嵌入式---超声波测距模块
一、核心原理:时差法测距(Time-of-Flight, ToF)
-
超声波基本特性
- 定义:频率高于20kHz的机械波,具有方向性好、能量集中、在空气中衰减较慢的特点。
- 传播速度:空气中声速 ( v v v) 与温度 ( T T T) 相关,公式为:

-
测距原理
- 发射端发出超声波脉冲,接收端检测反射回波。

- 发射端发出超声波脉冲,接收端检测反射回波。
二、核心组件:超声波传感器
以常用的 HC-SR04传感器 为例(其他型号如US-100、SRF08原理类似):
-
硬件结构
- 发射探头(Transmitter):电信号转换为超声波(压电陶瓷逆压电效应)。
- 接收探头(Receiver):超声波转换为电信号(压电陶瓷正压电效应)。
- 控制电路:处理触发信号和回波信号,通常集成信号放大、滤波模块。
-
引脚功能(HC-SR04)
- ( VCC ):5V电源
- ( GND ):接地
- ( TRIG ):触发信号输入(至少10μs高电平启动测距)
- ( ECHO ):回波信号输出(高电平持续时间为( Δ t Δ t Δt))
三、工作流程
-
触发阶段(Trig信号)
- 主机向TRIG引脚发送 10μs以上的高电平脉冲,传感器内部触发发射电路,发出8个40kHz的超声波脉冲。
-
等待回波(Echo信号)
- 发射同时,传感器内部计数器开始计时,直到接收探头检测到回波或超时(通常设定为20ms,对应约3.4米距离)。
- Echo引脚输出高电平,持续时间即为声波往返时间 ( Δ t Δt Δt)(单位:μs)。
-
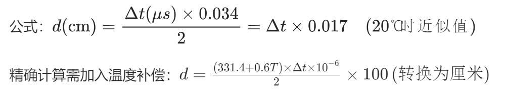
距离计算
- 公式:

- 公式:
四、电路连接与驱动(以Arduino为例)
-
硬件接线
传感器引脚 Arduino引脚 VCC 5V GND GND TRIG D2 ECHO D3 -
软件逻辑(伪代码)
void measure_distance() {digitalWrite(TRIG, LOW); // 复位delayMicroseconds(2); // 等待复位digitalWrite(TRIG, HIGH); // 发送触发信号delayMicroseconds(10); // 至少10μs高电平digitalWrite(TRIG, LOW); long duration = pulseIn(ECHO, HIGH); // 测量高电平时间(μs)float distance = duration * 0.017; // 20℃时的近似计算// 精确计算需获取温度值并代入声速公式 }
五、关键技术点与优化
-
温度补偿
- 误差来源:温度每变化1℃,声速变化约0.6m/s,10℃温差会导致约3%的测距误差。
- 解决方案:外接温度传感器(如DS18B20),实时计算声速:

-
盲区与最大测距
- 盲区:传感器近程无法检测的区域(HC-SR04约2cm,因发射探头余震和电路响应延迟)。
- 最大测距:受限于声波能量衰减(HC-SR04约400cm,强反射面可达更远)。
- 优化:近程用红外传感器辅助,远程增加发射功率或使用定向探头。
-
多径效应与噪声干扰
- 问题:声波经多个路径反射(如墙壁、障碍物边缘),导致Echo信号提前或滞后。
- 解决:
- 增加信号滤波(软件中设置回波有效时间阈值)。
- 物理上添加隔音罩或锥形声波聚焦装置。
- 多次测量取平均(如连续测10次,滤除异常值)。
-
精度优化
- 时间测量:使用单片机的硬件定时器(如STM32的TIM模块)替代软件延时,提高( Δ t Δt Δt)测量精度(μs级)。
- 温度补偿:每10秒更新一次温度值(避免频繁测量影响实时性)。
- 信号放大:接收端增加运算放大器(如LM358),提升小信号灵敏度。
六、误差来源与应对
| 误差类型 | 原因 | 解决方法 |
|---|---|---|
| 时间测量误差 | 单片机IO响应延迟、定时器精度不足 | 使用高速MCU、硬件定时器捕获 |
| 声速误差 | 温度、湿度、气压变化(湿度影响较小,气压需在高空场景补偿) | 实时温度测量、气压传感器辅助 |
| 反射面特性 | 反射面粗糙(漫反射)、角度过大(入射角>30°时信号弱) | 选择平整反射面、增加发射功率 |
| 电路噪声 | 电源纹波、电磁干扰(EMI) | 电源滤波、PCB布局优化(地线隔离) |
| 同步误差 | 发射与接收电路不同步(多传感器场景) | 分时复用、硬件同步触发 |
七、应用场景
- 机器人避障:无人机、AGV小车实时检测障碍物距离(搭配多传感器融合)。
- 工业测量:液位检测、物体高度测量(需防爆、防水传感器)。
- 智能家居:自动门感应、扫地机器人路径规划。
- 消费电子:手机手势识别(高端机型采用ToF摄像头,原理类似)。
- 医疗领域:非接触式人体测温(辅助判断距离,避免误测)。
八、进阶技术:相位法与频差法(补充时差法不足)
-
相位法
- 测量发射波与回波的相位差,计算距离(适用于高精度短距离,如0.1mm级精度)。

- 测量发射波与回波的相位差,计算距离(适用于高精度短距离,如0.1mm级精度)。
-
频差法
- 发射连续调频信号,通过回波与发射信号的频率差计算距离(抗噪声能力强,适合复杂环境)。
注:时差法因电路简单、成本低,占据主流应用;相位法和频差法用于高精度场景。
九、标准与协议(工业级应用)
- I2C/SPI接口:高端传感器(如MaxBotix系列)支持数字接口,简化主机控制。
- 模拟输出:部分传感器提供电压信号(如0-5V对应0-500cm),需ADC转换。
- 同步触发:多传感器组网时,通过硬件同步线(如GPIO)避免信号串扰。
十、典型问题排查
-
Echo无信号
- 检查接线是否松动,VCC是否稳定(5V供电,不可接3.3V)。
- 确认反射面距离在传感器有效范围内,且表面足够平整。
-
测距值跳变
- 增加软件滤波(如滑动平均滤波、中值滤波)。
- 检查周围是否有超声波干扰源(如其他传感器、电机噪声)。
-
精度不达标
- 确认温度补偿是否启用,传感器是否水平对准反射面。
- 改用更高精度的时间测量方法(如STM32的输入捕获模式)。
总结
超声波测距是低成本、易实现的非接触测量方案,核心在于精准测量时间差并补偿环境因素。通过合理的硬件设计(如滤波、聚焦)和软件优化(如温度补偿、噪声处理),可满足大多数中短距离测量需求。在复杂场景中,需结合多传感器融合(如视觉、红外)进一步提升可靠性。
