PaddlePaddle线性回归详解:从模型定义到加载,掌握深度学习基础
目录
- 前言
- 一、paddlepaddle框架的线性回归
- 1.1 paddlepaddle模型的定义方式
- 1.1.1 使用序列的方式 nn.Sequential 组网
- 1.1.2 使用类的方式 class nn.Layer组网
- 1.2 数据加载
- 1.3 paddlepaddle模型的保存
- 1.3.1 基础API保存
- 1.3.2 高级API模型的保存
- 1.3.2.1 训练fit进行保存
- 1.3.2.2 利用paddle.Model类进行保存
- 1.4 paddlepaddle模型的加载
- 1.4.1 基础API模型的加载
- 1.4.2 高级API加载
- 1.5 paddlepaddle模型网络结构的查看
- 1.5.1 summary
- 1.5.2 netron
- 1.5.3 visualdl
- 二、曲线拟合
- 1.1案例引入
- 1.2 散点输入
- 1.3 前向计算
- 1.4 Sigmoid函数引入
- 1.5 激活函数的引入
- 1.6 参数初始化
- 1.7 损失函数
- 1.8 开始迭代
- 1.9反向传播
- 1.10 梯度下降显示
- 1.11 曲线拟合代码
- 三、激活函数
- 3.1 激活函数及其导数算法理论讲解
- 3.2 激活函数的作用?
- 3.3 激活函数的概念
- 3.4 Sigmoid
- 总结
前言
书接上文
PyTorch与TensorFlow模型全方位解析:保存、加载与结构可视化-CSDN博客文章浏览阅读479次,点赞6次,收藏17次。本文深入探讨了PyTorch和TensorFlow中模型管理的关键方面,包括模型的保存与加载以及网络结构的可视化。涵盖了PyTorch中模型和参数的保存与加载,以及使用多种工具进行模型结构分析。同时,详细介绍了TensorFlow中模型的定义方式、保存方法、加载流程以及模型结构的可视化技术,旨在帮助读者全面掌握两大深度学习框架的模型管理技巧。https://blog.csdn.net/qq_58364361/article/details/147382076?spm=1011.2415.3001.10575&sharefrom=mp_manage_link
一、paddlepaddle框架的线性回归
从以下5个方面对深度学习框架paddlepaddle框架的线性回归进行介绍
1.paddlepaddle模型的定义
2.paddlepaddle模型的保存
3.paddlepaddle模型的加载
4.paddlepaddle模型网络结构的查看
5.paddlepaddle框架线性回归的代码实现
上面这5方面的内容,让大家,掌握并理解paddlepaddle框架实现线性回归的过程。
1.paddlepaddle 官网 :https://www.paddlepaddle.org.cn/
安装
pip install paddlepaddle==2.6.2 -i https://mirror.baidu.com/pypi/simple
1.1 paddlepaddle模型的定义方式
主要针对基础API
1.1.1 使用序列的方式 nn.Sequential 组网
model=nn.Sequential(nn.Linear(1,1))
#导入库
import numpy as np
import paddle
import paddle.nn as nn
#设置随机数种子 ,保证结果可复现
seed=1
paddle.seed(seed)# 1.散点输入 定义输入数据
data = [[-0.5, 7.7], [1.8, 98.5], [0.9, 57.8], [0.4, 39.2], [-1.4, -15.7], [-1.4, -37.3], [-1.8, -49.1], [1.5, 75.6], [0.4, 34.0], [0.8, 62.3]]
#转化为数组
data=np.array(data)
# 提取x 和y
x_data=data[:,0]
y_data=data[:,1]
#转成张量 转成paddlepaddle张量
x_train=paddle.to_tensor(x_data,dtype=paddle.float32)
y_train=paddle.to_tensor(y_data,dtype=paddle.float32)
# 2. 定义前向模型
# model=paddle.nn.Linear(1,1)#主要针对基础API
#方式1 使用序列的方式 nn.Sequential 组网
model=nn.Sequential(nn.Linear(1,1))# 3.定义损失函数和优化器
#3.1损失函数
criterion=paddle.nn.MSELoss()
#3.2 优化器
optimizer=paddle.optimizer.SGD(learning_rate=0.01, parameters=model.parameters())
# 4.开始迭代
epochs=500
for epoch in range(1,epochs+1):#前向传播#unsqueeze()扩展一维y_prd=model(x_train.unsqueeze(1))loss=criterion(y_prd.squeeze(1),y_train)#清除之前计算的梯度optimizer.clear_grad()#自动计算梯度loss.backward()#更新参数optimizer.step()# 5.显示频率的设置if epoch % 10==0 or epoch==1:#可以使用float(loss)或者 loss.numpy()会报警告print(f"epoch:{epoch},loss:{float(loss)}")
1.1.2 使用类的方式 class nn.Layer组网
#导入库
import numpy as np
import paddle
import paddle.nn as nn
#设置随机数种子 ,保证结果可复现
seed=1
paddle.seed(seed)# 1.散点输入 定义输入数据
data = [[-0.5, 7.7], [1.8, 98.5], [0.9, 57.8], [0.4, 39.2], [-1.4, -15.7], [-1.4, -37.3], [-1.8, -49.1], [1.5, 75.6], [0.4, 34.0], [0.8, 62.3]]
#转化为数组
data=np.array(data)
# 提取x 和y
x_data=data[:,0]
y_data=data[:,1]
#转成张量 转成paddlepaddle张量
x_train=paddle.to_tensor(x_data,dtype=paddle.float32)
y_train=paddle.to_tensor(y_data,dtype=paddle.float32)
#主要针对基础API
#方式 2 单独定义 使用类的方式 class nn.Layer组网
class LinearModel(nn.Layer):def __init__(self):super(LinearModel,self).__init__()self.linear=nn.Linear(1,1)def forward(self,x):x=self.linear(x)return x
# #定义模型的对象
model=LinearModel()# 3.定义损失函数和优化器
#3.1损失函数
criterion=paddle.nn.MSELoss()
#3.2 优化器
optimizer=paddle.optimizer.SGD(learning_rate=0.01, parameters=model.parameters())
# 4.开始迭代
epochs=500
for epoch in range(1,epochs+1):#前向传播#unsqueeze()扩展一维y_prd=model(x_train.unsqueeze(1))loss=criterion(y_prd.squeeze(1),y_train)#清除之前计算的梯度optimizer.clear_grad()#自动计算梯度loss.backward()#更新参数optimizer.step()# 5.显示频率的设置if epoch % 10==0 or epoch==1:#可以使用float(loss)或者 loss.numpy()会报警告print(f"epoch:{epoch},loss:{float(loss)}")
1.2 数据加载
#1.先来看数据加载
#2.模型构建高层API#导入库
import numpy as np
import paddle
import paddle.nn as nn
from paddle.io import DataLoader,TensorDataset
#设置随机数种子 ,保证结果可复现
seed=1
paddle.seed(seed)# 1.散点输入 定义输入数据
data = [[-0.5, 7.7], [1.8, 98.5], [0.9, 57.8], [0.4, 39.2], [-1.4, -15.7], [-1.4, -37.3], [-1.8, -49.1], [1.5, 75.6], [0.4, 34.0], [0.8, 62.3]]
#转化为数组
data=np.array(data)
# 提取x 和y
x_data=data[:,0]
y_data=data[:,1]
#转成张量 转成paddlepaddle张量
x_train=paddle.to_tensor(x_data,dtype=paddle.float32)
y_train=paddle.to_tensor(y_data,dtype=paddle.float32)
#TensorDataset是接收一个值,不是接收两个值,使用列表
dataset=TensorDataset([x_train.unsqueeze(1),y_train.unsqueeze(1)])
#创建Dataloader对象
dataloader=DataLoader(dataset,batch_size=10,shuffle=True)
# 2. 定义前向模型
#方式2 单独定义 使用类的方式 class nn.Layer组网
class LinearModel(nn.Layer):def __init__(self):super(LinearModel,self).__init__()self.linear=nn.Linear(1,1)def forward(self,x):x=self.linear(x)return x
#定义模型的对象
model=LinearModel()# 3.使用高层api进行封装
# step1 使用paddle.Model(xxx)进行封装
model=paddle.Model(model)
#step2 使用prepare
model.prepare(optimizer=paddle.optimizer.SGD(learning_rate=0.01,parameters=model.parameters()),loss=nn.MSELoss(),metrics=paddle.metric.Accuracy())
#step3启动训练
#需要用到数据,训练轮次 是否显示日志过程
model.fit(dataloader,epochs=500,verbose=1)
1.3 paddlepaddle模型的保存
1.3.1 基础API保存
按照字典的形式保存
paddle.save(model.state_dict(),'./基础API/model.pdparams')
#导入库
import numpy as np
import paddle
import paddle.nn as nn
#设置随机数种子 ,保证结果可复现
seed=1
paddle.seed(seed)# 1.散点输入 定义输入数据
data = [[-0.5, 7.7], [1.8, 98.5], [0.9, 57.8], [0.4, 39.2], [-1.4, -15.7], [-1.4, -37.3], [-1.8, -49.1], [1.5, 75.6], [0.4, 34.0], [0.8, 62.3]]
#转化为数组
data=np.array(data)
# 提取x 和y
x_data=data[:,0]
y_data=data[:,1]
#转成张量 转成paddlepaddle张量
x_train=paddle.to_tensor(x_data,dtype=paddle.float32)
y_train=paddle.to_tensor(y_data,dtype=paddle.float32)
# 2. 定义前向模型
# model=paddle.nn.Linear(1,1)#主要针对基础API
#方式1 使用序列的方式 nn.Sequential 组网
# model=nn.Sequential(nn.Linear(1,1))#方式2 单独定义 使用类的方式 class nn.Layer组网
class LinearModel(nn.Layer):def __init__(self):super(LinearModel,self).__init__()self.linear=nn.Linear(1,1)def forward(self,x):x=self.linear(x)return x
#定义模型的对象
model=LinearModel()# 3.定义损失函数和优化器
#3.1损失函数
criterion=paddle.nn.MSELoss()
#3.2 优化器
optimizer=paddle.optimizer.SGD(learning_rate=0.01, parameters=model.parameters())
# 4.开始迭代
epochs=500
final_checkpoint={}
for epoch in range(1,epochs+1):#前向传播#unsqueeze()扩展一维y_prd=model(x_train.unsqueeze(1))loss=criterion(y_prd.squeeze(1),y_train)#清除之前计算的梯度optimizer.clear_grad()#自动计算梯度loss.backward()#更新参数optimizer.step()# 5.显示频率的设置if epoch % 10==0 or epoch==1:#可以使用float(loss)或者 loss.numpy()会报警告print(f"epoch:{epoch},loss:{float(loss)}")#添加检查点程序if epoch==epochs:#把迭代次数写入final_checkpoint['epoch']=epoch#把训练损失写入final_checkpoint['loss']=loss#基础API模型的保存
paddle.save(model.state_dict(),'./基础API/model.pdparams')
#保存检查点checkpoint信息 是序列化的文件
paddle.save(final_checkpoint, "./基础API/final_checkpoint.pkl")
1.3.2 高级API模型的保存
1.3.2.1 训练fit进行保存
model.fit(dataloader,epochs=500,verbose=1,save_dir='./高层API1',save_freq=10)
#1.先来看数据加载
#2.模型构建高层API#导入库
import numpy as np
import paddle
import paddle.nn as nn
from paddle.io import DataLoader,TensorDataset
#设置随机数种子 ,保证结果可复现
seed=1
paddle.seed(seed)# 1.散点输入 定义输入数据
data = [[-0.5, 7.7], [1.8, 98.5], [0.9, 57.8], [0.4, 39.2], [-1.4, -15.7], [-1.4, -37.3], [-1.8, -49.1], [1.5, 75.6], [0.4, 34.0], [0.8, 62.3]]
#转化为数组
data=np.array(data)
# 提取x 和y
x_data=data[:,0]
y_data=data[:,1]
#转成张量 转成paddlepaddle张量
x_train=paddle.to_tensor(x_data,dtype=paddle.float32)
y_train=paddle.to_tensor(y_data,dtype=paddle.float32)
#TensorDataset是接收一个值,不是接收两个值,使用列表
dataset=TensorDataset([x_train.unsqueeze(1),y_train.unsqueeze(1)])
#创建Dataloader对象
dataloader=DataLoader(dataset,batch_size=10,shuffle=True)
# 2. 定义前向模型
#方式2 单独定义 使用类的方式 class nn.Layer组网
class LinearModel(nn.Layer):def __init__(self):super(LinearModel,self).__init__()self.linear=nn.Linear(1,1)def forward(self,x):x=self.linear(x)return x
#定义模型的对象
model=LinearModel()# 3.使用高层api进行封装
# step1 使用paddle.Model(xxx)进行封装
model=paddle.Model(model)
#step2 使用prepare
model.prepare(optimizer=paddle.optimizer.SGD(learning_rate=0.01,parameters=model.parameters()),loss=nn.MSELoss(),metrics=paddle.metric.Accuracy())
#step3启动训练
#需要用到数据,训练轮次 是否显示日志过程
# model.fit(dataloader,epochs=500,verbose=1)#高级API模型的保存
#保存第一种方式,训练fit进行保存
model.fit(dataloader,epochs=500,verbose=1,save_dir='./高层API1',save_freq=10)
1.3.2.2 利用paddle.Model类进行保存
注意 这边的model.save和基础API中的model.save不一样,基础API是自己申请出来的对象
# 这里是paddle.Model 大类
model.save('./高层API2/model') #save for train 动态图
# 静态图(可以c++调用)
model.save('./高层API2/infer_model',False) #save for inference 静态图(可以c++调用)
#1.先来看数据加载
#2.模型构建高层API#导入库
import numpy as np
import paddle
import paddle.nn as nn
from paddle.io import DataLoader,TensorDataset
#设置随机数种子 ,保证结果可复现
seed=1
paddle.seed(seed)# 1.散点输入 定义输入数据
data = [[-0.5, 7.7], [1.8, 98.5], [0.9, 57.8], [0.4, 39.2], [-1.4, -15.7], [-1.4, -37.3], [-1.8, -49.1], [1.5, 75.6], [0.4, 34.0], [0.8, 62.3]]
#转化为数组
data=np.array(data)
# 提取x 和y
x_data=data[:,0]
y_data=data[:,1]
#转成张量 转成paddlepaddle张量
x_train=paddle.to_tensor(x_data,dtype=paddle.float32)
y_train=paddle.to_tensor(y_data,dtype=paddle.float32)
#TensorDataset是接收一个值,不是接收两个值,使用列表
dataset=TensorDataset([x_train.unsqueeze(1),y_train.unsqueeze(1)])
#创建Dataloader对象
dataloader=DataLoader(dataset,batch_size=10,shuffle=True)
# 2. 定义前向模型
#方式2 单独定义 使用类的方式 class nn.Layer组网
class LinearModel(nn.Layer):def __init__(self):super(LinearModel,self).__init__()self.linear=nn.Linear(1,1)def forward(self,x):x=self.linear(x)return x
#定义模型的对象
model=LinearModel()# 3.使用高层api进行封装
# step1 使用paddle.Model(xxx)进行封装
model=paddle.Model(model)
#step2 使用prepare
model.prepare(optimizer=paddle.optimizer.SGD(learning_rate=0.01,parameters=model.parameters()),loss=nn.MSELoss(),metrics=paddle.metric.Accuracy())
#step3启动训练
#需要用到数据,训练轮次 是否显示日志过程
# model.fit(dataloader,epochs=500,verbose=1)#高级API模型的保存
#保存第一种方式,训练fit进行保存
model.fit(dataloader,epochs=500,verbose=1)#保存方式2 利用paddle.Model类进行保存
#注意 这边的model.save和基础API中的model.save不一样,基础API是自己申请出来的对象
# 这里是paddle.Model 大类
model.save('./hig_API2/model') #save for train 动态图
# 静态图(可以c++调用)
model.save('./hig_API2/infer_model',False) #save for inference 静态图(可以c++调用)
1.4 paddlepaddle模型的加载
1.4.1 基础API模型的加载
model_state_dict=paddle.load('./基础API/model.pdparams')
模型和参数联系起来
model.set_state_dict(model_state_dict)
#导入库
import numpy as np
import paddle
import paddle.nn as nn
#设置随机数种子 ,保证结果可复现
from paddle.io import DataLoader,TensorDataset
seed=1
paddle.seed(seed)# 1.散点输入 定义输入数据
data = [[-0.5, 7.7], [1.8, 98.5], [0.9, 57.8], [0.4, 39.2], [-1.4, -15.7], [-1.4, -37.3], [-1.8, -49.1], [1.5, 75.6], [0.4, 34.0], [0.8, 62.3]]
#转化为数组
data=np.array(data)
# 提取x 和y
x_data=data[:,0]
y_data=data[:,1]
#转成张量 转成paddlepaddle张量
x_train=paddle.to_tensor(x_data,dtype=paddle.float32)
y_train=paddle.to_tensor(y_data,dtype=paddle.float32)
# 2. 定义前向模型
# model=paddle.nn.Linear(1,1)#主要针对基础API
#方式1 使用序列的方式 nn.Sequential 组网
# model=nn.Sequential(nn.Linear(1,1))#方式2 单独定义 使用类的方式 class nn.Layer组网
class LinearModel(nn.Layer):def __init__(self):super(LinearModel,self).__init__()self.linear=nn.Linear(1,1)def forward(self,x):x=self.linear(x)return x
#定义模型的对象
model=LinearModel()# 3.定义损失函数和优化器
#3.1损失函数
criterion=paddle.nn.MSELoss()
#3.2 优化器
optimizer=paddle.optimizer.SGD(learning_rate=0.01, parameters=model.parameters())
#基础API模型的加载
model_state_dict=paddle.load('./基础API/model.pdparams')
# optimizer_state_dict=paddle.load('./基础API/optimizer.pdopt')
# final_checkpoint_state_dict=paddle.load('./基础API/final_checkpoint.pkl')
# print(final_checkpoint_state_dict)#模型和参数联系起来
model.set_state_dict(model_state_dict)#训练 评估 和推理
# 模型验证模式
model.eval()
#使用TensorDateset 和DateLoader封装
dataloader_test=DataLoader(TensorDataset([paddle.to_tensor([1.5],dtype=paddle.float32)]),batch_size=1)#迭代
for x_test in dataloader_test:predict=model(x_test[0])print(predict)
1.4.2 高级API加载
import paddle
# 3.使用高层api进行封装
# step1 使用paddle.Model(xxx)进行封装
model=paddle.Model(model)
#高级API模型的加载
model.load("./高层API1/final")
#1.先来看数据加载
#2.模型构建高层API#导入库
import numpy as np
import paddle
import paddle.nn as nn
from paddle.io import DataLoader,TensorDataset
#设置随机数种子 ,保证结果可复现
seed=1
paddle.seed(seed)# 1.散点输入 定义输入数据
data = [[-0.5, 7.7], [1.8, 98.5], [0.9, 57.8], [0.4, 39.2], [-1.4, -15.7], [-1.4, -37.3], [-1.8, -49.1], [1.5, 75.6], [0.4, 34.0], [0.8, 62.3]]
#转化为数组
data=np.array(data)
# 提取x 和y
x_data=data[:,0]
y_data=data[:,1]
#转成张量 转成paddlepaddle张量
x_train=paddle.to_tensor(x_data,dtype=paddle.float32)
y_train=paddle.to_tensor(y_data,dtype=paddle.float32)
#TensorDataset是接收一个值,不是接收两个值,使用列表
dataset=TensorDataset([x_train.unsqueeze(1),y_train.unsqueeze(1)])
#创建Dataloader对象
dataloader=DataLoader(dataset,batch_size=10,shuffle=True)
# 2. 定义前向模型
#方式2 单独定义 使用类的方式 class nn.Layer组网
class LinearModel(nn.Layer):def __init__(self):super(LinearModel,self).__init__()self.linear=nn.Linear(1,1)def forward(self,x):x=self.linear(x)return x
#定义模型的对象
model=LinearModel()# 3.使用高层api进行封装
# step1 使用paddle.Model(xxx)进行封装
model=paddle.Model(model)
#step2 使用prepare
model.prepare(optimizer=paddle.optimizer.SGD(learning_rate=0.01,parameters=model.parameters()),loss=nn.MSELoss(),metrics=paddle.metric.Accuracy())#高级API模型的加载
model.load("./高层API1/final")
#验证
dataset=TensorDataset([paddle.to_tensor([1.5],dtype=paddle.float32),paddle.to_tensor([82],dtype=paddle.float32)])
datalaoder_eval=DataLoader(dataset)
eval_pre=model.evaluate(datalaoder_eval,verbose=1)
print(eval_pre)#预测
dataset=TensorDataset([paddle.to_tensor([1.5],dtype=paddle.float32)])
datalaoder_eval=DataLoader(dataset)
pre_result=model.predict(datalaoder_eval,verbose=1)
print(pre_result)
1.5 paddlepaddle模型网络结构的查看
1.5.1 summary
paddle.summary(model,(1,))
1.5.2 netron
netron pycharm 终端下输入 pip install netron
下载好后,在终端下输入 netron,在浏览器上输入 http://localhost:8080 即可
1.5.3 visualdl
安装网络查看库pip install visualdl==2.5.3
看文档查看结构网络(切记运行的程序不能有中文路径)
https://www.paddlepaddle.org.cn/documentation/docs/zh/guides/advanced/visualdl_usage_cn.html
这是使用visualdl写入
from visualdl import LogWriter
logwriter=LogWriter(logdir='logs')
这是使用visualdl查看
查看方式 需要写上host 和port 不然不成功
visualdl --logdir ./logs --model ./logs/model.pdmodel --host 0.0.0.0 --port 8040
二、曲线拟合
从以下2个方面对曲线拟合进行介绍
1.曲线拟合算法理论讲解
2.编程实例与步骤
上面这2方面的内容,让大家,掌握并理解曲线拟合算法。
1.1案例引入
蝌蚪变青蛙
在某池塘中,有某类蝌蚪,它们随着天数的增加,开始慢慢需要觅食,在需要觅食之前,都是从卵黄带来的营养维持生命。
于是采集了7只蝌蚪是否需要觅食的数据:
横坐标的单位是天数;
纵坐标是否需要觅食,0是不需要觅食,1是需要觅食。
如右图所示 x轴表示天数,y轴表示是否需要觅食。

1.2 散点输入
本实验中,采集了天数与是否觅食的的关系数据,x轴表示天数,y轴表示是否觅食,0表示不需要觅食,1表示需要觅食,从图上看有3只蝌蚪是不需要觅食的,3天以下的不需要觅食。有4只需要觅食,大于3天的需要觅食。
并且将它们绘制在一个二维坐标中,其分布如下图所示:
坐标分别为[0.8, 0],[1.1, 0] ,[1.7, 0] ,[3.2, 1] ,[3.7, 1] ,[4.0, 1] ,[4.2, 1]。

1.3 前向计算
我们的目的是拟合这些散点,通过前向计算,我们通过修改w和b只能部分点落在线上,从实验看直线无法拟合这些点。

直线无法拟合那应该怎么办呢?
对于直线无法拟合这些点,是不是需要将直线变成曲线来拟合这些散点,在没有引入直线变曲线之前,使用直线是无法拟合这些点的。
这个σ是一个激活函数。
如果σ是阶跃函数,

那么这个阶跃函数的缺点是什么?
不连续性:在x=2.5处不连续;
不可导性:在x=2.5处不存在导数;

怎么解决阶跃函数导数不存在的问题呢?
是不是得找一个函数它要处处可微,是连续的,在各个地方都可导的,是不是就能很好的拟合当前曲线了。
1.4 Sigmoid函数引入
sigmoid拟合数据点效果图

下面引入Sigmoid函数,当然是是前人慢慢发现的这个函数
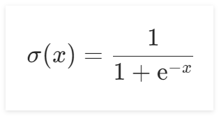
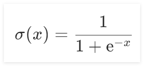
Sigmoid的函数,其函数公式为:

其函数图像如下所示:

的值域处于(0,1)之间,两边无限接近于0和1。但永远不等于0和1。定义域是负无穷到正无穷。
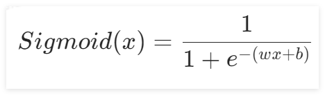
在线性回归中,直线的方程是

,带入Sigmoid激活函数中,得到:

1.5 激活函数的引入
在该实验中,将直线转换成曲线,可以在直线

加入一个新的函数

,这个
是一个激活函数,在上面实验中使用的激活函数是Sigmoid函数,当然还有其他激活函数,后面的课程会讲。
激活函数是神经网络中一种重要的非线性函数,其作用在于引入非线性特性,使得神经网络能够学习和表示更加复杂的数据模式和关系。激活函数通常在每个神经元的输出上应用,将输入信号转换为输出信号。
以下是激活函数的主要作用:
- 引入非线性特性:如果在神经网络中只使用线性变换,例如线性加权和求和,那么整个网络的组合效果将仍然是线性的。激活函数的非线性特性能够在每个神经元上引入非线性转换,从而让神经网络能够学习和表示更加复杂的函数和数据模式。
- 提高模型的表达能力:激活函数的引入增加了神经网络的表达能力,使得网络可以逼近任何复杂的函数,这种特性称为“普遍逼近定理”(Universal Approximation Theorem)。
- 稀疏性和稳定性:一些激活函数(如Relu)具有稀疏性和稳定性的特点,可以缓解梯度消失和梯度爆炸的问题,从而有助于训练更深的神经网络。
梯度消失简单解释:w新=w旧-学习率*梯度 (梯度为0 w新一直等于w旧,引起w不更新就是梯度消失)
梯度爆炸简单解释:w新=w旧-学习率*梯度 (梯度非常大 ,只要大于1,因为模型会有很多层,链式求导法则需要连乘,就会导致梯度爆炸。)
综上所述,激活函数在神经网络中扮演着非常重要的角色,它们的引入使得神经网络具备非线性表达能力,从而能够处理和解决更加复杂的任务。
1.6 参数初始化
在之前的前向计算中,可以通过改变自己修改w和b来拟合这条曲线,但是在很多实际场景中,并没办法做到直接求出最优的w,b值,所以需要先随机定一个w和b,然后让梯度下降去拟合这些点。
在“参数初始化”组件中,可以初始化w和b的值以及学习率的值。

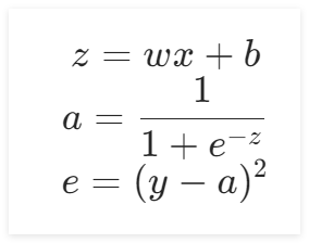
1.7 损失函数
根据公式:

入均方差损失函数中,于是损失函数就成了:


1.8 开始迭代
定义好损失函数后,选择好迭代次数,然后就可以进行反向传播了。

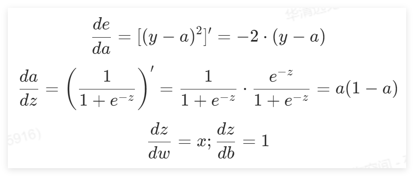
1.9反向传播
在上面得到了损失函数的表达式,本实验中使用梯度下降的方式去降低损失函数值,于是需要对损失函数进行求导:

将其拆分成复合函数,得到:

对复合函数求导,可得:

该过程对应了本实验中的“反向传播”组件,其内容如下所示:

1.10 梯度下降显示
为了更好的观察到迭代过程中的参数变化和损失函数的变化,提供了“显示频率组件”,其内容如下图所示:

通过设置显示频率,可以实时反馈当前的参数值和损失值,在“梯度下降显示”组件中可以查看,其组件内容如下图所示:

在该图像中,1.46对应的是w的值,-3.27对应的是b的值,0.03是损失值,这三个值都是根据显示频率实时反馈回来的。
左边的图像是根据当前的w和b的值所绘制的曲线,右边的图像是绘制的损失值的变化。
1.11 曲线拟合代码
import numpy as np # 导入 numpy 库,用于数值计算
import matplotlib.pyplot as plt # 导入 matplotlib.pyplot 库,用于绘图# 原始数据,第一列是 x,第二列是 y(标签)
data = np.array([[0.8, 0], [1.1, 0], [1.7, 0], [3.2, 1], [3.7, 1], [4.0, 1], [4.2, 1]])data = np.array(data) # 转换为 numpy 数组 (虽然这里重复了,但保留了原始代码)x_data = data[:, 0] # 获取所有行的第一列 (x 值)
y_data = data[:, 1] # 获取所有行的第二列 (y 值,也就是标签)# 定义 sigmoid 函数
def sigmoid(x):return 1 / (1 + np.exp(-x)) # sigmoid 函数的公式w = 0 # 初始化权重 w
b = 0 # 初始化偏置 b
l = 0.05 # 学习率 learning rate
epochs = 1000 # 迭代次数
fig, (ax1, ax2) = plt.subplots(2, 1) # 创建一个包含两个子图的 figure,垂直排列
epoch_list = [] # 用于存储 epoch 的列表,用于绘制损失曲线
loss_list = [] # 用于存储 loss 的列表,用于绘制损失曲线# 迭代训练
for i in range(1, epochs + 1):z = w * x_data + b # 计算线性模型的输出a = sigmoid(z) # 将线性输出通过 sigmoid 函数,得到预测值loss = np.mean((y_data - a) ** 2) # 计算均方误差损失epoch_list.append(i) # 将当前 epoch 添加到 epoch_listloss_list.append(loss) # 将当前 loss 添加到 loss_list# 反向传播,计算梯度deda = -2 * (y_data - a) # loss 对 a 的导数dadz = a * (1 - a) # sigmoid 函数的导数dzdw = x_data # z 对 w 的导数dzdb = 1 # z 对 b 的导数dw = np.mean(deda * dadz * dzdw) # 计算 w 的梯度db = np.mean(deda * dadz * dzdb) # 计算 b 的梯度# 更新权重和偏置w = w - l * dw # 更新 wb = b - l * db # 更新 b# 每 50 个 epoch 或第一个 epoch,打印 loss 并更新图表if i % 50 == 0 or i == 1:print(f"epoch:{i},loss:{loss}") # 打印 epoch 和 loss# 画图显示x_min = x_data.min() # x 最小值x_max = x_data.max() # x 最大值# 按照等间隔从x_min到x_max之间的数据x_values = np.linspace(x_min, x_max, int(x_max - x_min) * 10) # 在 x_min 和 x_max 之间创建一系列均匀间隔的值y_values = sigmoid(w * x_values + b) # 计算 sigmoid 函数的值# 画第一个图ax1.clear() # 清除 ax1ax1.scatter(x_data, y_data, color='b') # 画散点图# 画曲线ax1.plot(x_values, y_values, c='r') # 画 sigmoid 曲线ax1.set_title(f"Curve Regression: w={round(w, 3)}, b={round(b, 3)}") # 设置 ax1 的标题# 画 ax2ax2.clear() # 清除 ax2ax2.plot(epoch_list, loss_list, color='g') # 画损失曲线ax2.set_xlabel("Epoch") # 设置 x 轴标签ax2.set_ylabel("Loss") # 设置 y 轴标签ax2.set_title(f"Loss Curve") # 设置 ax2 的标题plt.pause(1) # 暂停 1 秒,以便显示图表
三、激活函数
从以下3个方面对激活函数及其导数进行介绍
1.激活函数及其导数算法理论讲解
2.编程实例与步骤
3.实验现象
上面这3方面的内容,让大家,掌握并理解激活函数及其导数算法。
3.1 激活函数及其导数算法理论讲解
24年刚出版的<<激活函数的三十年:神经网络 400 个激活函数的综合调查>>
《Three Decades of Activations: A Comprehensive Survey of 400 Activation Functions for Neural Networks》
包括常用的激活函数和不常用的,400种,大家如果感兴趣可以看看。
文件分享
https://share.weiyun.com/3t76DytU
3.2 激活函数的作用?
激活函数的作用就是在神经网络中经过线性计算后,进行的非线性化。
下面讲解Sigmoid,tanh、Relu,Leaky Relu、Prelu、Softmax、ELU七种激活函数。
3.3 激活函数的概念
激活函数给神经元引入了非线性因素,让神经网络可以任意逼近任何非线性函数,
通俗理解为把线性函数转换为非线性函数
3.4 Sigmoid
Sigmoid的函数公式为:

函数图像如下图所示:

该函数处于(0,1)之间,两边无限接近于0和1,但永远不等于0和1。
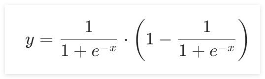
sigmoid函数的导数公式为:

导数图像为:

Sigmoid特点总结:
Sigmoid 函数的输出范围被限制在 0 到 1 之间,这使得它适用于需要将输出解释为概率或者介于 0 和 1 之间的任何其他值的场景。
Sigmoid 函数的两端,导数的值非常接近于零,这会导致在反向传播过程中梯度消失的问题,特别是在深层神经网络中。

Sigmoid激活函数有着如下几种缺点:
梯度消失:Sigmoid函数趋近0和1的时候变化率会变得平坦,从导数图像可以看出,当x值趋向两侧时,其导数趋近于0,在反向传播时,使得神经网络在更新参数时几乎无法学习到低层的(不明显的)特征,从而导致训练变得困难。 w新=w旧-lr*梯度
不以零为中心:Sigmoid函数的输出范围是0到1之间,它的输出不是以零为中心的,会导致其参数只能同时向同一个方向更新,当有两个参数需要朝相反的方向更新时,该激活函数会使模型的收敛速度大大的降低
计算成本高:Sigmoid激活函数引入了exp()函数,导致其计算成本相对较高,尤其在大规模的深度神经网络中,可能会导致训练速度变慢。
不是稀疏激活:Sigmoid函数的输出范围是连续的,并且不会将输入变为稀疏的激活状态。在某些情况下,稀疏激活可以提高模型的泛化能力和学习效率。
不以零中心有什么问题?举例讲解:


此时,模型为了收敛,w0、w1…改变的方向是统一的,或正或负。所以如果你的最优值是需要w0增加,w1减少,那么不得不向逆风前行的风助力帆船一样,走 Z 字形逼近最优解。如下图所示

模型参数走绿色箭头能够最快收敛,但由于输入值的符号总是为正,所以模型参数可能走类似红色折线的箭头。如此一来,使用 Sigmoid 函数作为激活函数的神经网络,收敛速度就会慢上不少了。
总结
本文详细介绍了PaddlePaddle框架下线性回归的实现,从模型定义到加载,再到网络结构查看,提供了全面的指导。同时,文章还讲解了曲线拟合的原理,并重点介绍了Sigmoid等激活函数及其导数,强调了激活函数在神经网络中的重要作用。通过本文的学习,读者可以不仅掌握PaddlePaddle的基本使用,还能深入理解线性回归、曲线拟合以及激活函数等核心概念,为后续的深度学习研究打下坚实的基础。
