CA校验主辅小区配置及UE能力
1.CA载波聚合概述
-
载波聚合是LTE-A中的关键技术。为了满足单用户峰值速率和系统容量提升的要求,一种最直接的办法就是增加系统传输带宽。因此LTE-Advanced系统引入一项增加传输带宽的技术,也就是CA(Carrier Aggregation,载波聚合)。
-
载波聚合CA可以将2到5个LTE载波单元CC聚合在一起,实现最大100MHz的传输带宽,有效提高了上下行传输速率。终端根据自己的能力大小、最多可以同时使用一个或多个载波进行上下行传输。
-
每一聚合的载波称为分量载波(CC:Component Carrier);每个分量载波的带宽可以是5MHz、10MHz、15MHz或20MHz(不包括1.4MHZ和3MHZ)。
2.主辅小区配置校验
CA主辅小区共有三种类型的配置
(1)带内连续载波聚合。
(2)带内非连续载波聚合。
(3)带间载波聚合。



a.先根据主辅小区的中心频点及带宽判断主辅小区属于以上哪种类型
其中连续聚合的CC的中心频率间的间隔是300kHz的倍数,需要满足如下表格间隔要求。连续聚合是指相邻无间隔,但也无交叉带宽,否则主辅小区可能存在干扰。
(与之相对应的,R8/9中频率的步进栅格是100kHz频率间隔的整数倍,且需要以正交方式和兼容的方式考虑DFT的15kHz间隔的子载波距离,故定义为300KHZ整数倍)

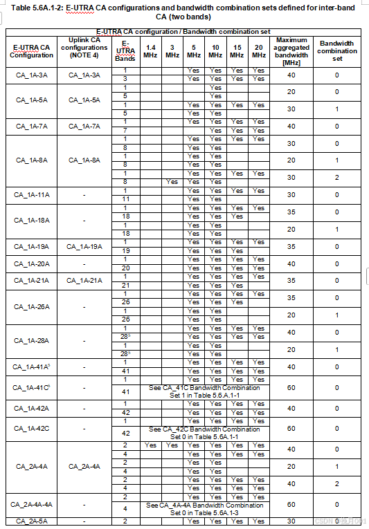
b.根据协议表格校验主辅小区配置(带宽频点),判断主辅小区CA类型(A、B、C....)
见36.101协议,部分表格如下,更多见协议





3.UE能力校验
(1)rf_Parameters_v1020字段校验
根据2-b可得当前小区配置支持的CA类型(A、B、C....),判断UE能力是否支持当前小区CA配置,若UE能力不支持则会重配添加副载波时,不上重配完成,会发起重建,重建原因为重配错误,有些终端会直接重新发起接入

(2)supportedBandwidthCombinationSet字段校验(个人认为可不校验)
36331-6.3.6

36101-5.6

字段解释
在3GPP TS 36.101规范中,supportedBandwidthCombinationSet字段用于指示UE(用户设备)在特定频段组合(band combination)下支持的带宽组合集(Bandwidth Combination Set, BCS)为频带组合指示的supportedBandwidthCombinationSet适用于UE在该频带组合中指示的所有带宽类别,范围32位。字段编码为位图,其中如果UE支持此频带组合的带宽组合集N,则位N设置为“1”,请参阅36.101[42]。最前面/最左边的比特(比特0)对应于带宽组合集0,下一个比特对应于带宽合并集1,以此类推。UE既不应包含非CA频带组合的字段,也不应包含UE仅支持带宽合并集0的CA频带组合字段。
总结:
-
该字段是一个位图(bitmap),用于表示UE在某个频段组合下支持的带宽组合集(BCS)。
-
每个比特位(bit)对应一个BCS编号(从0开始),若某比特位为
1,则表示UE支持该BCS;为0则表示不支持。 -
如果UE在某个CA频段组合下仅支持BCS 0(默认组合),则也不得包含此字段(因为BCS 0是强制支持的,无需显式指示)。
举例说明


