leetcode0102. 二叉树的层序遍历-medium
1 题目:二叉树的层序遍历
官方标定难度:中
给你二叉树的根节点 root ,返回其节点值的 层序遍历 。 (即逐层地,从左到右访问所有节点)。
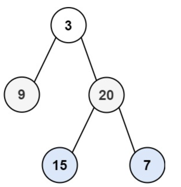
示例 1:

输入:root = [3,9,20,null,null,15,7]
输出:[[3],[9,20],[15,7]]
示例 2:
输入:root = [1]
输出:[[1]]
示例 3:
输入:root = []
输出:[]
提示:
树中节点数目在范围 [0, 2000] 内
-1000 <= Node.val <= 1000
2 solution
层序遍历,可以采用广度优先搜索,逐层往下即可。
代码
/*** Definition for a binary tree node.* struct TreeNode {* int val;* TreeNode *left;* TreeNode *right;* TreeNode() : val(0), left(nullptr), right(nullptr) {}* TreeNode(int x) : val(x), left(nullptr), right(nullptr) {}* TreeNode(int x, TreeNode *left, TreeNode *right) : val(x), left(left), right(right) {}* };*/
class Solution {
public:
vector<vector<int>> levelOrder(TreeNode *root) {if (!root) return {};vector<vector<int>> result;vector<TreeNode *> q;q.push_back(root);result.push_back({root->val});int last_pos = 0; // 一层的结束位置vector<int> layer;for (int i = 0; i < q.size(); i++) {if (q[i]->left) {q.push_back(q[i]->left);layer.push_back(q[i]->left->val);}if (q[i]->right) {q.push_back(q[i]->right);layer.push_back(q[i]->right->val);}if (i == last_pos) {result.push_back(layer);layer.clear();last_pos = q.size() - 1;}}result.pop_back();return result;
}};
结果

