数据结构——二叉树,堆
目录
1.树
1.1树的概念
1.2树的结构
2.二叉树
2.1二叉树的概念
2.2特殊的二叉树
2.3二叉树的性质
2.4二叉树的存储结构
2.4.1顺序结构
2.4.2链式结构
3.堆
3.1堆的概念
3.2堆的分类
3.3堆的实现
3.3.1初始化
3.3.2堆的构建
3.3.3堆的销毁
3.3.4堆的插入
3.3.5堆的删除
3.3.6取堆顶的数据
3.3.7堆的数据个数
3.3.8堆的判空
3.4堆排序
3.5 TOP-K问题
4.二叉树链式结构的实现
4.1二叉树结构
4.2二叉树遍历
4.2.1前序遍历
4.2.2中序遍历
4.2.3后序遍历
4.2.4层序遍历
4.3基础接口实现
4.3.1二叉树结点个数
4.3.2二叉树的高度
4.3.3 二叉树叶子结点个数
4.3.4 二叉树第k层结点个数
4.3.5 二叉树查找值为x的结点
4.3.6 通过前序遍历的数组构建二叉树
4.3.7 二叉树销毁
4.3.8 判断二叉树是否是完全二叉树
1.树
1.1树的概念
1.2树的结构
typedef int DataType;
struct Node
{struct Node* firstChild1; // 第一个孩子结点struct Node* pNextBrother; // 指向其下一个兄弟结点DataType data; // 结点中的数据域
}; 2.二叉树
2.1二叉树的概念
树的度为2的树,可以为空,也可以只有一个(根)节点,只有左右子树和节点

2.2特殊的二叉树
2.3二叉树的性质
1. 若规定根结点的层数为 1 ,则一棵非空二叉树的 第 i 层上最多有 2 *(i-1)个结点(*代表次方)2. 若规定根结点的层数为 1 ,则 深度为 h的二叉树的最大结点数是 2*h-1(*代表次方)3. 对任何一棵二叉树 , 如果度为 0 其叶结点个数为 , 度为 2 的分支结点个数为 , 则有 = + 14. 若规定根结点的层数为 1 ,具有 n 个结点的满二叉树的深度 , h=log(n+1)(ps :是log 以 2为底,n+1 为对数 )5. 对于具有 n 个结点的完全二叉树,如果按照从上至下从左至右的数组顺序对所有结点从 0 开始编号,则对于序号为i 的结点有:1. 若 i>0 , i 位置结点的双亲序号: (i-1)/2 ; i=0 , i 为根结点编号,无双亲结点2. 若 2i+1<n ,左孩子序号: 2i+1 , 2i+1>=n 否则无左孩子3. 若 2i+2<n ,右孩子序号: 2i+2 , 2i+2>=n 否则无右孩子
2.4二叉树的存储结构
2.4.1顺序结构
2.4.2链式结构
typedef int BTDataType;
// 二叉链
struct BinaryTreeNode
{struct BinTreeNode* left; // 指向当前结点左孩子struct BinTreeNode* right; // 指向当前结点右孩子BTDataType data; // 当前结点值域
} 
// 三叉链
struct BinaryTreeNode
{struct BinTreeNode* parent; // 指向当前结点的双亲struct BinTreeNode* left; // 指向当前结点左孩子struct BinTreeNode* right; // 指向当前结点右孩子int data; // 当前结点值域
}; 3.堆
3.1堆的概念
就是一种二叉树,储存的方式是数组
3.2堆的分类
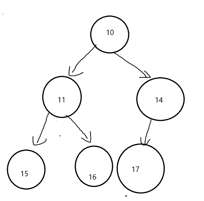
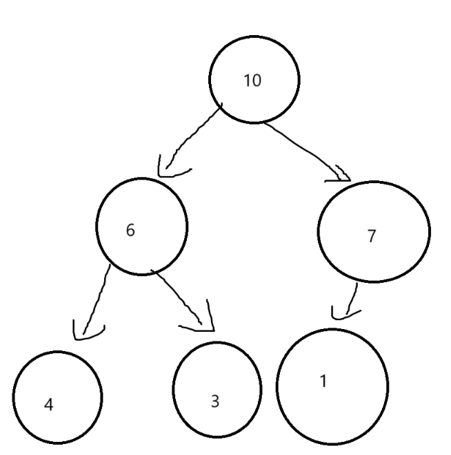
完全二叉树用数组存储堆有两种类型一种是小跟堆,一种是大根堆
小跟堆:任何一个父节点<=子节点
逻辑

存储

大根堆:任何一个父节点>=子节点
逻辑

存储

3.3堆的实现
创建文件不再叙述
3.3.1初始化
typedef int HPDataType;
typedef struct Heap
{HPDataType* _a;int _size;int _capacity;
}Heap;
3.3.2堆的构建
void HeapCreate(Heap* hp)
{assert(hp);hp->_a = NULL;hp->_capacity = hp->_size = 0;
}
3.3.3堆的销毁
void HeapDestory(Heap* hp)
{assert(hp);free(hp->_a);hp->_a = NULL;hp->_capacity = hp->_size = 0;
}
3.3.4堆的插入
当插入一个数据时,此时可能不符合小堆(大堆),因此插入一个数据化,要对数据进行调整,此时我们就要用到向上调整算法
用小堆举例
当我们数据插入到最后一位时,根据小堆性质(任何一个父节点<=子节点)与当前节点的父节点比较,如果父节点>子节点,交换数据,如此重复,直到父节点<=子节点,或者子节点在数组的位置<=0跳出;
//向上调整
void AdjustUp(HPDataType* HP, int child)
{int parent = (child - 1) / 2;//找到父节点while (child > 0){if (HP[parent] > HP[child])//建小堆,父节点<=子节点{swap(&HP[parent], &HP[child]);child = parent;parent = (child - 1) / 2;}//if (HP[parent] < HP[child])//建大堆,父节点>=子节点//{// swap(&HP[parent], &HP[child]);// child = parent;// parent = (child - 1) / 2;//}else{break;}}
}
//交换数据
void swap(HPDataType* p1, HPDataType* p2)
{HPDataType tmp = *p1;*p1 = *p2;*p2 = tmp;
}
// 堆的插入
void HeapPush(Heap* hp, HPDataType x)
{assert(hp);//扩容if (hp->_capacity == hp->_size){int tmp = hp->_capacity == 0 ? 4 : 2 * hp->_capacity;HPDataType* new = (HPDataType*)ralloc(hp->_a, 2 * sizeof(HPDataType));if (new == NULL){perror("new");return;}hp->_capacity = tmp;hp->_a = new;}hp->_a[hp->_size++] = x;向上调整AdjustUp(hp->_a, hp->_size - 1);//第一个参数的数组指针,第二个参数是x在数组的位置
}
3.3.5堆的删除
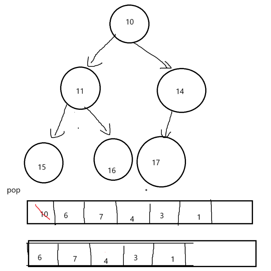
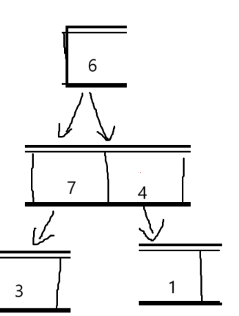
对于堆的删除,我们不是删除堆的最后一个元素,而是删除堆顶的数据,也就是根节点的数据,对于根节点数据的删除,我们不能直接把数组的一个数据覆盖(根节点的数据)


我们发现直接覆盖根节点,父子关系就会混乱,同时小堆(大堆)的特性也会消失
这里,我们就可以用到,向下调整算法
同样用小堆举例
当删除数据之前,先把堆顶元素与最后一个元素交换,之后删除最后一个元素,对堆顶数据进行向下调整,当数据交换后,根据小堆性质(任何一个父节点<=子节点),先判断左右子节点那个小,与较小的子节点比较,如果父节点>子节点,交换数据,如此重复,直到父节点数据<=子节点数据,或者子节点在数组的位置>=n(数组内有效数组个数后一位)跳出;

void AdjustDown(HPDataType* HP, int n,int parent)
{//假设左孩子小int child = parent * 2 + 1;while (child < n){if (child+1<n && HP[child] > HP[child + 1]){child++;}if (HP[child] < HP[parent]){swap(&HP[child], &HP[parent]);parent = child;child = parent * 2 + 1;}//假设左孩子大//if (child + 1 < n && HP[child] > HP[child + 1])//大堆//{// child++;//}//if (HP[child] > HP[parent])//{// swap(&HP[child], &HP[parent]);// parent = child;// child = parent * 2 + 1;//}else{break;}}
}
void HeapPop(Heap* hp)
{assert(hp);assert(hp->_size > 0);Swap(&hp->_a[0], &hp->_a[hp->_size - 1]);hp->_size--;AdjustDown(hp->_a, hp->_size, 0);
}
其实这里有点有排序的意味,当我们每次pop都是堆里最小的元素,当pop完整个数组,对于小堆,就可以获取一份从小到大的数据,但是这里并不是排序,这里我们只是打印排序,并没有把数组中的元素排序
3.3.6取堆顶的数据
HPDataType HeapTop(Heap* hp)
{assert(hp);assert(hp->_size > 0);return hp->_a[0];
}
3.3.7堆的数据个数
int HeapSize(Heap* hp)
{assert(hp);return hp->_size;
}
3.3.8堆的判空
// 堆的判空
int HeapEmpty(Heap* hp)
{return hp->_size == 0;
}
3.4堆排序
void HeapSort()
{int a[] = { 4,8,1,5,6,9,7,3,2};Heap hp;//升序建大堆//降序建小堆int n = sizeof(a) / sizeof(int);for (int i = 0; i <n; i++){AdjustUp(a, i);}int end = n-1;//最后一个元素的位置while (end > 0){Swap(&a[0], &a[end]);AdjustDown(a, end, 0);end--;}for (int i = 0; i < n; i++){printf("%d ", a[i]);}
} ![]()
对于向上调整建堆,它的时间复杂度是O(N*logN)
当我们用向下调整算法建堆时,时间复杂度为O(N)(此文章不做证明,有兴趣可以去查询)
void HeapSort()
{int a[] = { 4,8,1,5,6,9,7,3,2};Heap hp;//升序建大堆//降序建小堆int n = sizeof(a) / sizeof(int);int end = n-1;//最后一个元素的位置for (int i = (end - 1) / 2; i >= 0; i--)//(end - 1) / 2求父亲节点{AdjustDown(a, i, 0);}while (end > 0){Swap(&a[0], &a[end]);AdjustDown(a, end, 0);end--;}for (int i = 0; i < n; i++){printf("%d ", a[i]);}
} 3.5 TOP-K问题
前 k 个最大的元素,则建小堆前 k 个最小的元素,则建大堆
//创建数据
void CreateNDate()
{// 造数据int n = 100000;srand(time(0));const char* file = "data.txt";FILE* fin = fopen(file, "w");if (fin == NULL){perror("fopen error");return;}for (int i = 0; i < n; ++i){int x = (rand() + i) % 10000000;fprintf(fin, "%d\n", x);}fclose(fin);
}
void TestHeap()
{int k;printf("请输入k>:");scanf("%d", &k);int* kminheap = (int*)malloc(sizeof(int) * k);if (kminheap == NULL){perror("malloc fail");return;}const char* file = "data.txt";FILE* fout = fopen(file, "r");if (fout == NULL){perror("fopen error");return;}// 读取文件中前k个数for (int i = 0; i < k; i++){fscanf(fout, "%d", &kminheap[i]);}// 建K个数的小堆for (int i = (k - 1 - 1) / 2; i >= 0; i--){AdjustDown(kminheap, k, i);}// 读取剩下的N-K个数int x = 0;while (fscanf(fout, "%d", &x) > 0)//读取文件剩下的数据{if (x > kminheap[0]){kminheap[0] = x;AdjustDown(kminheap, k, 0);}}printf("最大前%d个数:", k);for (int i = 0; i < k; i++){printf("%d ", kminheap[i]);}printf("\n");
}int main()
{//创建数据CreateNDate();TestHeap();return 0;
} 如何确定这前k个数是最大的,在创建数据时可以模上一个数,int x = (rand() + i) % 10000000;
就像这样,代表随机出来的数不可能超过10000000,之后我们可以在文件中改变几个数据,让这几个数据大于10000000,然后运行程序,看看前k个数是否为你改的几个数。
4.二叉树链式结构的实现
4.1二叉树结构
1. 空树2. 非空:根结点,根结点的左子树、根结点的右子树组成的。
typedef int BTDataType;
typedef struct BinaryTreeNode
{BTDataType _data;struct BinaryTreeNode* _left;struct BinaryTreeNode* _right;
}BTNode;
BTNode* BuyNode(int x)
{BTNode* node = (BTNode*)malloc(sizeof(BTNode));if (node == NULL){perror("malloc fail");return NULL;}node->_data = x;node->_left = NULL;node->_right = NULL;return node;
}
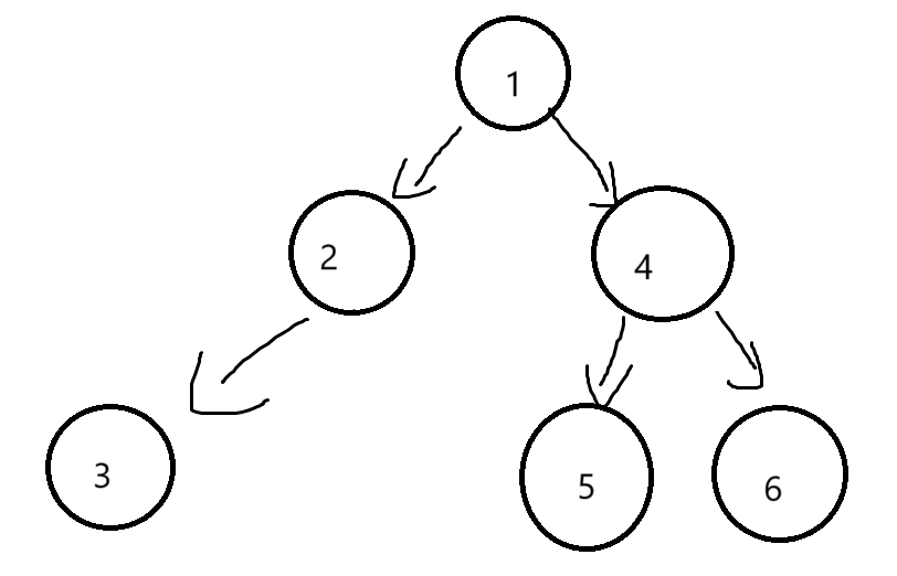
BTNode* CreatBinaryTree()
{BTNode* node1 = BuyNode(1);BTNode* node2 = BuyNode(2);BTNode* node3 = BuyNode(3);BTNode* node4 = BuyNode(4);BTNode* node5 = BuyNode(5);BTNode* node6 = BuyNode(6);node1->_left = node2;node1->_right = node4;node2->_left = node3;node4->_left = node5;node4->_right = node6;return node1;
} 
4.2二叉树遍历
1. 前序遍历 (Preorder Traversal 亦称先序遍历 )—— 访问根结点的操作发生在遍历其左右子树之前。2. 中序遍历 (Inorder Traversal)—— 访问根结点的操作发生在遍历其左右子树之中(间)。3. 后序遍历 (Postorder Traversal)—— 访问根结点的操作发生在遍历其左右子树之后。
4.2.1前序遍历
根 左子树 右子树


void PrevOrder(BTNode* root)
{if (root == NULL){printf("N ");return;}printf("%d ", root->_data);PrevOrder(root->_left);PrevOrder(root->_right);
} 4.2.2中序遍历
左子树 根 右子树

void InOrder(BTNode* root)
{if (root == NULL){printf("N ");return;}InOrder(root->_left);printf("%d ", root->_data);InOrder(root->_right);
} 4.2.3后序遍历
左子树 右子树 根
void Postorde(BTNode* root)
{if (root == NULL){printf("N ");return;}Postorde(root->_left);Postorde(root->_right);printf("%d ", root->_data);
} 4.2.4层序遍历
每层每层遍历


遍历的结果就是1,2,3,4,5,6,而这种遍历则需要用到队列来实现,当把1放进队列,把1的左右节点放进队列,把1丢出,再把2和4的左右节点放进队列,把2,4丢出,重复如此,就完成了层序遍历
void LevelOrder(BTNode* root)
{Queue q;QueueInit(&q);//初始化队列if (root){QueuePush(&q, root);}while (!QueueEmpty(&q)){BTNode* front = QueueFront(&q);QueuePop(&q);printf("%d ", front->_data);if (front->_left){QueuePush(&q,front->_left);}if (front->_right){QueuePush(&q, front->_right);}}QueueDestroy(&q);//队列销毁
} 4.3基础接口实现
4.3.1二叉树结点个数
int size = 0;
int TreeSize(BTNode* root)
{if (root == NULL)return 0;else++size;TreeSize(root->_left);TreeSize(root->_right);return size;
} 对于这个程序,每次我们调用都要使size=0,我们可以优化一下
int TreeSize(BTNode* root)
{return root == NULL ? 0 :TreeSize(root->_left) + TreeSize(root->_right) + 1;
} 这个就相当于左子树的节点+右子树的节点+1(自己本身)
4.3.2二叉树的高度
int TreeHeight(BTNode* root)
{if (root == NULL)return 0;return TreeHeight(root->left) > TreeHeight(root->right) ?TreeHeight(root->left) + 1 : TreeHeight(root->right) + 1;
} 这个程序有一些效率问题,每次判断完后,还要进入递归,导致重复计算很多,效率很低,因此可以用一个变量来存储
int TreeHeight(BTNode* root)
{if (root == NULL)return 0;int leftHeight = TreeHeight(root->_left);int rightHeight = TreeHeight(root->_right);return leftHeight > rightHeight ?leftHeight + 1 : rightHeight + 1;
} 4.3.3 二叉树叶子结点个数
int BinaryTreeLeafSize(BTNode* root)
{if (root == NULL){return 0;}if (root->_left == NULL && root->_right == NULL)//判断是否是叶子节点{return 1;}return BinaryTreeLeafSize(root->_left)+BinaryTreeLeafSize(root->_right);//递归左右子树} 4.3.4 二叉树第k层结点个数
int BinaryTreeLevelKSize(BTNode* root, int k)//根节点为第一层
{if (k == 1){return 1;}if (root == NULL){return 0;}return BinaryTreeLevelKSize(root->_left, k - 1) +BinaryTreeLevelKSize(root->_right, k - 1);//递归左右子树
} 4.3.5 二叉树查找值为x的结点
BTNode* BinaryTreeFind(BTNode* root, BTDataType x)
{if (root->_data == x){return root;}BTNode* ret = BinaryTreeFind(root->_left, x);//存储结果if (ret)//当查到就返回{return ret;}return BinaryTreeFind(root->_right, x);
} 4.3.6 通过前序遍历的数组构建二叉树
// 通过前序遍历的数组"ABD##E#H##CF##G##"构建二叉树
BTNode* BinaryTreeCreate(char* a, int n, int* pi)//char*a代表要构建的数据 n代表a内的数据个数
{if (a[*pi] == '#'){(*pi)++;return NULL;}if (n == *pi){return NULL;}BTNode* ret = (BTNode*)malloc(sizeof(BTNode));ret->_data = a[(*pi)++];ret->_left = BinaryTreeCreate(a,n,pi);ret->_right = BinaryTreeCreate(a,n,pi);return ret;
} 4.3.7 二叉树销毁
对于二叉树的销毁,要选择后序遍历,如果选择前中序遍历销毁,就无法找到所有节点
void BinaryTreeDestory(BTNode* root)
{if (root == NULL)return;TreeDestory(root->_left);TreeDestory(root->_right);free(root);
} 4.3.8 判断二叉树是否是完全二叉树
int BinaryTreeComplete(BTNode* root)
{Queue q;QueueInit(&q);if (root){QueuePush(&q, root);}while (!QueueEmpty(&q)){BTNode* front = QueueFront(&q);QueuePop(&q);if (front == NULL){break;}if (front->_left){QueuePush(&q, front->_left);}if (front->_right){QueuePush(&q, front->_right);}}while (!QueueEmpty(&q)){BTNode* front = QueueFront(&q);QueuePop(&q);// 如果有非空,就不是完全二叉树if (front){QueueDestroy(&q);return false;}}QueueDestroy(&q);return true;
} 