当前位置: 首页 > news >正文

51c大模型~合集120

我自己的原文哦~      https://blog.51cto.com/whaosoft/13860194

#SRPO

业内首次! 全面复现DeepSeek-R1-Zero数学代码能力,训练步数仅需其1/10

OpenAI 的 o1 系列和 DeepSeek-R1 的成功充分证明,大规模强化学习已成为一种极为有效的方法,能够激发大型语言模型(LLM) 的复杂推理行为并显著提升其能力。

然而,这些推理模型的核心训练方法在其技术报告中仍然鲜有披露。近期社区的主要工作也仅局限于数学推理领域,使得跨领域泛化这一挑战依然未得到充分探索。此外,GRPO 训练过程中存在多项常见问题,如性能瓶颈、样本利用效率低下,以及在处理混合领域数据集时难以培养专业推理技能等,这些挑战使得强化学习方法的有效扩展变得更加复杂。

针对这些挑战,来自快手Kwaipilot团队的研究者提出了一种创新的强化学习框架——两阶段历史重采样策略优化(two-Staged history-Resampling Policy Optimization,SRPO),旨在从多个维度系统性地解决上述训练难题。他们对外发布了SRPO的技术报告,详细披露了该训练方法的技术细节,同时也开源了SRPO-Qwen-32B 模型。

论文标题:SRPO: A Cross-Domain Implementation of Large-Scale Reinforcement Learning on LLM

论文链接:https://arxiv.org/abs/2504.14286

模型开源地址:https://huggingface.co/Kwaipilot/SRPO-Qwen-32B

这是业界首个同时在数学和代码两个领域复现 DeepSeek-R1-Zero 性能的方法。通过使用与 DeepSeek 相同的基础模型 (Qwen2.5-32B) 和纯粹的强化学习训练,SRPO 成功在 AIME24 和 LiveCodeBench 基准测试中取得了优异成绩(AIME24 = 50、LiveCodeBench = 41.6),超越了 DeepSeek-R1-Zero-32B 的表现。

更值得注意的是,SRPO 仅需 R1-Zero 十分之一的训练步数就达到了这一水平。

图片

SRPO AIME24 和 LiveCodeBench 表现,每项为 pass@1 的 32 次平均得分

方法概览

原始 GRPO 实现的挑战

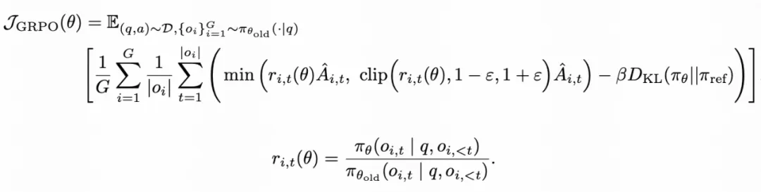
在最开始的探索中,快手 Kwaipilot 团队使用过标准的 GRPO 算法(公式 1)直接进行训练:

图片

公式 1:GRPO 优化目标

然而,在训练过程中,他们很快遇到了瓶颈,模型始终无法达到预期的 R1-Zero 性能水平。这些问题包括:

  1. 数学与代码跨领域的优化冲突:数学问题很容易通过训练诱发较长且细致的推理轨迹(长 CoT),而代码数据这种倾向则弱很多。直接混合这两种类型的数据也会产生冲突,导致模型在两个领域中都表现欠佳。  
  2. 相同的组奖励导致训练效率下降:GRPO 算法依赖于采样组内非零的奖励方差来计算优势。当一个组的 rollout 产生几乎相同的奖励值时,计算得到的优势会接近于零。当一个训练 batch 的大部分数据都表现出这种现象时,有效的梯度贡献会变得极小,大幅降低训练效率。
  3. 过早的性能饱和:GRPO 训练在 benchmark 评测中较早遇到了性能瓶颈,奖励也遇到饱和平台期。这个问题一定程度上源于数据集的质量不足。当训练数据缺乏足够的复杂性或多样性,特别是简单的问题太多,模型会倾向于保守地维持其在较容易任务中的性能,难以得到解决挑战性问题所需的复杂、深入的推理能力。

阶段训练

为了解决数学和代码之间内在的响应长度冲突问题,快手 Kwaipilot 团队最终实现了一种两阶段训练范式:

  • Stage 1 (Eliciting Reasoning Abilities):初始训练阶段仅专注于具有挑战性的数学数据。此阶段的目标是充分激励模型的 test-time scaling,发展出反思性停顿、回溯行为和逐步分解等多种能力。
  • Stage 2 (Skill Integration):在此阶段,将代码数据引入到训练过程中。利用在阶段 1 中建立的推理基础,进一步提升代码能力,同时逐步强化程序性思维、递归和工具调用能力。

训练策略的比较分析

图片

不同训练数据策略对响应长度的影响

Mixed Training:在数学和代码混合数据上训练的混合训练模型,在响应长度的增长方面表现出局限性,且基准测试性能较差。虽然数学问题会引发一些推理模式,但代码问题经常产生简短、直接的响应,主要集中于即时代码输出,而很少进行初步分析或规划。

图片

Math-Only Training:仅使用数学数据进行训练能够稳定地增加回复长度,并在数学基准测试中表现出色。重要的是,这培养了强大的、能够很好地泛化的推理能力;当面对编程任务时,模型会尝试详细的、逐步的推理。观察到的行为包括在数学问题解决过程中细致的步骤检查和重新审视。这反映了数学数据激发推理能力的特征。

图片

Code-Only Training:尽管在代码基准测试中的表现有所提高,但显式推理行为的发展甚微,并且实现响应长度的显著增加被证明是困难的。与纯数学训练相比,对代码和数学问题的响应都明显较短,代码任务的解决方案通常是直接生成的,缺乏实质性的逐步推理或初步分析。

图片

Staged Training:快手 Kwaipilot 团队提出的两阶段训练在数学和编程领域均表现出优异的结果。该模型在解决数学问题时始终如一地生成详细的逐步推理模式,并在处理编程任务时生成结构化的推理模式。特别地,涌现出一些复杂的行为,例如模型自发地利用写代码来辅助数学推理。对这些响应模式的更详细分析将在后文中介绍。

图片

History Resampling

快手 Kwaipilot 团队发现在训练的中后期阶段,batch 中近 50% 的采样组产生相同的奖励。这种情况通常发生在模型在较容易的问题上持续成功时,导致奖励的方差极小,梯度更新效果不佳。

图片

在训练期间 batch 内近 50% 的优势函数值为零(蓝色线)

为了解决这种低效性并提高梯度信号的质量,他们引入了历史重采样(History Resampling)。在训练过程中,他们记录每个 epoch 内所有 rollout 奖励的结果。在一个 epoch 结束时,他们按如下方式重建下一个 epoch 的数据集:

  • 过滤过于简单的样本:排除所有 rollout 都得到正确答案的样本,它们实际上没有为策略改进提供任何信息信号。
  • 保留信息样本:保留结果多样(既有正确又有不正确)或结果全部不正确的样本。这些样本生成正向奖励方差,确保优势非零及梯度信号有效。此外,对于当前 epoch 中所有展开都不正确的困难样本,快手 Kwaipilot 团队也将其保留在数据集中。理由是,这些最初具有挑战性的一些问题,对于更新后的策略而言可能会变得相对容易,从而在后续的训练中产生有效梯度。这种策略的根本思想与课程学习相一致,即逐步将模型暴露于平均而言更具挑战性的样本,以提高训练效率。

图片

Training statistics of History Resampling

与 DAPO 中提出的 Dynamic Sampling 方法相比,History Resampling 显著提高了计算效率,响应长度增长也更加稳定。

数据 

快手 Kwaipilot 团队对社区开源的 Code&Math 数据进行了数据清洗和筛选,通过启发式规则对原始数据进行过滤,清理题目文本中无关的 URL、格式噪声等,确保核心字段(问题和答案真值)完整。参考 PRIME 对数学数据的清洗方法,剔除一题多问、纯证明题、需要图像或表格理解的题目。针对代码数据,剔除依赖特定环境、需要文件 IO 或网络交互的题目,专注于算法逻辑。

在数据入库前,对数学和代码题目进行正确性校验,确保答案的正确性和可解性,剔除答案错误或存在歧义的题目;然后判断题目难度,结合通过率(Pass@k)将题目细分为简单、中等、困难三个等级。

实验结果

本节详细介绍使用 SRPO 方法的实验结果。快手 Kwaipilot 团队重点观测了训练过程中奖励的变化情况以及响应长度等指标。

训练过程

图片

SRPO 的动态训练

上图展示了 SRPO 的训练完整奖励曲线和响应长度曲线。在奖励增长开始趋于平稳后,整体进入了第 2 阶段的训练。在第 2 阶段开始时,由于模型之前未训练编码能力,总体奖励下降,后续训练导致奖励稳步增加。在整合编码数据后,响应长度并没有显著增加,这与他们的预期一致。同时,基准测试结果表明,该模型的数学和编码能力都有持续和稳定的提高,证明了新方法的有效性。

具体来说,History Resampling 确保了在每个训练步骤中梯度更新始终有效,从而直接提高了信息梯度的比例。这种提升的采样效率带来了稳定的奖励增长,清晰地展现了重采样策略所实现的训练效率提升。

思维行为

快手 Kwaipilot 团队识别出了三种代表性的反思模式。这些模式包括 recheck、hesitation、exploration。他们对包含这种模式的响应进行统计,并记录这几种模式的平均响应长度。在 RL 训练过程中,他们观察到模型的自我反思、纠正和回溯频率逐渐增加。这表明模型展现了「自我验证」能力。他们认为模型在RL中涌现出类似人类认知过程的「反思」,是模型在策略优化过程中的适应性行为。

图片

在训练过程中不同的 aha 模式出现的频次变化

如上图所示,在模型训练的早期阶段,模型几乎没有主动检查和反思先前推理步骤。然而,随着训练的进行,模型表现出明显的反思和回溯行为,形成如逐步推理、数值替换、逐一验证和自我优化等响应模式。

图片

自我校正的例子

图片

数值替换(绿色)和逐个验证(红色)

图片

自我优化

同时,他们还发现了有趣的现象:模型在解决数学问题时,学会了自发使用程序代码进行验证。它首先通过数学推理给出解题过程,随后主动编写程序代码验证方案的正确性。这类案例体现了模型会借助程序性思维进行自我纠错和多次尝试。这一现象也进一步表明,在训练后期,模型已经掌握了广泛思考和综合运用多种代码思维进行问题求解的能力。

图片

结论与展望

本文介绍了 SRPO,这是首个在数学与代码领域成功复现 DeepSeek-R1-Zero-Qwen-32B 的工作。快手 Kwaipilot 团队提出了一种创新的两阶段训练范式,利用训练过程中的历史重采样策略,同时设计了专为数学与代码联合强化学习(RL)训练定制的数据整理流程(pipeline)。这些方法为社区构建更强大的推理模型提供了重要参考。未来,团队将继续探索更大规模的数据与模型、更加高效的强化学习算法,以及其在更广泛推理场景中的应用潜力。

#仅用3周时间,就打造出Manus开源平替

AI 不再仅仅是一个工具,而是开始成为一个真正的队友。

可以对标 Manus 的智能体 Suna 来了!(有没有发现它是 manus 倒过来写)

这款智能体由 Kortix AI 团队打造,开源并且完全免费。

image.png

具体而言,Suna 是一个完全开源的 AI 助手,旨在帮助用户轻松完成现实世界中的各种任务。

使用起来也非常简单,通过自然语言对话的方式就可以让它帮你干活,比如辅助你完成各种研究、进行数据分析以及日常事务。

,时长02:27

Kortix CEO Marko 表示他们仅用了 3 周时间就打造出了 Suna

体验地址:https://www.suna.so/

此外,Suna 还集成了强大的工具集,包括用于网页浏览与数据提取的浏览器自动化、文档创建与编辑的文件管理功能、网页爬取与增强的搜索能力、网站部署功能,以及与多种 API 和服务集成的能力。

这些功能高度协同,使得 Suna 能够通过简单对话解决复杂问题,并实现各类工作流程的自动化!

既然免费用,也上手体验了一下,提示词为:「帮我整理一份世界各地的咖啡品牌。」

Suna 先进行了规划,并按国家或地区进行了整理。

然后,Suna 根据待办事项,使用网络搜索来收集不同地区咖啡品牌的全面信息,期间它会搜索各种网页内容。

image.png

最后,Suna 把所有这些信息整理成一份关于世界各地咖啡品牌的综合文档,并按地区对咖啡品牌进行了分类。

图片

除了亲自体验外,官方也放出了很多 demo。

首先让它分析一下美国股市。

用户只需输入一句话:「就过去两周美国股市发生的情况给我写一份详细报告。分析标准普尔 500 指数的走势,并告诉我市场对未来几周的预期,这份报告是为银行首席财务官撰写的分析报告。」

只见 Suna 边思考边输出,中间执行了大约一分钟,完整的可读报告就出来了:

,时长01:17

接着,考验 Suna 对网站内容的分析能力。

输入提示:「访问 Crunchbase、Dealroom 和 TechCrunch,根据 SaaS 金融领域的 A 轮融资情况进行筛选,并为对外销售建立一份包含公司数据、创始人和联系信息的报告。」

同样的,Suna 出色的完成了任务。

,时长01:13

我们再看一个示例:「请帮我研究一下 B2C 人工智能市场,并向我展示一些你发现的有趣数据图表,请使用浏览器浏览网页。」

,时长01:29

各种展示看下来,Suna 真的是一位出色的 AI 助手。

目前,该项目刚上线没多久,星标量快速上涨。

image.png

项目地址:https://github.com/kortix-ai/suna

根据项目介绍,Suna 由四个主要组件构成:

  1. 后端 API:基于 Python/FastAPI 的服务,负责处理 REST 端点、线程管理以及通过 LiteLLM 与 OpenAI、Anthropic 等大语言模型(LLM)的集成。
  2. 前端:使用 Next.js/React 构建的应用程序,提供响应式用户界面,包括聊天界面、仪表板等。
  3. Agent Docker:每个智能体的隔离执行环境,具备浏览器自动化、代码解释器、文件系统访问、工具集成以及安全功能。
  4. Supabase 数据库:负责数据持久化,包括用户认证、用户管理、对话历史、文件存储、智能体状态、分析以及实时订阅等功能。

image.png

最后,根据公开资料显示,Kortix 成立于 2024 年,首席执行官是 Marko O. Kraemer。这家公司专注于开发 AI Agents,旨在通过自然对话完成现实世界的复杂任务。

#Cooragent

清华LeapLab开源框架:一句话构建您的本地智能体服务群

本文由清华黄高教授团队完成,第一作者王政是清华 MEM 工程管理硕士,SeamLessAI 创始人,曾任爱奇艺虚拟机云平台负责人,小红书商业化算法工程团队负责人。

刚刚,清华大模型团队 LeapLab 发布了一款面向 Agent 协作的开源框架:Cooragent。

你只需要说一句「咒语」:「创建一个 AI 情报收集秘书,为我收集最新的 AI 进展。」

魔法就会产生,Cooragent 就会根据你的个人偏好生成你专属的 AI 情报收集秘书,每天自动浏览网页,收集最重要的情报,总结成你喜欢的图文文档发送给你。

更有趣的是你创造的智能体之间自动组合,创造出无限可能。当然,你还可以将你的智能体发布到社区中,与其他人共享。

,时长00:50

  • 项目链接:https://github.com/LeapLabTHU/cooragent

与人协同的 AGI

Cooragent 实际上成为了智能体落地的「最后一公里」。虽然智能体技术层出不穷,但是对于大众来说,智能体的使用门槛依然很高,很难落地。

拿写作智能体为例,通用的写作智能体很难满足不同人的个性化需求,而定制化的智能体开发流程又过于复杂,导致智能体很难落地到每个人的生活和工作中。

Cooragent 通过对话生成可协作的智能体,其本质一种可编辑的 AGI - 即让智能体通过 AGI 的方式产生,但同时可以随时保持其可编辑性,与人协作,让智能体真正落地到每个人的生活和工作中。

从 Agent 技术层面来看,Cooragent 是一个基于 Agent 的协作框架。通过动态上下文理解与自主归纳能力,Cooragent 彻底摒弃了传统 Agent 框架对人工设计 Prompt 的依赖。

系统利用深度记忆扩展和实时环境分析,自动生成高精度任务指令,显著降低使用门槛并提升智能体的适应性。它允许你通过一句话创建一个具备强大功能的智能体,并与其他智能体协作完成复杂任务。

无限可能

Cooragent 由两种工作模式:Agent Factory 和 Agent Workflow。

Agent Factory 模式下,你只需要你对智能体做出描述,Cooragent 就会根据你的需求生成一个智能体,系统的会自动分析用户需求,通过记忆和扩展深入理解用户,省去纷繁复杂的 Prompt 设计。Planner 会在深入理解用户需求的基础上,挑选合适的工具,自动打磨 Prompt,逐步完成智能体构建。智能体构建完成后,可以立即投入使用,但你仍然可以对智能体进行编辑,优化其行为和功能。

Agent Workflow 模式下你只需要描述你想要完成的目标任务,Cooragent 会自动分析任务的需求,挑选合适的智能体进行协作。Planner 根据各个智能体擅长的领域,对其进行组合并规划任务步骤和完成顺序,随后交由任务分发节点 publish 发布任务。各个智能领取自身任务,并协作完成任务。

Cooragent 可以在两种模式下不断演进,从而创造出无限可能。

Prompt-Free 设计

Prompt 本身越来越成为一种负担。Prompt 设计需要考虑的因素太多,用户很难在短时间设计出合适的 Prompt。Cooragent 采用 Prompt-Free设计,通过 Agent 的协作,深入理解上下文,自主归纳环境因素,自动生成 Prompt,从而省去 Prompt 设计。

MIT License 和本地部署

Cooragent 坚信开放与安全的力量,因此我们选择采用极其宽松且商业友好的 MIT License 进行开源。这种彻底的开放性旨在最大限度地降低使用门槛,并激励社区成员共同参与创新与贡献,共建繁荣的智能体生态。

更重要的是,Cooragent 提供了一键本地部署的能力。用户可以通过极其简单的步骤,在自己的个人电脑或私有服务器上快速部署和运行整个系统。这不仅极大地简化了安装配置过程,让用户能够迅速上手体验,更从根本上解决了数据安全和隐私的顾虑。

通过本地部署,用户所有数据——包括智能体配置、交互历史、处理内容等——都将完全保留在您自己的设备上,用户对自己的数据拥有绝对的控制权,无需担心数据泄露或被第三方平台滥用的风险。

快速安装

# 克隆仓库
git clone https://github.com/SeamLessAI-Inc/cooragent
cd cooragent# 用uv创建并激活虚拟环境
uv python install 3.12
uv venv --python 3.12source .venv/bin/activate  # Windows系统使用: .venv\Scripts\activate
uv run src/service/app.py   
# 安装依赖
uv sync# 配置环境
cp .env.example .env
# 编辑 .env 文件,填入你的 API 密钥# 运行项目
uv run cli.py

开发者友好【Cli + MCP】

图片

Cooragent 提供了一系列开发者工具,帮助开发者快速构建智能体。通过 CLI 工具,开发者可以快速创建,编辑,删除智能体。CLI 的设计注重效率和易用性,大幅减少了手动操作的繁琐,让开发者能更专注于智能体本身的设计与优化。

通过 MCP 工具,开发者可以快速链接 MCP 社区,获取最新的工具。开发者可以浏览和获取由官方或社区贡献的预构建智能体模板、功能组件、工具插件、数据集或优化过的模型,将自己开发的优秀智能体、工具或组件发布到 MCP,与其他开发者共享,共同建设生态。

首个Agent 与人共同参与的社区

Cooragent 不仅仅是一个强大的智能体构建和协作框架,它更开创性地提出了一个全新的社区概念:一个人与 Agent 共同参与、互动、贡献的生态系统。这超越了传统开发者社区仅限于人际交流的模式,将智能体本身也视为社区的一等成员。

这种「人机共融」的社区模式打破了传统软件生态的边界。它不仅加速了知识的创造和传播,激发了前所未有的协作模式,更让智能体真正「活」了起来,从单纯的工具转变为社区中积极的参与者和贡献者。Cooragent 致力于构建这样一个充满活力、互相赋能的未来社区,让人类和他们创造的智能体共同塑造一个更加智能、高效的世界。

一起看看 Cooragent 的神奇之处

让我们通过几个例子来一起看看 Cooragent 的神奇之处。

构建我的漫画工作室

「咒语」:构建一个漫画师和一个剧本创作师,让他们协作完成一个漫画:一个小男孩在森林里迷路,遇到了一只小狗,他们一起努力走出森林。

,时长01:17

构建我的AI情报秘书

「咒语」: 为我创建一个AI 前沿科技追踪秘书,整理 AI 前沿科技信息,形成文字和图表汇报给我。

,时长00:31

使用 Cli 工具

进入 cooragent 命令工具界面

python cli.py

一句话创建小米股票分析智能体

run -t agent_workflow -m '创建一个股票分析专家 agent,分析过去一个月的小米股票走势,并预测下个交易日的股价走势,并给出买入或卖出的建议。'

使用一组智能体协作完成复杂任务

run -t agent_workflow -m '综合运用任务规划智能体,爬虫智能体,代码运行智能体,浏览器操作智能体,报告撰写智能体,文件操作智能体为我规划一个 2025 年五一期间去云南旅游的行程。首先运行爬虫智能体爬取云南旅游的景点信息,并使用浏览器操作智能体浏览景点信息,选取最值得去的 10 个景点。然后规划一个 5 天的旅游的行程,使用报告撰写智能体生成一份旅游报告,最后使用文件操作智能体将报告保存为 pdf 文件。'

面向私有化的架构设计

Cooragent 从一开始就将数据主权和部署灵活性作为核心设计原则。我们深知,对于许多企业和个人用户而言,能够完全掌控自己的数据、在私有环境中安全运行是至关重要的。因此,Cooragent 的整体架构都围绕着「私有化优先」的理念进行构建。

  • 核心引擎本地运行: Cooragent 的核心调度、任务规划、Agent 管理和执行引擎均设计为在用户本地环境(个人电脑、私有服务器或内部网络)运行。它不强制依赖任何外部云服务来执行其基本功能,确保了操作的独立性和自主性。
  • 数据不出域:所有的用户数据,包括但不限于:
  • 智能体的配置和定义
  • 用户与智能体的交互历史和日志
  • 智能体处理和生成的内容
  • 连接的本地工具或数据源信息

全面的兼容性

Cooragent 在设计上追求极致的开放性和兼容性,确保能够无缝融入现有的 AI 开发生态,并为开发者提供最大的灵活性。这主要体现在对 Langchain 工具链的深度兼容、对 MCP (Model Context Protocol) 协议的支持以及全面的 API 调用能力上。

  • 深度兼容 Langchain 工具链:
  • 可以在 Cooragent 的智能体或工作流中直接使用熟悉的 Langchain 组件,如特定的 Prompts、Chains、Memory 模块、Document Loaders、Text Splitters 以及 Vector Stores 等。这使得开发者可以充分利用 Langchain 社区积累的丰富资源和既有代码。
  • 平滑迁移与整合: 如果您已经有基于 Langchain 开发的应用或组件,可以更轻松地将其迁移或整合到 Cooragent 框架中,利用 Cooragent 提供的协作、调度和管理能力对其进行增强。
  • 超越基础兼容: Cooragent 不仅兼容 Langchain,更在其基础上提供了如 Agent Factory、Agent Workflow、原生 A2A 通信等高级特性,旨在提供更强大、更易用的智能体构建和协作体验。您可以将 Langchain 作为强大的工具库,在 Cooragent 的框架内发挥其作用。
  • 支持 MCP (Model Context Protocol):
  • 标准化交互: MCP 定义了一套规范,用于智能体之间传递信息、状态和上下文,使得不同来源、不同开发者构建的智能体能够更容易地理解彼此并进行协作。
  • 高效上下文管理: 通过 MCP,可以更有效地管理和传递跨多个智能体或多轮交互的上下文信息,减少信息丢失,提高复杂任务的处理效率。
  • 增强互操作性: 对 MCP 的支持使得 Cooragent 能够更好地与其他遵循该协议的系统或平台进行互操作,构建更广泛、更强大的智能生态系统。
  • 全面的 API 调用支持:
  • Cooragent 的核心功能几乎都通过全面的 API (RESTful API) 暴露出来,为开发者提供了强大的编程控制能力。
  • 程序化管理: 通过 API 调用,您可以自动化智能体的创建、部署、配置更新、启动/停止等全生命周期管理。
  • 任务集成: 将 Cooragent 的任务提交和结果获取能力集成到您自己的应用程序、脚本或工作流引擎中。
  • 状态监控与日志: 通过 API 获取智能体的实时运行状态、性能指标和详细日志,方便监控和调试。
  • 构建自定义界面: 利用 API,您可以为 Cooragent 构建自定义的前端用户界面或管理后台,满足特定的业务需求和用户体验。

#FAR

迈向长上下文视频生成!NUS团队新作FAR同时实现短视频和长视频预测SOTA

本文由 NUS ShowLab 主导完成。第一作者顾宇超为新加坡国立大学 ShowLab@NUS 在读博士生,研究方向是视觉生成,在 CVPR、ICCV、NeurIPS 等国际顶级会议与期刊上发表多篇研究成果。第二作者毛维嘉为新加坡国立大学 ShowLab@NUS 二博士生,研究方向是多模态理解和生成,项目负责作者为该校校长青年教授寿政。

  • 论文标题:Long-Context Autoregressive Video Modeling with Next-Frame Prediction
  • 论文链接:https://arxiv.org/abs/2503.19325
  • 项目主页:https://farlongctx.github.io/
  • 开源代码:https://github.com/showlab/FAR

背景:长上下文视频生成的挑战

目前的视频生成技术大多是在短视频数据上训练,推理时则通过滑动窗口等策略,逐步扩展生成的视频长度。然而,这种方式无法充分利用视频的长时上下文信息,容易导致生成内容在时序上出现潜在的不一致性。

解决这一问题的关键在于:高效地对长视频进行训练。但传统的自回归视频建模面临严重的计算挑战 —— 随着视频长度的增加,token 数量呈爆炸式增长。 视觉 token 相较于语言 token 更为冗余,使得长下文视频生成比长上下文语言生成更为困难。

本文针对这一核心挑战,首次系统性地研究了如何高效建模长上下文视频生成,并提出了相应的解决方案。

我们特别区分了两个关键概念:

  • 长视频生成:目标是生成较长的视频,但不一定要求模型持续利用已生成的内容,因此缺乏长时序的一致性。这类方法通常仍在短视频上训练,通过滑动窗口等方式延长生成长度。
  • 长上下文视频生成:不仅要求视频更长,还要持续利用历史上下文信息,确保长时序一致性。这类方法需要在长视频数据上进行训练,对视频生成建模能力提出更高要求。

长上下文视频生成的重要性:

最近的工作 Genie2 [1] 将视频生成用于 world modeling /game simulation 的场景中,展现出非常令人惊艳的潜力。然而,现有基于滑窗的生成方法通常缺乏记忆机制,无法有效理解、记住并重用在 3D 环境中探索过的信息,比如 OASIS [2]。这种缺乏记忆性的建模方式,不仅影响生成效果,还可能导致对物理规律建模能力的缺失。这可能正是当前长视频生成中常出现非物理现象的原因之一:模型本身并未在大量长视频上训练,i2v(image-to-video)+ 滑动窗口的方式难以确保全局合理性。

FAR 的创新设计与分析

1)帧自回归模型(FAR)

FAR 将视频生成任务重新定义为基于已有上下文逐帧(图像)生成的过程。为解决混合自回归与扩散模型在训练与测试阶段存在的上下文不一致问题,我们在训练过程中随机引入干净的上下文信息,从而提升模型测试时对利用干净上下文的稳定性。

图片

FAR 的训练测试流程;测试时对干净上下文的生成结果。

2) 长短时上下文建模

我们观察到,随着上下文帧数量的增加,视频生成中会出现视觉 token 数量急剧增长的问题。然而,视觉 token 在时序上具有局部性:对于当前解码帧,其邻近帧需要更细粒度的时序交互,而远离的帧通常仅需作为记忆存在,无需深入的时序交互。基于这一观察,我们提出了 长短时上下文建模。该机制采用非对称的 patchify 策略:短时上下文保留原有的 patchify 策略,以保证细粒度交互;而长时上下文则进行更为激进的 patchify,减少 token 数量,从而在保证计算效率的同时,维持时序模拟的质量。

图片

FAR 的长视频训练测试流程

图片

长短时上下文的非对称 patchify 带来的 token 减少以及训练效率提升

3) 用于长上下文视频生成的多层 KV Cache 机制

针对长短时上下文的非对称 patchify 策略,我们提出了相应的多层 KV-Cache 机制。在自回归解码过程中,当某一帧刚离开短时上下文窗口时,我们将其编码为低粒度的 L2 Cache(少量 token);同时,更新仍处于短时窗口内帧的 L1 Cache(常规 token)。最终,我们结合这两级 KV Cache,用于当前帧的生成过程。

值得强调的是,多层 KV Cache 与扩散模型中常用的 Timestep Cache 是互补的:前者沿时间序列方向缓存 KV 信息,后者则在扩散时间步维度上进行缓存,共同提升生成效率。

图片

针对长短时上下文策略的多层 KV Cache

图片

长视频生成的效率提升

FAR 相对于 SORA 类 VideoDiT 的潜在优势

1)收敛效率:在相同的连续潜空间上进行实验时,我们发现 FAR 相较于 Video DiT 展现出更快的收敛速度以及更优的短视频生成性能。           

图片

FAR 与 Video DiT 的收敛对比

2)无需额外的 I2V 微调:FAR 无需针对图像到视频(I2V)任务进行额外微调,即可同时建模视频生成与图像到视频的预测任务,并在两者上均达到 SOTA 水平。

图片

条件 / 非条件视频生成的评测结果

图片

基于条件帧的视频预测的评测结果

3)高效的长视频训练与长上下文建模能力:FAR 支持高效的长视频训练以及对长上下文建模。在基于 DMLab 的受控环境中进行实验时,我们观察到模型对已观测的 3D 环境具有出色的记忆能力,在后续帧预测任务中首次实现了近乎完美的长期记忆效果。

图片

图片

总结

我们首次系统性地验证了长上下文建模在视频生成中的重要性,并提出了一个基于长短时上下文的帧自回归模型 ——FAR。FAR 不仅在短视频生成任务中,相较于 Video DiT 展现出更快的收敛速度与更优性能,同时也在长视频的 world modeling 场景中,首次实现了显著的长时序一致性。此外,FAR 有效降低了长视频生成的训练成本。在当前文本数据趋于枯竭的背景下,FAR 为高效利用现有海量长视频数据进行生成式建模,提供了一条具有潜力的全新路径。

参考文献:

【1】Genie 2: https://deepmind.google/discover/blog/genie-2-a-large-scale-foundation-world-model/

【2】Oasis: https://oasis-model.github.io/

#Dia-1.6B

一天拿下3.4k star,这个1.6B开源模型火了,合成对话超逼真

如果不提前告诉你,你可能很难相信这段视频里的语音全部是 AI 生成的:

,时长00:34

这些声音来自 Dia-1.6B——一个刚刚在 𝕏、GitHub 等平台上走红的开源语音模型。它不仅能生成说话的声音、对话,同时也能合成真实感非常强的笑声、喷嚏声和吸鼻子声等表达情绪的声音。

由于效果过于逼真,它在 GitHub 上线后不到 24 小时就收获了超过 3.4k star,现在的 star 数更是已经达到了 5.4k。同时,Dia-1.6B 也是目前 Hugging Face 上热度第二的模型,目前已经被下载了超过 5600 次。

图片

  • GitHub:https://github.com/nari-labs/dia/
  • Hugging Face: https://huggingface.co/nari-labs/Dia-1.6B
  • 试用地址:https://huggingface.co/spaces/nari-labs/Dia-1.6B

在和 ElevenLabs Studio、Sesame CSM-1B 等之前以逼真著称的模型对比之后,Dia-1.6B 依然有着明显的优势,尤其是在情绪表达方面。

图片

Dia-1.6B 生成结果:

Dia-1.6B,,7秒

 ElevenLabs Studio 生成结果:

ElevenLabs Studio,,11秒

 Sesame CSM-1B 生成结果:

Sesame CSM-1B,10秒

表现如此之好,自然也是收获好评无数:

图片

图片

也做了一些简单的尝试,下面是一个示例

图片

Dia-1.6B cat,11秒

整体来说,Dia-1.6B 在合成简单英语对话方面确实表现卓越,但却并不能很好地理解用户通过括号标注的指令,偶尔会出现类似电流的杂音。

Dia 模型细节

Dia 来自 Nari Labs,是一个 1.6B 参数量的文本转语音模型。

Dia 可以直接基于文字生成高真实感的对话。用户可以对输出的音频进行调整,从而控制其情绪和语调。同时,模型还可以生成非语言的交流声音,例如笑声、咳嗽声、吸鼻子声等。

并且 Nari Labs 开源发布了 Dia,使用了 Apache License 2.0 证书。该团队表示:「为了加速研究,我们提供了预训练模型检查点和推理代码的访问权限。模型权重托管在 Hugging Face 上。」

不过遗憾的是,目前该模型仅支持英语生成。

硬件和推理加速

目前 Nari Labs 并未发布 Dia 模型的详细技术报告,但我们可以在其 Hugging Face 页面看到些许有关硬件和推理加速的技术细节。

该团队表示,Dia 目前仅在 GPU 上进行过测试(Pytorch 2.0+,CUDA 12.6)。CPU 支持也即将添加。并且由于需要下载 Descript Audio Codec,初始运行会需要更长时间。

在企业级 GPU 上,Dia 可以实时生成音频。在较旧的 GPU 上,推理会更慢。作为参考,在 A4000 GPU 上,Dia 大约每秒生成 40 个 token(86 个 token 相当于 1 秒的音频)。torch.compile 将提高受支持 GPU 的速度。

Dia 的完整版本需要大约 10GB 的显存才能运行。不过该团队承诺未来会放出一些量化版本。

Dia 还有更大规模的版本。在 Nari Labs 的 Discord 中,开发者 Toby Kim 表示更大的模型还处于规划阶段。感兴趣的用户可以通过这个链接加入等待列表:https://tally.so/r/meokbo

图片

另外,Toby Kim 还指出目前最长能稳定生成大约 25 秒的音频,但用户也可以基于之前的生成结果来生成更长的音频。

Nari Labs 简介

Nari Labs 的 Hugging Face 页面透露,Nari 是一个源自韩语的词(나리),意为百合。

据介绍,Nari Labs 是一个非常小的团队,目前仅有一位全职研究工程师和一位兼职研究工程师。他们的 GitHub 账户也是四天前才刚注册的。

图片

其中一位开发者 Toby Kim 在 𝕏 上表示,这两位工程师目前都还是本科生。而他们的目标是「构建一个可以与 NotebookLM Podcast、ElevenLabs Studio 和 Sesame CSM 相媲美的 TTS 模型。」

图片

目前看来,他们已经取得了初步的成功。Toby Kim 表示这项成功耗时三个月时间,而这个过程中他们遇到的最大阻碍是计算不足。

图片

接下来,他们计划将 Dia 做成一个 B2C 应用,可以生成有趣的对话和混音内容。

#OpenAI图像生成模型API发布

Token计价,一张图花掉1.4元

上个月,OpenAI 在 ChatGPT 中引入了图像生成功能,广受欢迎:仅在第一周,全球就有超过 1.3 亿用户创建了超过 7 亿张图片。

就在刚刚,OpenAI 又宣布了一个好消息:他们正式在 API 中推出驱动 ChatGPT 多模态体验的原生模型 ——gpt-image-1,让开发者和企业能够轻松将高质量、专业级的图像生成功能直接集成到自己的工具和平台中。

这也意味着,从今天开始,全世界的开发人员都可以使用 ChatGPT 强大的图像生成功能了。

image.png

API 指南:https://platform.openai.com/docs/guides/image-generation?image-generation-model=gpt-image-1

gpt-image-1 具有以下特点:

  • 生成更准确,更高保真图像;
  • 多样的视觉风格;
  • 精确的图像编辑;
  • 丰富的世界知识;
  • 一致的文本呈现。

OpenAI CEO 奥特曼表示:API 版本与 ChatGPT 版本有一些不同:主要表现在用户可以使用 moderation 参数控制审核敏感度。还可以控制质量与生成速度、背景、输出格式等。

image.png

在价格方面,gpt-image-1 按 token 定价,文本和图像 token 的定价不同:

  • 文本输入 token(提示文本):每 100 万 token 5 美元
  • 图像输入 token(输入图像):每 100 万 token 10 美元
  • 图像输出 token(生成的图像):每 100 万 token 40 美元

在实际使用中,这意味着用户生成低质量、中质量和高质量的方形图像,分别需要花费约 0.02 美元、0.07 美元和 0.19 美元,再加上文本输入价格,只能说这很 OpenAI。

API 可以带来一系列好处,比如用户可以在单个请求中一次生成多张图像,但需要先设置 n 参数,默认情况下,API 返回单张图片。(感觉 token 使用量在燃烧。)

image.png

用户还可以将一张或多张图像作为参考图像来生成新图。在本例中使用 4 张输入图片来生成一张新的图片。

image.png

image.png

还可以使用蒙版进行图片编辑:

image.png

OpenAI 表示,现在已经有多家企业和初创公司将该模型用于创意项目、产品和体验。例如,多媒体巨头 Adobe 旗下的 Firefly 和 Express 应用,将集成 OpenAI 的图像生成功能。

图片

AI 视频生成平台 HeyGen 正在集成 gpt-image-1 来增强虚拟形象的创建,特别是改进平台内的虚拟形象编辑功能。

image.png

大家可以参考官方 API 指南,了解更多内容。

参考链接:https://openai.com/index/image-generation-api/

#SLAM3R

北大陈宝权团队等只用单目长视频就能实时重建高质量的三维稠密点云

北京大学陈宝权团队和香港大学等高校及业界机构联合推出实时三维重建系统 SLAM3R,首次实现从长视频(单目 RGB 序列)中实时且高质量地重建场景的稠密点云。SLAM3R 使用消费级显卡(如 4090D)即可达到 20+ FPS 的性能,重建点云的准确度和完整度达到当前最先进水平,同时兼顾了运行效率和重建质量。该研究成果被 CVPR 2025 接收为 Highlight 论文,并在第四届中国三维视觉大会(China3DV 2025)上被评选为年度最佳论文,合作者为董思言博士(共同一作)、王书哲博士、尹英达博士、杨言超助理教授和樊庆楠博士,第一作者为北京大学本科生刘宇政。

  • 论文标题:SLAM3R: Real-Time Dense Scene Reconstruction from Monocular RGB Videos
  • 论文地址:https://arxiv.org/pdf/2412.09401
  • 代码地址:https://github.com/PKU-VCL-3DV/SLAM3R

,时长00:22

SLAM3R 的交互界面(视频经过加速)。用户只需使用普通手机摄像头拍摄 RGB 视频,即可通过部署于服务器的 SLAM3R 系统实时重建出高质量的场景稠密点云,将二维视频转化为"可交互"、"可编辑"的三维世界。

在计算机视觉与机器人感知领域,基于单目摄像头的高质量三维环境感知与重建一直是个极具挑战性的课题——这主要是因为需要从有限的二维观测中恢复在相机投影过程中丢失的三维空间信息。过去的三十年间,研究者们建立了较为完善的多视角几何理论和计算框架,通常依赖多种算法的集成,包括运动恢复结构(Structure-from-Motion,简称 SfM)、同时定位和地图构建(Simultaneous Localization and Mapping,简称 SLAM)以及多视角立体视觉(Multi-View Stereo,简称 MVS)等。

由于拥有扎实的数学原理和优化算法作为"护城河",三维重建领域较少受到神经网络等深度学习方法的"入侵"。在传统方法中,神经网络主要作为算法流程的辅助模块,用于提升特征匹配的鲁棒性和深度估计的完整性。近年来,随着以 DUSt3R 为代表的大型神经网络模型出现,这一传统范式正在改变:通过端到端的前馈神经网络,可以直接从多视角 RGB 图像预测三维几何,避免了传统方法中迭代优化所带来的效率瓶颈。

SLAM3R(发音:/slæmər/)进一步革新了这一范式的演进,首次将大模型应用于长视频序列的稠密重建任务。该方案通过前馈神经网络,将局部多视角三维重建与全局增量式坐标配准无缝集成,为基于单目 RGB 视频输入的稠密点云重建提供了高效率解决方案,无需迭代优化相机参数或三维点云。实验结果表面,SLAM3R 不仅在多个数据集上展现出最先进的重建质量,还能在消费级显卡上保持 20+ FPS 的实时性能。更为重要的是,SLAM3R 的成功展示了纯数据驱动的方法在长视频序列三维几何感知任务中的潜力,为未来重建系统的研究提供了新思路。

,时长00:13

SLAM3R 渐进式重建过程展示。输入 RGB 图像序列(如左上图所示)后,SLAM3R 首先进行局部多视角三维重建(左下图),然后执行全局增量式坐标配准(右图),从而逐步构建完整场景的点云模型。

三位一体的挑战:准确、完整、高效

基于多视角几何理论的传统方法通常将三维重建分为两个阶段:首先通过 SLAM 或 SfM 算法估计相机参数和场景结构,然后使用 MVS 算法补充场景的几何细节。这类方法虽然能够获得高质量的重建结果,但是需要离线优化等处理,因此实时性能较差。

近年来,DROID-SLAM 和 NICER-SLAM 等集成了相机定位和稠密重建的 SLAM 系统相继问世。然而,这些系统或是重建质量不够理想,或是无法达到实时运行的要求。DUSt3R 开创性地提出端到端的高效点云重建,但其仅局限于图像对(双目),在视频场景下仍需全局迭代优化,因而影响了效率。同期工作 Spann3R 虽将 DUSt3R 扩展为增量重建方式并提高了效率,但也带来了明显的累积误差,降低了重建质量。

此外,重建的准确度和完整度之间存在着固有的权衡关系,导致当前重建系统难以同时实现准确、完整和高效这三个目标。因此,在单目视频稠密重建领域中,要同时达到高质量和高效率极具挑战性。

SLAM3R:大模型时代背景下的实时稠密重建系统

DUSt3R 首次证明了大型神经网络模型的 Scaling Law 在双目立体视觉中的可行性。SLAM3R 在此基础上更进一步,通过引入传统 SLAM 系统的经典设计理念,成功将大模型应用于长视频序列的稠密重建任务。这种端到端的方法不仅具有天然的高运行效率,而且经过大规模训练后能达到高质量的重建效果,从而实现了一个在准确度、完整读和效率方面都表现出色的三维重建系统。

图片

SLAM3R 系统示意图。给定单目 RGB 视频,SLAM3R 使用滑动窗口机制将其转换为互有重叠的片段(称为窗口)。每个窗口输入至 Image-to-Points(I2P)网络,用于恢复局部坐标系中的稠密点云。随后,这些局部点逐步输入至 Local-to-World(L2W)网络,以创建全局一致的场景模型。I2P 网络选择一个关键帧作为参考建立局部坐标系,并利用窗口中的其余帧估计该窗口的稠密点云。第一个窗口用于建立世界坐标系,之后 L2W 网络逐步融合后续窗口。在增量融合过程中,系统检索最相关的已注册关键帧作为参考,并整合新的关键帧。通过这个迭代过程,最终完成整个场景的重建。

SLAM3R 主要由两个部分组成:Image-to-Points(I2P)网络和 Local-to-World(L2W)网络。I2P 网络负责从视频片段中恢复局部坐标系下的稠密点云,而 L2W 网络则将局部重建结果逐步注册到全局场景坐标系中。在整个点云重建过程中,系统直接使用网络在统一坐标系中预测 3D 点云,无需显式计算相机参数和三角化场景点云,从而避免了传统重建方法中迭代优化等耗时的操作。

窗口内的多视角三维重建(I2P 网络)。在每个窗口内,选择一帧作为关键帧来建立参考系,其余帧(称为支持帧)用于辅助该关键帧的重建。我们基于 DUSt3R 解码器设计了关键帧解码器,通过引入简单的最大值池化操作来聚合多个支持帧的交叉注意力特征,从而有效整合多视角信息。这一改进在保持模型结构简洁的同时具有多重优势:1)继承 DUSt3R 预训练权重,从而保证预测质量;2)未引入过多计算开销,保持实时性能;3)支持任意数量的图像输入,具有良好的扩展性。

窗口间的增量式点云注册(L2W 网络)。窗口间的注册与窗口内的重建相似,不同之处在于前者使用多帧重建结果作为参考系,用以辅助注册新的关键帧。因此,L2W 采用了 I2P 的整体架构。在此基础上,引入简单的坐标编码器来处理点云输入,并通过逐层特征叠加的方式注入解码器。这种机制让模型在解码过程中持续接收几何和坐标系的双重引导,既确保了信息传递的充分性,又避免了复杂特征交互设计带来的计算负担。这一设计巧妙地继承了 DUSt3R 的坐标转换能力,并将其转化为可控的注册过程。

场景帧检索模块。我们提出了一种前馈检索机制,用于确定 L2W 网络在注册新关键帧时所使用的参考帧。当 SLAM3R 系统需要调用 L2W 融合新窗口(关键帧)时,系统会先通过场景帧检索模块从已注册窗口中检索 K 个最优参考帧,再将这些参考帧与新帧一同输入 L2W 模型进行坐标系转换。这种设计既保持了全局一致性,又有效缓解了传统 SLAM 系统中的累积误差问题。检索模块通过在 I2P 网络中附加额外的轻量级 MLP 实现,完成前馈式快速检索。

大规模训练。SLAM3R 系统的各个模块均采用前馈式神经网络实现,最大程度地复用了 DUSt3R 大规模预训练的权重,并在大规模视频数据集上进行训练。具体来说,我们收集了约 85 万个来自 ScanNet++、Aria Synthetic Environments 和 CO3D-v2 数据集的视频片段,使用 8 张 4090D 显卡进行训练。训练完成后,该系统可在单张 4090D 显卡上实现实时推理。

单目视频稠密重建迈入高质高效新时代

我们在室内场景数据集 7-Scenes 和 Replica 上评估了 SLAM3R。在重建速度较快(FPS 大于 1)的方法中,SLAM3R 实现了最佳的准确度和完整度。

图片

图片

7-Scenes(上方表格)和 Replica(下方表格)数据集的重建结果评估。我们以厘米为单位报告重建的准确度和完整性。FPS 栏目的颜色渐变从红色变为黄色,再变为绿色,表示实时性能提升。

值得特别指出的是,即使没有进行任何后续全局优化,SLAM3R 的重建质量也达到了与需要复杂优化的离线方法相当的水平。这表明 SLAM3R 在准确度、完整度和运行效率三方面达到了理想的平衡。

,时长00:14

SLAM3R 基于公开数据集与日常视频的场景重建结果展示。

未来展望

SLAM3R 在保持 20+ FPS 实时性能的同时,其重建质量可达到离线方法相近的水平,旨在推动三维重建向高质量、高效率方向发展。通过将传统多阶段的三维重建流程简化为轻便的前馈网络,SLAM3R 降低了使用门槛,使三维重建有望从专业领域拓展至大众化应用。随着模型轻量化技术的突破,该方案未来有望进一步应用于移动终端,为三维资产快速获取、通用人工智能和具身智能的落地提供基础三维数据支持。

目前,SLAM3R 仍存在诸多局限性。由于跳过了相机参数预测和优化等环节,SLAM3R 无法执行显式的全局优化(Bundle Adjustment)。因此,在大规模场景中,系统仍会受到累积误差的影响。此外,基于场景重建推导出的相机参数的精度仍不如专门针对相机定位的 SLAM 系统。解决这些局限性是我们未来工作的重点。

#xxx

#xxx
#xxx
#xxx
#xxx
#xxx
#xxx
#xxx
#xxx
http://www.dtcms.com/a/151479.html

相关文章:

  • 汽车可变转向比系统的全面认识
  • Linux下载与安装
  • Python内置函数---breakpoint()
  • 基于deepseek的模型微调
  • 校园外卖服务系统的设计与实现(代码+数据库+LW)
  • 智能客服开发实战:用ONE-API构建多模态对话系统
  • 第1节:Backtrader到底是个啥?能干嘛?
  • c语言指针3
  • 免费且开源的企业级监控解决方案:Zabbix
  • JEnv-for-Windows​管理JDK版本
  • 如何提升个人解决问题的能力?
  • 【论文精读】Reformer:高效Transformer如何突破长序列处理瓶颈?
  • 本地服务器 Odoo 安装指南,并实现公网访问
  • STM32提高篇: 蓝牙通讯
  • 服务器上部署Nginx的几种方式
  • 位运算知识
  • 第九篇:系统分析师第三遍——5、6章
  • 相机中各个坐标系的转换关系如像素坐标系到世界坐标系以及相机标定的目的
  • Java Arrays工具类解析(Java 8-17)
  • Python flask入门
  • Scanpy可视化技巧--UMAP图优化
  • 大模型Rag - 检索增强技术
  • Certimate本地化自动化 SSL/TLS 证书管理解决方案
  • Windows Server 2022 常见问题解答
  • 【Element Plus】解决移动设备使用 el-menu 和 el-sub-menu 时,子菜单需要点击两次才会隐藏的问题
  • 【期末复习-考试】软件质量测试与保考试题库(选择题+填空题)
  • KBEngine 源代码分析(一):pyscript 目录文件介绍
  • SQL技术终极指南:从内核原理到超大规模应用
  • 【学习准备】算法和开发知识大纲
  • Tailwind CSS 实战:基于 Kooboo 构建个人博客页面