信号与槽的认识
目录
- 1. 信号和槽概述
- 2. 信号和槽的使用
- 2.1 连接信号和槽
- 2.2 查看内置信号和槽
- 2.3 通过 Qt Creator 生成信号槽代码
 
- 3. 自定义信号和槽
- 3.1 基本语法
- 3.2 带参数的信号和槽
 
- 4. 信号与槽的连接方式
- 4.1 一对一
- 4.2 一对多
- 4.3 多对一
 
- 5. 信号和槽的其他说明
- 5.1 信号与槽的断开
- 5.2 Qt4 版本信号与槽的连接
- 5.3 使用 Lambda 表达式定义槽函数
- 5.4 信号与槽的优缺点
 
1. 信号和槽概述
(1)信号和槽机制解析:
-  在 Qt 中,用户和控件的每次交互过程称为一个事件。例如: - “用户点击按钮” 是一个事件;
- “用户关闭窗口” 也是一个事件。
 
-  每个事件会发出一个信号: - 点击按钮会发出 “按钮被点击” 的信号;
- 关闭窗口会发出 “窗口被关闭” 的信号。
 
(2)控件对信号的处理:
- Qt 中的所有控件都具备接收信号的能力,一个控件可接收多个不同信号。对于接收到的每个信号,控件会做出相应的响应动作(也就是槽)。例如: - 按钮所在的窗口接收到 “按钮被点击” 的信号后,可能执行 “关闭自己” 的槽函数。
- 输入框接收到 “输入框被点击” 的信号后,可能执行 “显示闪烁光标,等待用户输入” 的槽函数。
 
(3)信号与槽的核心作用:
- 信号和槽是 Qt 特有的消息传输机制,用于关联相互独立的控件。例如: - “按钮” 和 “窗口” 本是独立控件,点击按钮默认不影响窗口。
- 通过信号与槽机制,可将按钮的 “被点击” 信号与窗口的 “关闭” 槽绑定,实现 “点击按钮关闭窗口” 的效果。
 

 (4)信号的本质:
- 信号是由于用户对窗口或控件进行了某些操作(触发特定事件),对应的 Qt 窗口类会发出的通知。信号的本质是事件。例如: - 按钮单击、双击。
- 窗口刷新。
- 鼠标移动、按下、释放。
- 键盘输入。
 
- 信号的呈现形式: - 操作某个窗口或控件时,该对象会捕获触发的事件。
- 事件触发后,Qt 框架会向开发者发出对应的特定信号。
- 信号以函数形式呈现:事件发生时,Qt 框架调用对应的信号函数通知开发者。
- 信号的发出者:实例化的类对象(如按钮、窗口等)。
 
(5)槽的本质:
- 槽(Slot)是对信号响应的函数,本质为普通 C++ 函数,但具有以下特性: - 可定义在类的任何位置(public、protected 或 private)。
- 可接受任意参数、支持重载,但不能有默认参数。
- 可直接调用,但通常与信号关联,信号触发时自动执行。
 
- 槽函数与⼀般的函数不同的是:槽函数可以与⼀个信号关联,当信号被发射时,关联的槽函数被自动执行。示例如下: - 信号:按钮被点击 → 信号函数 clicked()。
- 槽:窗口关闭 → 槽函数 close()。
- 关联效果:clicked() 触发时调用 close(),实现“点击按钮关闭窗口”。
 
(6)关键总结:
- 信号和槽机制底层是通过函数间的相互调用实现的。每个信号都可以用函数来表示,称为信号函数;每个槽也可以用函数表示,称为槽函数。例如: “按钮被按下” 这个信号可以用 clicked() 函数表示,“窗口关闭” 这个槽可以用 close() 函数表示,假如使用信号和槽机制实现:“点击按钮会关闭窗口” 的功能,其实就是 clicked() 函数调用 close() 函数的效果。
- 信号函数和槽函数通常位于某个类中,和普通的成员函数相比,它们的特别之处在于: - 信号函数用 signals 关键字修饰,槽函数用 public slots、protected slots 或者 private slots 修饰。signals 和 slots 是 Qt 在 C++ 的基础上扩展的关键字,专门用来指明信号函数和槽函数;
- 信号函数只需要声明,不需要定义(实现),而槽函数需要定义(实现)。
 
2. 信号和槽的使用
2.1 连接信号和槽
(1)在 Qt 中,QObject 类提供了⼀个静态成员函数 connect() ,该函数专门用来关联指定的信号函数和槽函数。
- 关于 QObject:QObject 是 Qt 内置的父类。Qt 中提供的很多类都是直接或者间接继承自 QObject。这一点的设定和 Java 是非常相似的
(2)connect() 函数原型:
connect (const QObject *sender,const char * signal ,const QObject * receiver ,const char * method ,Qt::ConnectionType type = Qt::AutoConnection)
- 参数说明: - sender:信号的发送者;
- signal:发送的信号(信号函数);
- receiver:信号的接收者;
- method:接收信号的槽函数;
- type: 用于指定关联方式,默认的关联方式为 Qt::AutoConnection,通常不需要手动设定。
 
- 代码示例:在窗口中设置⼀个按钮,当点击 “按钮” 时关闭 “窗口”。

2.2 查看内置信号和槽
(1)系统自带的信号和槽通常是通过 “Qt 帮助文档” 来查询。 如上述示例,要查询 “按钮” 的信号,在帮助文档中输入:QPushButton。
- 首先可以在 “Contents” 中寻找关键字 signals。
- 如果没有找到,继续去父类中查找。因此我们去他的父类 QAbstractButton 中继续查找关键字 signals。

- 这里的 clicked() 就是要找的信号。槽函数的寻找方式和信号⼀样,只不过它的关键字是 slot 。
2.3 通过 Qt Creator 生成信号槽代码
(1)Qt Creator 可以快速帮助我们生成信号槽相关的代码。代码示例:在窗口中设置⼀个按钮,当点击 “按钮” 时关闭 “窗口”。
- 新建项目,如下图为新建完成之后所包含的所有文件; 注意:创建时要生成 UI 设计文件;

- 双击 widget.ui 文件,进入 UI 设计界面;

- 在 UI 设计窗口中拖入⼀个 “按钮” ,并且修改 “按钮” 的名称及字体大小等;

- 可视化生成槽函数;

- 当单击 “转到槽…” 之后,出现如下界面:对于按钮来说,当点击时发送的信号是:clicked(),所以此处选择:clicked()

 对于普通按钮来说,使用 clicked 信号即可。clicked(bool) 没有意义的。具有特殊状态的按钮(比如复选按钮)才会用到 clicked(bool)
- 自动生成槽函数原型框架; - 在 “widget.h” 头文件中自动添加槽函数的声明;
- 在 “widget.cpp” 中自动生成槽函数定义;
 
- 首先自动添加槽函数的声明:

- 说明:自动生成槽函数的名称有⼀定的规则。槽函数的命名规则为:on_XXX_SSS,其中: - 以 " on " 开头,中间使用下划线连接起来;
- " XXX " 表示的是对象名(控件的 objectName 属性)。
- " SSS " 表示的是对应的信号。
 
- 如:" on_pushButton_clicked() " ,pushButton 代表的是对象名,clicked 是对应的信号。
- 按照这种命名风格定义的槽函数,就会被 Qt 自动的和对应的信号进行连接。
- 但是咱们日常写代码的时候,除非是 IDE 自动生成,否则最好还是不要依赖命名规则,而是显式使用 connect 更好。
- 一方面显式 connect 可以更清晰直观的描述信号和槽的连接关系。另一方面也防止信号或者槽的名字拼写错误导致连接失效。(当然,是配置大于约定,还是约定大于配置,哪种更好,这样的话题业界尚存在争议。此处个人还是更建议优先考虑显式 connect) 。
- 最后就是自动生成槽函数定义:

- 在槽函数函数定义中添加要实现的功能。实现关闭窗口的效果:

3. 自定义信号和槽
3.1 基本语法
(1)在 Qt 中,允许自定义信号的发送方以及接收方,即可以自定义信号函数和槽函数。但是对于自定义的信号函数和槽函数有⼀定的书写规范。
- 自定义信号函数书写规范: - 自定义信号函数必须写到 “signals” 下;
- 返回值为 void,只需要声明,不需要实现;
- 可以有参数,也可以发生重载;
 
- 自定义槽函数书写规范: - 早期的 Qt 版本要求槽函数必须写到 “public slots” 下,但是现在高级版本的 Qt 允许写到类的 “public” 作用域中或者全局下;
- 返回值为 void,需要声明,也需要实现;
- 可以有参数,可以发生重载;
 
- 发送信号: - 使用 “emit” 关键字发送信号 。“emit” 是⼀个空的宏。“emit” 其实是可选的,没有什么含义,只是为了提醒开发人员。
 
(2)示例1:
- 在 widget.h 中声明自定义的信号和槽,如图所示;

- 在 widget.cpp 中实现槽函数,并且关联信号和槽 - 注意:图中的 ① 和 ② 的顺序不能颠倒。
- 原因是:首先关联信号和槽,⼀旦检测到信号发射之后就会立马执行关联的槽函数。反之,若先发射信号,此时还没有关联槽函数,当信号发射之后槽函数不会响应。
 

(3)示例2:当⽼师说 “上课了”,学生们就 “回到座位,开始学习”。
- 在源文件中新建两个类,⼀个是老师类,⼀个是学生类;首先选中项目名称,鼠标右键 -----> “add new…”

- 点击 “add new…” 之后,出现如下界面:

- 选择 “choose” 出现如下界面: - 注意:在 Qt 中新建类时,要选择新建类的父类。
- 显然,当前项目中还没啥类适合做新类的父类,同时新的类也不是⼀个 “窗口” 或者 “控件”。这种情况⼀般选择 QObject 作为基类。
- 这样做的好处是这个新类的对象可以搭配 Qt 的对象树机制。便于对象的正确释放。
 

- 选择 “下⼀步”,出现如下界面:

- 对于 “学生类” 以上述同样的方式进行添加,添加完成之后,项目目录新增文件如下:

- 在 teacher.h 中声明信号函数:

- 在 student.h 中声明槽函数:

- 在 widget.h 中实例化 “老师类对象” 和 “学生类对象”;

- 在 student.cpp 中实现槽函数:

- 在 widget.cpp 中连接自定义信号和槽;

- 运行结果如下图示:

(4)示例3:老师点击 “按钮” 触发学生上课;

- 运行结果如下图示:

3.2 带参数的信号和槽
(1)Qt 的信号和槽也支持带有参数,同时也可以支持重载,此处我们要求,信号函数的参数列表要和对应连接的槽函数参数列表一致。此时信号触发,调用到槽函数的时候,信号函数中的实参就能够被传递到槽函数的形参当中。
- 通过这样的机制,就可以让信号给槽传递数据了。
(2)示例1:重载信号槽。
- 在 “widget.h” 头文件中声明重载的信号函数以及重载的槽函数;如下图所示:

- 在 “Widget.cpp” 文件实现重载槽函数以及连接信号和槽。注意:在定义函数指针时要指明函数指针的作用域。

- 执行结果如下图所示:

(3)示例2:信号槽参数列表匹配规则。
- 在 “widget.h” 头文件中声明信号和槽函数;

- 在 “widget.cpp” 文件中实现槽函数以及连接信号和槽;

- 其实信号的参数个数可以多于槽函数的参数个数,但是槽的参数个数不能多于信号参数个数。但是实际开发中最好还是保持参数个数也能匹配一致。
(4)示例3:
- 在 “widget.h” 头文件中声明信号和槽函数;

- 在 “widget.cpp” 文件中实现槽函数以及连接信号和槽;

4. 信号与槽的连接方式
4.1 一对一
(1)主要有两种形式,分别是:一个信号连接一个槽 和 一个信号连接一个信号。
(2)一个信号连接一个槽:
 
(3)示例:
- 在 “widget.h” 中声明信号和槽以及信号发射函数;

- 在 “widget.cpp” 中实现槽函数,信号发射函数以及连接信号和槽;

(4)一个信号连接另一个信号:
 
 (5)示例:
- 在上述示例的基础上,在 “widget.cpp” 文件中添加如下代码:

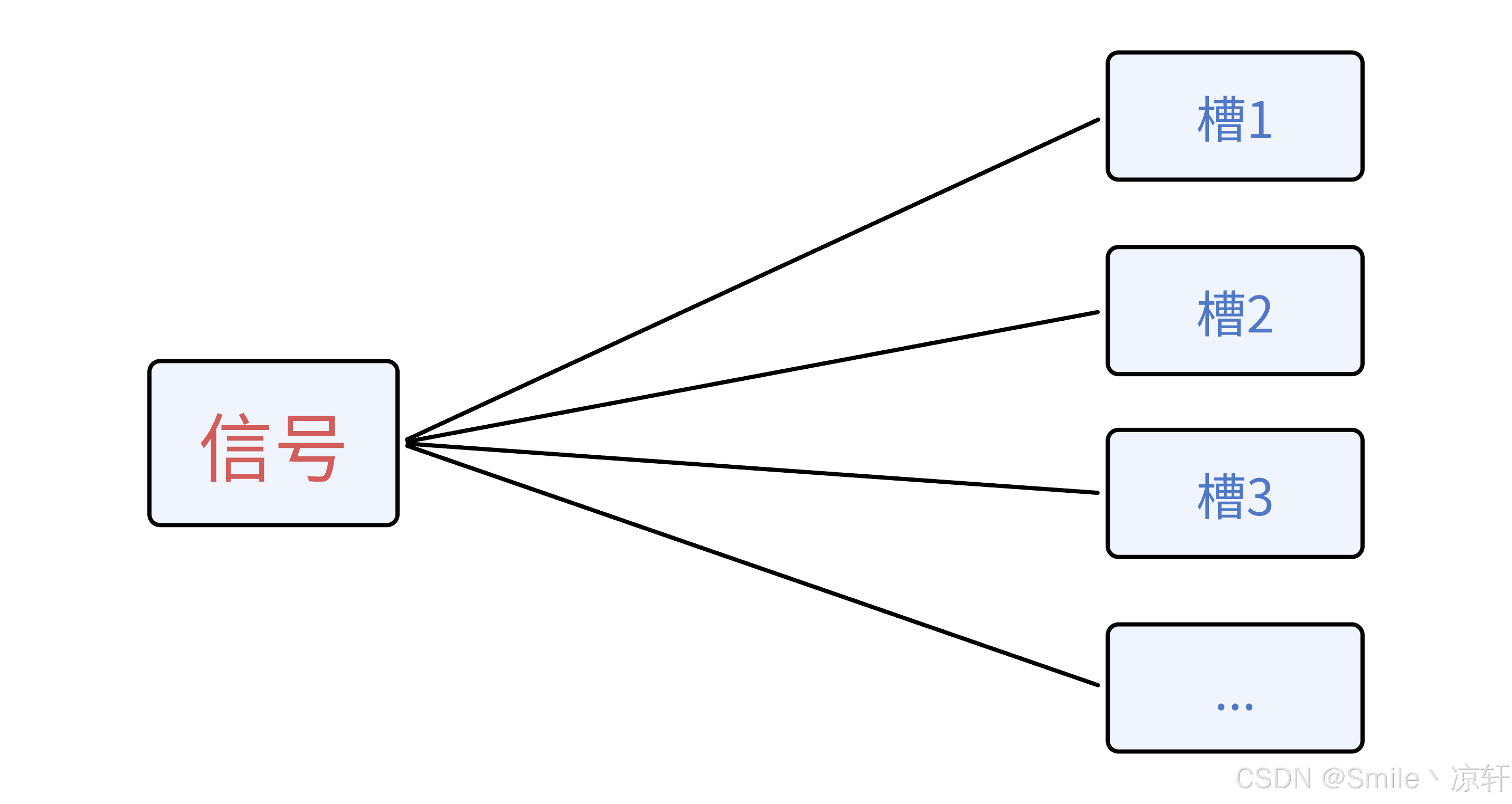
4.2 一对多
(1)一个信号连接多个槽:
 
 (2)示例:
- 在 “widget.h” 头文件中声明⼀个信号和三个槽;

- 在 “widget.cpp” 文件中实现槽函数以及连接信号和槽;

4.3 多对一
(1)多个信号连接一个槽函数:
 
 (2)示例:
- 在 “widget.h” 头文件中声明两个信号以及一个槽;

- 在 “widget.cpp” 文件中实现槽函数以及连接信号和槽;

5. 信号和槽的其他说明
5.1 信号与槽的断开
(1)使用 disconnect 即可完成断开。disconnect 的用法和 connect 基本一致。示例如下:

5.2 Qt4 版本信号与槽的连接
(1)Qt4 中的 connect 用法和 Qt5 相比是更复杂的。需要搭配 SIGNAL 和 SLOT 宏来完成。而且缺少必要的函数类型的检查。使代码更容易出错。示例如下:
- 在 “widget.h” 头文件中声明信号和槽;

- 在 “widget.cpp” 文件中实现槽函数以及连接信号与槽;

 (2)Qt4 版本信号与槽连接的优缺点:
- 优点:参数直观;
- 缺点:参数类型不做检测;
(3)示例:

5.3 使用 Lambda 表达式定义槽函数
(1)Qt5 在 Qt4 的基础上提高了信号与槽的灵活性,允许使用任意函数作为槽函数。 但如果想方便的编写槽函数,比如在编写函数时连函数名都不想定义,则可以通过 Lambda表达式 来达到这个目的。
- Lambda表达式 是 C++11 增加的特性。C++11 中的 Lambda表达式 用于定义并创建匿名的函数对象,以简化编程工作。
- Lambda表达式 的语法格式如下:
[ capture ] ( params ) opt -> ret {Function body;
};
- 说明:
| 参数名 | 功能 | 
|---|---|
| capture | 捕获列表 | 
| params | 参数表 | 
| opt | 函数选项 | 
| ret | 返回值类型 | 
| Function body | 函数体 | 
(2)局部变量引入方式: [ ]
- [ ]:标识⼀个 Lambda表达式 的开始。不可省略。
| 符号 | 说明 | 
|---|---|
| [ ] | 局部变量捕获列表。Lambda表达式不能访问外部函数体的任何局部变量 | 
| [a] | 在函数体内部使用值传递的方式访问a变量 | 
| [&b] | 在函数体内部使用引用传递的方式访问b变量 | 
| [=] | 函数外的所有局部变量都通过值传递的方式使用, 函数体内使⽤的是副本 | 
| [&] | 以引用的方式使用Lambda表达式外部的所有变量 | 
| [=, &foo] | foo使用引用方式, 其余是值传递的方式 | 
| [&, foo] | foo使用值传递方式,其余引用传递 | 
| [this] | 在函数内部可以使用类的成员函数和成员变量,= 和 & 形式也都会默认引入 | 
- 说明: - 由于使用引用方式捕获对象会有局部变量释放了而Lambda函数还没有被调用的情况。如果执行Lambda函数,那么引用传递方式捕获进来的局部变量的值不可预知。所以绝大多数场合使用的形式为: [=] () { }
- 早期版本的 Qt,若要使用Lambda表达式,要在 “.pro” 文件中添加:CONFIG += C++11 因为 Lambda表达式 是 C++11 标准提出的。Qt5 以上的版本无需手动添加,在新建项目时会自动添加。
 

- 示例1:Lambda表达式的使用。

- 示例2:以 [=] 方式传递,外部的所有变量在Lambda表达式中都可以使用。

- 示例3:以 [a] 方式传递,在Lambda表达式中只能使用传递进来的 a

(3)函数参数 ( )
- (params) 表示 Lambda函数对象接收的参数,类似于函数定义中的小括号表示函数接收的参数类型和个数。参数可以通过按值(如:(int a,int b))和按引用(如:(int &a,int &b))两种方式进行传递。函数参数部分可以省略,省略后相当于无参的函数。
- 示例如下:
  
(4)选项Opt:
- Opt 部分是可选项,最常用的是 mutable声明 ,这部分可以省略。
- Lambda表达式外部的局部变量通过值传递进来时,其默认是 const,所以不能修改这个局部变量的拷贝,加上mutable 就可以修改。

(5)Lambda表达式的返回值类型 ->
- 可以指定 Lambda表达式 返回值类型;如果不指定返回值类型,则编译器会根据代码实现为函数推导⼀个返回类型;如果没有返回值,则可忽略此部分。
- 示例1:

- 示例2:

(6)Lambda表达式的函数体 { }
- Lambda表达式的函数体部分与普通函数体⼀致。用 { } 标识函数的实现,不能省略,但函数体可以为空。
- 示例如下:

(7)槽函数使用Lambda表达式来实现:
- 示例1:点击按钮关闭窗口;

- 示例2:当 “connect” 函数第三个参数为 “this” 时,第四个参数使用 Lambda表达式时,可以省略掉 “this”;

5.4 信号与槽的优缺点
(1)优点:松散耦合。
- 信号发送者不需要知道发出的信号被哪个对象的槽函数接收,槽函数也不需要知道哪些信号关联了自己,Qt的信号槽机制保证了信号与槽函数的调用。支持信号槽机制的类或者父类必须继承于 QObject 类。
(2)缺点:效率较低。
- 与回调函数相比,信号和槽稍微慢⼀些,因为它们提供了更高的灵活性,尽管在实际应用程序中差别不大。通过信号调用的槽函数比直接调用的速度慢约10倍(这是定位信号的接收对象所需的开销;
- 遍历所有关联;编组/解组传递的参数;多线程时,信号可能需要排队),这种调用速度对性能要求不是非常高的场景是可以忽略的,是可以满足绝大部分场景。
(3)一个客户端程序中,最慢的环节往往是 “人”。
- 假设本身基于回调的方式是 10us,使用信号槽的方式是 100us。对于使用程序的人来说,是感知不到的。
