初学python的我开始Leetcode题8-3
提示:100道LeetCode热题-8-3主要是二叉树相关,包括三题:将有序数组转换为二叉搜索树、验证二叉搜索树、二叉搜索树中第K小的元素。由于初学,所以我的代码部分仅供参考。
目录
前言
题目1:将有序数组转换为二叉搜索树
1.题目要求:
2.结果代码:
题目2:验证二叉搜索树
1.题目要求:
2.结果代码:
题目3:二叉搜索树中第K小的元素
1.题目要求:
2.结果代码:
总结
前言
五一快乐~
二叉搜索树奉上~
提示:以下是本篇文章正文内容,下面结果代码仅供参考
题目1:将有序数组转换为二叉搜索树
1.题目要求:
题目如下:
给你一个整数数组
nums,其中元素已经按 升序 排列,请你将其转换为一棵 平衡 二叉搜索树。示例 1:
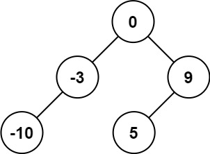
输入:nums = [-10,-3,0,5,9] 输出:[0,-3,9,-10,null,5] 解释:[0,-10,5,null,-3,null,9] 也将被视为正确答案:
示例 2:
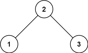
输入:nums = [1,3] 输出:[3,1] 解释:[1,null,3] 和 [3,1] 都是高度平衡二叉搜索树。提示:
1 <= nums.length <=-<= nums[i] <=
nums按 严格递增 顺序排列
代码框架已经提供如下:
# Definition for a binary tree node.
# class TreeNode(object):
# def __init__(self, val=0, left=None, right=None):
# self.val = val
# self.left = left
# self.right = right
class Solution(object):
def sortedArrayToBST(self, nums):
"""
:type nums: List[int]
:rtype: Optional[TreeNode]
"""
2.结果代码:
class Solution(object):def sortedArrayToBST(self, nums):if not nums:returnmid_index = len(nums) // 2return TreeNode(nums[mid_index], self.sortedArrayToBST(nums[:mid_index]), self.sortedArrayToBST(nums[mid_index + 1:])) 
说明:
1)更快,Python 的列表切片操作在底层是高度优化的,对于小数组,切片操作的常数开销可能比递归调用的开销小。

2)小心Python 的递归深度默认为 1000。如果数组非常大,递归调用可能会导致栈溢出。。
题目2:验证二叉搜索树
1.题目要求:
题目如下:
给你一个二叉树的根节点
root,判断其是否是一个有效的二叉搜索树。有效 二叉搜索树定义如下:
- 节点的左子树只包含 小于 当前节点的数。
 - 节点的右子树只包含 大于 当前节点的数。
 - 所有左子树和右子树自身必须也是二叉搜索树。
 示例 1:
输入:root = [2,1,3] 输出:true示例 2:
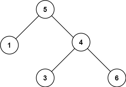
输入:root = [5,1,4,null,null,3,6] 输出:false 解释:根节点的值是 5 ,但是右子节点的值是 4 。提示:
- 树中节点数目范围在
 [1,内]
-<= Node.val <=
- 1
代码框架已经提供如下:
# Definition for a binary tree node.
# class TreeNode(object):
# def __init__(self, val=0, left=None, right=None):
# self.val = val
# self.left = left
# self.right = right
class Solution(object):
def isValidBST(self, root):
"""
:type root: Optional[TreeNode]
:rtype: bool
"""
2.结果代码:
方法一:递归检查(带范围)
# Definition for a binary tree node.
class TreeNode(object):def __init__(self, val=0, left=None, right=None):self.val = valself.left = leftself.right = rightclass Solution(object):def isValidBST(self, root):""":type root: TreeNode:rtype: bool"""def is_valid_bst_helper(node, lower=float('-inf'), upper=float('inf')):if not node:return Trueif node.val <= lower or node.val >= upper:return Falsereturn (is_valid_bst_helper(node.left, lower, node.val) andis_valid_bst_helper(node.right, node.val, upper))return is_valid_bst_helper(root) 
-  
定义了一个递归辅助函数
is_valid_bst_helper,它接收三个参数。 -  
如果当前节点为空(
node为None),返回True,因为空树是有效的二叉搜索树。 -  
如果当前节点的值小于等于下界或大于等于上界,返回
False,因为这违反了二叉搜索树的性质。 -  
递归检查左右子树:
-  
对左子树递归调用时,更新上界为当前节点的值(
node.val),因为左子树的所有值必须小于当前节点的值。 -  
对右子树递归调用时,更新下界为当前节点的值,因为右子树的所有值必须大于当前节点的值。
 -  
递归检查左右子树是否都满足二叉搜索树的性质。
 
 -  
 
方法二:中序遍历
# Definition for a binary tree node.
class TreeNode(object):def __init__(self, val=0, left=None, right=None):self.val = valself.left = leftself.right = rightclass Solution(object):def isValidBST(self, root):""":type root: TreeNode:rtype: bool"""stack = []prev_val = float('-inf')curr = rootwhile curr or stack:while curr:stack.append(curr)curr = curr.leftcurr = stack.pop()if curr.val <= prev_val:return Falseprev_val = curr.valcurr = curr.rightreturn True 
 
-  
使用一个栈来模拟递归的调用过程,初始化一个指针
curr指向根节点,prev_val用于记录上一个访问的节点值(初始为负无穷)。 -  
遍历过程:
-  
沿着左子树一直向下,将节点压入栈中,直到左子树为空。
 -  
弹出栈顶节点(即当前子树的根节点),检查其值是否大于
prev_val。 -  
如果当前节点的值小于等于
prev_val,返回False,因为这违反了二叉搜索树的性质。 -  
更新
prev_val为当前节点的值,然后将指针移动到右子树。 
 -  
 
题目3:二叉搜索树中第K小的元素
1.题目要求:
题目如下:
给定一个二叉搜索树的根节点
root,和一个整数k,请你设计一个算法查找其中第k小的元素(从 1 开始计数)。示例 1:
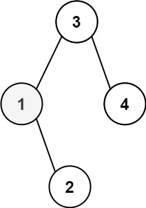
输入:root = [3,1,4,null,2], k = 1 输出:1示例 2:
输入:root = [5,3,6,2,4,null,null,1], k = 3 输出:3提示:
- 树中的节点数为
 n。1 <= k <= n <=0 <= Node.val <=进阶:如果二叉搜索树经常被修改(插入/删除操作)并且你需要频繁地查找第
k小的值,你将如何优化算法?
代码框架已经提供如下:
# Definition for a binary tree node.
# class TreeNode(object):
# def __init__(self, val=0, left=None, right=None):
# self.val = val
# self.left = left
# self.right = right
class Solution(object):
def kthSmallest(self, root, k):
"""
:type root: Optional[TreeNode]
:type k: int
:rtype: int
"""
2.结果代码:
class Solution:def kthSmallest(self, root, k):stack = []curr = rootcount = 0while curr or stack:while curr:stack.append(curr)curr = curr.leftcurr = stack.pop()count += 1if count == k:return curr.valcurr = curr.right 
说明:使用栈模拟递归过程,避免递归调用的开销。
逻辑:
-  
使用栈存储节点,模拟递归的中序遍历。
 -  
先将当前节点的所有左子节点压入栈中。
 -  
弹出栈顶节点,计数加 1,检查是否为第 k 个节点。
 -  
如果未达到第 k 个节点,继续遍历右子树。
 
进阶优化:如果二叉搜索树经常被修改(插入/删除操作),并且需要频繁查找第 k 小的值,可以采用以下优化方法:
-  
存储子树大小:在每个节点中增加一个字段,记录其左子树的节点数量。这样可以在遍历时快速跳过不必要的子树。
 -  
高效查找:通过子树大小信息,直接定位到第 k 小的节点,而无需完整遍历。
 
这种方法的时间复杂度为 O(h),其中 h 是树的高度,对于平衡二叉搜索树,复杂度为 O(log n)。
总结
针对二叉树的三种题型进行了学习,了解了部分有关二叉树与python的相关知识,大家加油!







