不确定与非单调推理的模糊推理
模糊推理是利用模糊性知识进行的一种不确定性推理。
模糊推理与前面讨论的不确定性推理的概率方法、可信度方法、D-S理论有着实质性的区别。前面那几种不确定性推理的理论基础是概率论,它所研究的事件本身有明确而确定的含义,只是由于发生的条件不充分,使得在条件与事件之间不能出现确定的因果关系,从而在事件的出现与否上表现出不确定性,那些推理模型是对这种不确定性,即随机性的表示与处理。模糊推理的理论基础是模糊集理论以及在此基础上发展起来的模糊逻辑,它所处理的事物自身是模糊的,概念本身没有明确的外延,一个对象是否符合这个概念难以明确地确定,模糊推理是对这种不确定性,即模糊性的表示与处理。
在人工智能的应用领域中,知识及信息的不确定性大多是由模糊性引起的,这就使得对模糊推理的研究显得格外重要。但由于自1965年扎德等人发表第一篇关于模糊集的论文至今才30多年的时间,许多理论及技术方面的问题还处于研究探索之中,因此本文所讨论的各种推理方法尚需在实践中不断地充实与完善。
一、模糊命题
(一)模糊命题的本质与特征
模糊命题是对模糊概念的陈述,其真值不再是绝对的 “真”(1)或 “假”(0),而是介于[0,1]之间的隶属度(Membership Degree),用于描述命题的模糊程度。例如:
普通命题:“张三的身高是180cm”(真值为1或0);
模糊命题:“张三很高”(真值为0.8,表示 80%符合“高”的概念)。
像这样含有模糊概念、模糊数据或带有确信程度的语句称为模糊命题。
(二)隶属度函数(Membership Function, MF)
1. 定义
        设论域,模糊集合
由隶属度函数
刻画,![]()
表示元素 属于
的程度。
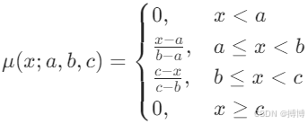
2. 典型类型
(1)三角形MF:

例:“中等温度” 可定义为a=20, b=25, c=30
(2)高斯MF:
![]()
例:“高湿度” 以c=80%, sigma=10建模
3. 模糊命题的逻辑运算
|   运算  |   隶属度函数定义  |   示例(  | 
|   合取(∧)  |   “高温且高湿度” 的隶属度取两者较小值  | |
|   析取(∨)  |   “高温或高湿度” 的隶属度取两者较大值  | |
|   否定(¬)  |   “非高温” 的隶属度为1减去 “高温” 的隶属度  | 
二、模糊知识表示
(一)基本思想与定义
1. 核心思想
将领域知识中的模糊概念(如“高”“快”“严重”)用隶属度函数量化,通过模糊规则(Fuzzy Rule)表示前提与结论之间的模糊关系,实现对不确定性知识的建模。
2. 定义
        模糊知识表示为三元组,其中:
:模糊前提条件(可包含多个模糊命题的逻辑组合);
:模糊结论;
