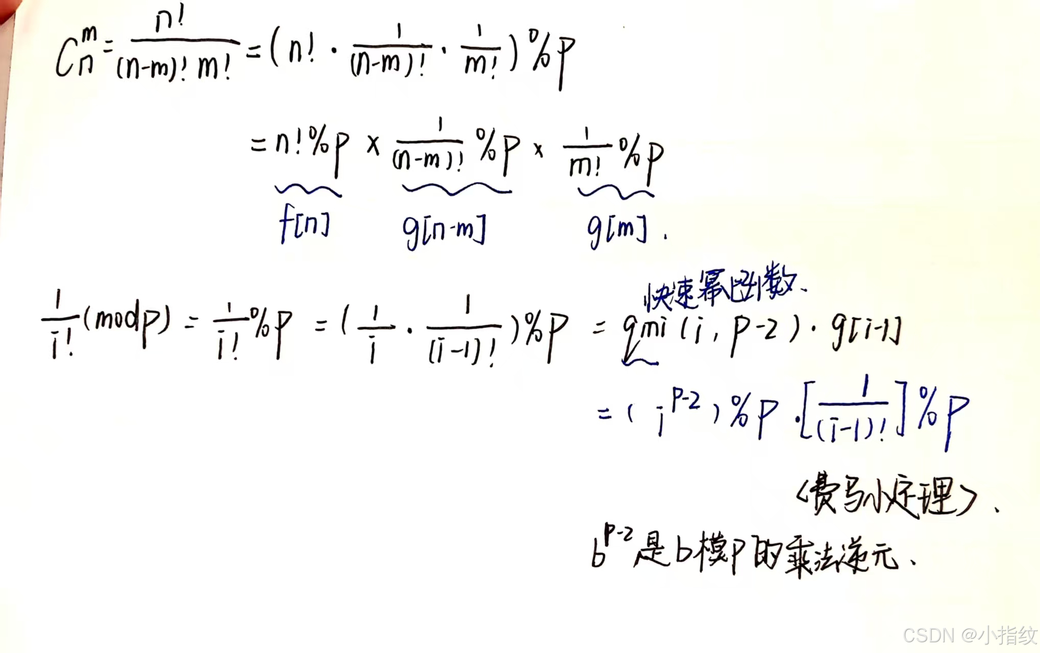
快速幂+逆元

当n,m的范围较大时,我们就不能用递归了,因为会TLE.
考虑用阶乘公式来计算:

阶乘的逆元怎么算?

为了能清楚的理解,还是建议大家自己推导推导~

时间复杂度O(nlogP)
void qmi(int a,int b)//快速幂
{int ans=1;while(b){if(b&1)ans=ans*a%P;a=a*a%P;b>>=1; }return ans;
}
void init()//打表
{f[0]=g[0]=1;for(int i=1;i<N;i++){f[i]=f[i-1]*i%P;g[i]=g[i-1]*qmi(i,P-2)%P;}
}
int getC()
{return f[n]*g[m]%P*g[n-m]%P;
}
卢卡斯定理

这个n和m的范围太大了,上面两个方法都不行,就要学习新的方法啦。
这个新的方法是让m/p和n/p的组合数与m%p和n%p的组合数相乘
。

时间复杂度O(plogp+logpn)
代码很简单,会用到上面的内容
void qmi(int a,int b)
{int ans=1;while(b){if(b&1)ans=ans*a%P;a=a*a%P;b>>=1; }return ans;
}
void init()//打表
{f[0]=g[0]=1;for(int i=1;i<N;i++){f[i]=f[i-1]*i%P;g[i]=g[i-1]*qmi(i,P-2)%P;}
}
int getC()
{return f[n]*g[m]*g[n-m]%p;
}
int lucas(int n,int m,int p)
{if(m==0)return 1;return lucas(n/p,m/p,p)*getC(n%p,m%p,p)%p;
}
高精度 线性筛

组合数的增长速度相当的快,必须用高精度来存。
- 1.筛质数,把1~n之间的质数筛出来。
- 2.枚举所有质数。

代码实现:
int get(int n,int p)//n的阶乘中p的个数
{int s=0;while(n)s+=n/p,n/=p;return s;
}
int getC(int n,int m,int p)//C中P的个数
{return get(n,p)-get(m,p)-get(n-m,p);
}
void mul(int c[],int p,int &len)//高精度
{int t;for(int i=0;i<len;i++){t+=c[i]*p;c[i]=t%10;t/=10;} while(t){c[len++]=t%10;t/=10;}
}
int main()
{int c[N],len=1,c[0]=1;for(int i=0;i<cnt;i++){int p=prim[i];int s=getC(n,m,p);while(s--)mul(c,p,len);}
}
题目练习
题目来源:B3717 组合数问题
题目描述
给出 T T T 次询问,每次给出 n , m n,m n,m,请求出 ( n m ) \binom{n}{m} (mn) 对 998 , 244 , 353 998,244,353 998,244,353 取模的结果。
其中 ( n m ) \binom{n}{m} (mn) 为二项式系数,它的另一种写法是 C n m C_n^m Cnm。
输入格式
输入的第一行是两个整数,分别表示询问的次数 T T T 和所给出 n n n 的最大值 N N N。
接下来 T T T 行,每行两个整数,依次表示给出的 n n n 和 m m m。
输出格式
为了避免输出过大,请你输出一行一个整数,表示所有询问的结果的按位异或和。
输入 #1
3 5
3 3
4 2
5 3
输出 #1
13
说明/提示
样例 1 解释
三组询问的答案依次是 1 , 6 , 10 1, 6, 10 1,6,10。
数据规模与约定
对 100 % 100\% 100% 的数据,保证 1 ≤ T ≤ 5 × 1 0 6 1 \leq T \leq 5 \times 10^6 1≤T≤5×106, 0 ≤ m ≤ n ≤ N ≤ 5 × 1 0 6 0 \leq m \leq n \leq N \leq 5 \times 10^6 0≤m≤n≤N≤5×106。
提示
请注意大量的数据读入对程序效率造成的影响,选择合适的读入方式,避免超时。
#include<bits/stdc++.h>
#define int long long
using namespace std;
const int N = 5e6+5;
int g[N], f[N], q[N];
const int p = 998244353;
void init(int n, int p) {g[1] = 1, f[0] = 1, q[0] = 1;for(int i = 2; i <= n; i++) g[i] = (p - p / i) * g[p % i] % p; // 线性求逆元for(int i = 1; i <= n; i++) f[i] = f[i - 1] * g[i] % p, q[i] = q[i - 1] * i % p; // 线性求阶乘逆元
}
signed main() {ios::sync_with_stdio(0);int ans = 0, t, maxn;cin >> t >> maxn;init(maxn, p);while(t--) {int n, m; cin >> n >> m;int a = q[n] * f[m] % p * f[n - m] % p;ans ^= a;}cout << ans << endl;return 0;
}
如有不足,后续补充~
